Morphology-Aware Prognostic Model for Five-Year Survival Prediction in Colorectal Cancer from H&E Whole-Slide Images: A Study Using Multi-Center Clinical Trial Cohort
Simple Summary
Abstract
1. Introduction
2. Datasets and Preprocessing
2.1. Ethics Statement and Patient Cohorts
2.2. Tissue Scanning and Quality Assurance Protocol
3. Methods
3.1. Identification of Subgroups with Varied Survival Rates and Stratified Data Splitting for Effective Generalization
3.2. Morphology-Informed Classifier and Feature Extractor
3.3. Morphology-Aware Survival Prediction
3.4. Evaluation Protocols and Implementation Details
4. Results
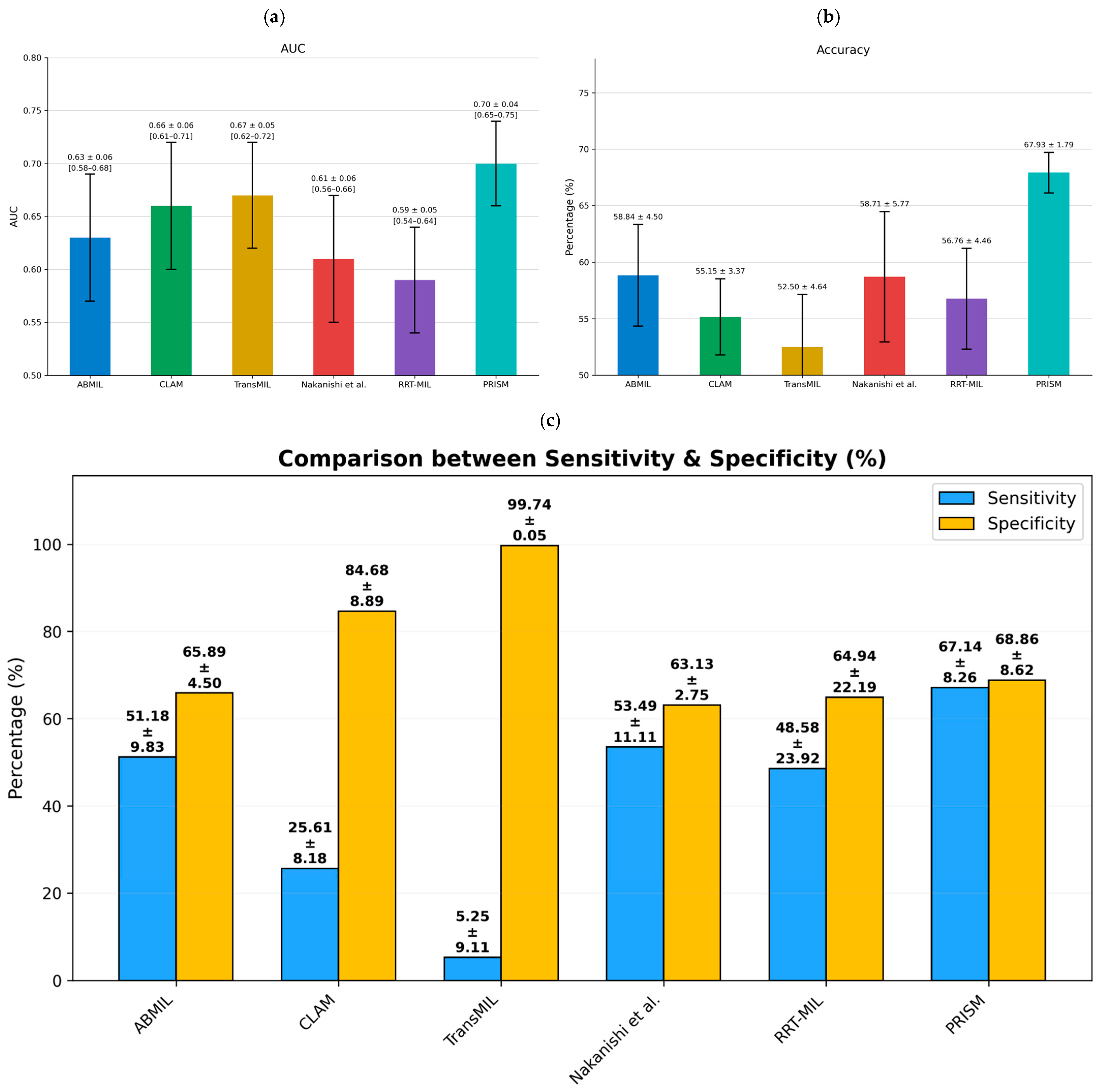
4.1. Deep Learning Predicts Colorectal Morphological Phenotypes and Enables Extraction of Morphology-Informed Features
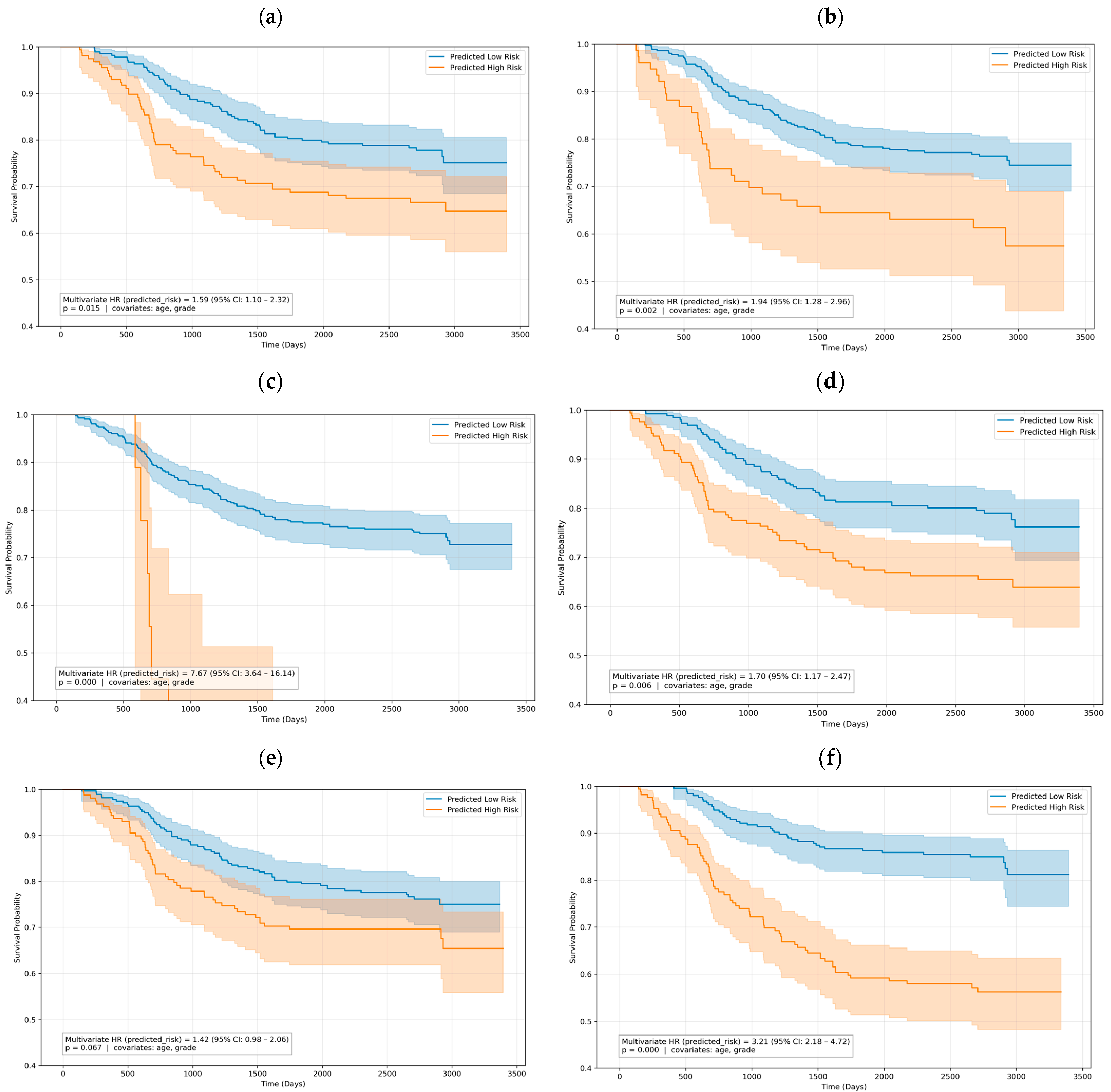
4.2. Prognostic Stratification of Stage III CRC Patients Using a Morphology-Aware Deep Learning Network
4.3. Comparison of Five-Year Survival Prediction Using PRISM Across Different Treatments
4.4. Morphology-Informed Features Correlation with Time-to-Event Survival
5. Discussion
5.1. Limitations and Challenges
5.2. Broader Impact and Future Work
6. Conclusions
Supplementary Materials
Author Contributions
Funding
Institutional Review Board Statement
Informed Consent Statement
Data Availability Statement
Acknowledgments
Conflicts of Interest
References
- Siegel, R.L.; Kratzer, T.B.; Giaquinto, A.N.; Sung, H.; Jemal, A. Cancer statistics, 2025. CA Cancer J Clin. 2025, 75, 10. [Google Scholar] [CrossRef]
- Hong, Y.; Kim, J.; Choi, Y.J.; Kang, J.G. Clinical study of colorectal cancer operation: Survival analysis. Korean J. Clin. Oncol. 2020, 16, 3. [Google Scholar] [CrossRef]
- Pollheimer, M.J.; Kornprat, P.; Lindtner, R.A.; Harbaum, L.; Schlemmer, A.; Rehak, P.; Langner, C. Tumor necrosis is a new promising prognostic factor in colorectal cancer. Hum. Pathol. 2010, 41, 1749–1757. [Google Scholar] [CrossRef] [PubMed]
- Hugen, N.; Verhoeven, R.; Radema, S.; De Hingh, I.; Pruijt, J.; Nagtegaal, I.; Lemmens, V.; De Wilt, J. Prognosis and value of adjuvant chemotherapy in stage iii mucinous colorectal carcinoma. Ann. Oncol. 2013, 24, 2819–2824. [Google Scholar] [CrossRef]
- Huh, J.W.; Lee, J.H.; Kim, H.R. Prognostic significance of tumor-infiltrating lymphocytes for patients with colorectal cancer. Arch. Surg. 2012, 147, 366–372. [Google Scholar] [CrossRef] [PubMed]
- Mesker, W.E.; Junggeburt, J.M.; Szuhai, K.; de Heer, P.; Morreau, H.; Tanke, H.J.; Tollenaar, R.A. The carcinoma–stromal ratio of colon carcinoma is an independent factor for survival compared to lymph node status and tumor stage. Anal. Cell. Pathol. 2007, 29, 387–398. [Google Scholar] [CrossRef] [PubMed]
- Lugli, A.; Kirsch, R.; Ajioka, Y.; Bosman, F.; Cathomas, G.; Dawson, H.; El Zimaity, H.; Fléjou, J.-F.; Hansen, T.P.; Hartmann, A. Recommendations for reporting tumor budding in colorectal cancer based on the international tumor budding consensus conference (itbcc) 2016. Mod. Pathol. 2017, 30, 1299–1311. [Google Scholar] [CrossRef]
- Sajjad, U.; Chen, W.; Rezapour, M.; Su, Z.; Tavolara, T.; Frankel, W.L.; Gurcan, M.N.; Niazi, M.K.K. Enhancing colorectal cancer tumor bud detection using deep learning from routine h&e-stained slides. In Proceedings of the SPIE—The International Society for Optical Engineering, Bellingham, WA, USA, 20–22 August 2024; Volume 12933, p. 129330T. [Google Scholar]
- Su, Z.; Chen, W.; Annem, S.; Sajjad, U.; Rezapour, M.; Frankel, W.L.; Gurcan, M.N.; Niazi, M.K.K. Adapting SAM to histopathology images for tumor bud segmentation in colorectal cancer. In Proceedings of the SPIE—The International Society for Optical Engineering, Bellingham, WA, USA, 20–22 August 2024; Volume 12933, p. 129330C. [Google Scholar]
- Fan, S.; Cui, X.; Zheng, L.; Ma, W.; Zheng, S.; Wang, J.; Qi, L.; Ye, Z. Prognostic value of desmoplastic stromal reaction, tumor budding and tumor-stroma ratio in stage ii colorectal cancer. J. Gastrointest. Oncol. 2022, 13, 2903. [Google Scholar] [CrossRef]
- Niazi, M.K.K.; Parwani, A.V.; Gurcan, M.N. Digital pathology and artificial intelligence. Lancet Oncol. 2019, 20, e253–e261. [Google Scholar] [CrossRef]
- Tavolara, T.E.; Su, Z.; Gurcan, M.N.; Niazi, M.K.K. One label is all you need: Interpretable ai-enhanced histopathology for oncology. In Seminars in Cancer Biology; Elsevier: Amsterdam, The Netherlands, 2023; Volume 97, pp. 70–85. [Google Scholar]
- Graham, S.; Vu, Q.D.; Raza, S.E.A.; Azam, A.; Tsang, Y.W.; Kwak, J.T.; Rajpoot, N. Hover-net: Simultaneous segmentation and classification of nuclei in multi-tissue histology images. Med. Image Anal. 2019, 58, 101563. [Google Scholar] [CrossRef]
- Hörst, F.; Rempe, M.; Heine, L.; Seibold, C.; Keyl, J.; Baldini, G.; Ugurel, S.; Siveke, J.; Grünwald, B.; Egger, J. Cellvit: Vision transformers for precise cell segmentation and classification. Med. Image Anal. 2024, 94, 103143. [Google Scholar] [CrossRef]
- Tavolara, T.E.; Niazi, M.; Gower, A.C.; Ginese, M.; Beamer, G.; Gurcan, M.N. Deep learning predicts gene expression as an intermediate data modality to identify susceptibility patterns in Mycobacterium tuberculosis infected diversity outbred mice. eBioMedicine 2021, 67, 103388. [Google Scholar] [CrossRef]
- Su, Z.; Rezapour, M.; Sajjad, U.; Niu, S.; Gurcan, M.N.; Niazi, M.K.K. Cross-attention-based saliency inference for predicting cancer metastasis on whole slide images. IEEE J. Biomed. Health Inform. 2024, 28, 7206–7216. [Google Scholar] [CrossRef]
- Sajjad, U.; Rezapour, M.; Su, Z.; Tozbikian, G.H.; Gurcan, M.N.; Niazi, M.K.K. Nrk-abmil: Subtle metastatic deposits detection for predicting lymph node metastasis in breast cancer whole-slide images. Cancers 2023, 15, 3428. [Google Scholar] [CrossRef]
- Akbar, A.R.; Sajjad, U.; Su, Z.; Li, W.; Xing, F.; Ruiz, J.; Chen, W.; Niazi, M.K.K. Celleconet: Decoding the cellular language of pathology with deep learning for invasive lung adenocarcinoma recurrence prediction. arXiv 2025, arXiv:2508.16742. [Google Scholar]
- Sajjad, U.; Crossland, N.A.; Gurcan, M.N.; Beamer, G.; Niazi, M.K.K. Deep learning-based spatial immunoprofiling of multiplex immunofluorescence images distinguishes tuberculosis disease states in diversity outbred mice. bioRxiv 2026, bioRxiv:26.701667, preprint. [Google Scholar]
- Chen, R.J.; Ding, T.; Lu, M.Y.; Williamson, D.F.; Jaume, G.; Song, A.H.; Chen, B.; Zhang, A.; Shao, D.; Shaban, M. Towards a general-purpose foundation model for computational pathology. Nat. Med. 2024, 30, 850–862. [Google Scholar] [CrossRef]
- Vorontsov, E.; Bozkurt, A.; Casson, A.; Shaikovski, G.; Zelechowski, M.; Liu, S.; Severson, K.; Zimmermann, E.; Hall, J.; Tenenholtz, N. Virchow: A million-slide digital pathology foundation model. arXiv 2023, arXiv:2309.07778. [Google Scholar]
- Filiot, A.; Jacob, P.; Mac Kain, A.; Saillard, C. Phikon-v2, a large and public feature extractor for biomarker prediction. arXiv 2024, arXiv:2409.09173. [Google Scholar] [CrossRef]
- Wang, X.; Yang, S.; Zhang, J.; Wang, M.; Zhang, J.; Yang, W.; Huang, J.; Han, X. Transformer-based unsupervised contrastive learning for histopathological image classification. Med. Image Anal. 2022, 81, 102559. [Google Scholar] [CrossRef] [PubMed]
- Nechaev, D.; Pchelnikov, A.; Ivanova, E. Hibou: A family of foundational vision transformers for pathology. arXiv 2024, arXiv:2406.05074. [Google Scholar] [CrossRef]
- Su, Z.; Akbar, A.R.; Sajjad, U.; Parwani, A.V.; Niazi, M.K.K. Streamline pathology foundation model by cross-magnification distillation. arXiv 2025, arXiv:2509.23097. [Google Scholar] [CrossRef]
- He, K.; Fan, H.; Wu, Y.; Xie, S.; Girshick, R. Momentum contrast for unsupervised visual representation learning. In Proceedings of the IEEE/CVF Conference on Computer Vision and Pattern Recognition, Seattle, WA, USA, 13–19 June 2020; pp. 9729–9738. [Google Scholar]
- Budinská, E.; Hrivňáková, M.; Ivkovic, T.C.; Madrzyk, M.; Nenutil, R.; Bencsiková, B.; Al Tukmachi, D.; Ručková, M.; Dubská, L.Z.; Slabý, O. Molecular portraits of colorectal cancer morphological regions. eLife 2023, 12, RP86655. [Google Scholar] [CrossRef] [PubMed]
- Pai, R.K.; Banerjee, I.; Shivji, S.; Jain, S.; Hartman, D.; Buchanan, D.D.; Jenkins, M.A.; Schaeffer, D.F.; Rosty, C.; Como, J. Quantitative pathologic analysis of digitized images of colorectal carcinoma improves prediction of recurrence-free survival. Gastroenterology 2022, 163, 1531–1546.e8. [Google Scholar] [CrossRef]
- Kather, J.N.; Krisam, J.; Charoentong, P.; Luedde, T.; Herpel, E.; Weis, C.-A.; Gaiser, T.; Marx, A.; Valous, N.A.; Ferber, D. Predicting survival from colorectal cancer histology slides using deep learning: A retrospective multicenter study. PLoS Med. 2019, 16, e1002730. [Google Scholar] [CrossRef] [PubMed]
- Kather, J.N.; Halama, N.; Marx, A. 100,000 histological images of human colorectal cancer and healthy tissue. Zenodo, 2018. [CrossRef]
- Nakanishi, R.; Morooka, K.i.; Omori, K.; Toyota, S.; Tanaka, Y.; Hasuda, H.; Koga, N.; Nonaka, K.; Hu, Q.; Nakaji, Y. Artificial intelligence-based prediction of recurrence after curative resection for colorectal cancer from digital pathological images. Ann. Surg. Oncol. 2023, 30, 3506–3514. [Google Scholar] [CrossRef]
- Rogers, J.E.; Johnson, B. The reality of early-onset colorectal cancer: Highlighting the needs in a unique but emerging population. Dig. Med. Res. 2021, 4, 63. [Google Scholar] [CrossRef]
- Vaidya, A.; Chen, R.J.; Williamson, D.F.; Song, A.H.; Jaume, G.; Yang, Y.; Hartvigsen, T.; Dyer, E.C.; Lu, M.Y.; Lipkova, J. Demographic bias in misdiagnosis by computational pathology models. Nat. Med. 2024, 30, 1174–1190. [Google Scholar] [CrossRef]
- Nechaev, D.; Pchelnikov, A.; Ivanova, E. HISTAI: An open-source, large-scale whole slide image dataset for computational pathology. arXiv 2025, arXiv:2505.12120. [Google Scholar]
- Ilse, M.; Tomczak, J.; Welling, M. Attention-based deep multiple instance learning. In Proceedings of the International conference on Machine Learning, Stockholm, Sweden, 10–15 July 2018; PMLR: Cambridge, MA, USA, 2018; pp. 2127–2136. [Google Scholar]
- Zhang, A.; Jaume, G.; Vaidya, A.; Ding, T.; Mahmood, F. Accelerating data processing and benchmarking of ai models for pathology. arXiv 2025, arXiv:2502.06750. [Google Scholar] [CrossRef]
- Vaidya, A.; Zhang, A.; Jaume, G.; Song, A.H.; Ding, T.; Wagner, S.J.; Lu, M.Y.; Doucet, P.; Robertson, H.; Almagro-Perez, C. Molecular-driven foundation model for oncologic pathology. arXiv 2025, arXiv:2501.16652. [Google Scholar] [CrossRef]
- Dosovitskiy, A.; Beyer, L.; Kolesnikov, A.; Weissenborn, D.; Zhai, X.; Unterthiner, T.; Dehghani, M.; Minderer, M.; Heigold, G.; Gelly, S. An image is worth 16x16 words: Transformers for image recognition at scale. arXiv 2020, arXiv:2010.11929. [Google Scholar]
- Lu, M.Y.; Williamson, D.F.; Chen, T.Y.; Chen, R.J.; Barbieri, M.; Mahmood, F. Data-efficient and weakly supervised computational pathology on whole-slide images. Nat. Biomed. Eng. 2021, 5, 555–570. [Google Scholar] [CrossRef]
- Shao, Z.; Bian, H.; Chen, Y.; Wang, Y.; Zhang, J.; Ji, X. Transmil: Transformer based correlated multiple instance learning for whole slide image classification. Adv. Neural Inf. Process. Syst. 2021, 34, 2136–2147. [Google Scholar]
- Tang, W.; Zhou, F.; Huang, S.; Zhu, X.; Zhang, Y.; Liu, B. Feature re-embedding: Towards foundation model-level performance in computational pathology. In Proceedings of the IEEE/CVF Conference on Computer Vision and Pattern Recognition, Seattle, WA, USA, 16–22 June 2024; pp. 11343–11352. [Google Scholar]
- Diederik, K. Adam: A method for stochastic optimization. arXiv 2014, arXiv:1412.6980. [Google Scholar]
- Glorot, X.; Bengio, Y. Understanding the difficulty of training deep feedforward neural networks. In Proceedings of the Thirteenth International Conference on Artificial Intelligence and Statistics, Sardinia, Italy, 13–15 May 2010; pp. 249–256. [Google Scholar]
- Shreffler, J.; Huecker, M.R. Diagnostic Testing Accuracy: Sensitivity, Specificity, Predictive Values and Likelihood Ratios; StatPearls: Treasure Island, FL, USA, 2020. [Google Scholar]
- Saltz, L.B.; Niedzwiecki, D.; Hollis, D.; Goldberg, R.M.; Hantel, A.; Thomas, J.P.; Fields, A.L.; Mayer, R.J. Irinotecan fluorouracil plus leucovorin is not superior to fluorouracil plus leucovorin alone as adjuvant treatment for stage iii colon cancer: Results of calgb 89803. J. Clin. Oncol. 2007, 25, 3456–3461. [Google Scholar] [CrossRef]
- Lai, G.; Xie, B.; Zhang, C.; Zhong, X.; Deng, J.; Li, K.; Liu, H.; Zhang, Y.; Liu, A.; Liu, Y. Comprehensive analysis of immune subtype characterization on identification of potential cells and drugs to predict response to immune checkpoint inhibitors for hepatocellular carcinoma. Genes Dis. 2025, 12, 101471. [Google Scholar] [CrossRef] [PubMed]
- Millward, J.; He, Z.; Nibali, A.; Mouradov, D.; Mielke, L.A.; Tran, K.; Chou, A.; Hawkins, N.J.; Ward, R.L.; Gill, A.J. Automated deep learning-based assessment of tumour-infiltrating lymphocyte density determines prognosis in colorectal cancer. J. Transl. Med. 2025, 23, 298. [Google Scholar] [CrossRef] [PubMed]
- Tapiainen, V.V.; Sirniö, P.; Elomaa, H.; Karjalainen, H.; Äijälä, V.K.; Kastinen, M.; Kehusmaa, A.; Pohjanen, V.-M.; Lindgren, O.; Sirkiä, O. Stroma areactive invasion front areas (sarifa), tumour immune microenvironment, and survival in colorectal cancer. Br. J. Cancer 2025, 132, 805–813. [Google Scholar] [CrossRef] [PubMed]
- Yuan, W.; Chen, Y.; Zhu, B.; Yang, S.; Zhang, J.; Mao, N.; Xiang, J.; Li, Y.; Ji, Y.; Luo, X. Pancancer outcome prediction via a unified weakly supervised deep learning model. Signal Transduct. Target. Ther. 2025, 10, 285. [Google Scholar] [CrossRef]







| Alliance Cohort Characteristics | ||
|---|---|---|
| Number of slides | 431 | |
| Number of Patients | 424 | |
| Mean age (years) | 60.47 | |
| Mean of household income median (USD) | 43,194.59 | |
| Race | White | 398 |
| Black | 33 | |
| Sex | Male | 240 |
| Female | 191 | |
| Treatment | 5FU/LV | 219 |
| CPT-11/5FU/LV | 212 | |
| Zubrod Performance scale | 0 | 328 |
| 1 | 98 | |
| 2 | 2 | |
| Tumor location | Cecum | 101 |
| Ascending Colon | 64 | |
| Hepatic Flexure | 28 | |
| Transverse Colon | 46 | |
| Splenic flexure | 19 | |
| Descending colon | 19 | |
| Sigmoid colon | 149 | |
| Grade | I | 20 |
| II | 300 | |
| III | 108 | |
| IV | 0 | |
| Stage | I | 6 |
| II | 42 | |
| III | 350 | |
| IV | 8 | |
| V | 20 | |
| Small blood/ lymphatic vessel invasion | No | 285 |
| Yes | 138 | |
| Extramural vascular invasion | No | 387 |
| Yes | 29 | |
| Infiltrating border | No | 274 |
| Yes | 141 | |
| Five-year survival | Yes | 29 |
| Survived | 328 | |
| Model | Treatment | AUC | Accuracy (%) | Sensitivity (%) | Specificity (%) |
|---|---|---|---|---|---|
| ABMIL [39] | FL | 0.65 0.11 | 62.02 13.76 | 51.93 22.92 | 72.12 08.70 |
| IFL | 0.58 0.07 | 54.13 05.61 | 45.34 08.90 | 62.92 06.89 | |
| CLAM [35] | FL | 0.61 0.09 | 50.04 05.96 | 14.12 08.97 | 85.96 08.47 |
| IFL | 0.63 0.15 | 60.89 06.01 | 36.71 13.97 | 85.07 09.81 | |
| TransMIL [40] | FL | 0.75 0.10 | 54.75 08.37 | 10.33 16.13 | 99.16 01.66 |
| IFL | 0.62 0.09 | 51.81 03.63 | 3.63 07.27 | 100.00 00.00 | |
| Nakanishi et al. [31] | FL | 0.65 0.16 | 61.12 12.85 | 48.38 21.23 | 73.85 07.18 |
| IFL | 0.55 0.07 | 56.02 05.29 | 56.23 10.32 | 55.80 08.49 | |
| RRT-MIL [41] | FL | 0.59 0.15 | 55.42 08.54 | 43.45 25.65 | 67.38 25.52 |
| IFL | 0.55 0.04 | 55.62 03.61 | 46.90 24.09 | 64.35 25.62 | |
| PRISM | FL | 0.72 0.06 | 68.21 03.40 | 64.82 03.40 | 71.60 08.50 |
| IFL | 0.68 0.11 | 66.77 05.10 | 68.76 13.90 | 64.77 ± 10.90 |
Disclaimer/Publisher’s Note: The statements, opinions and data contained in all publications are solely those of the individual author(s) and contributor(s) and not of MDPI and/or the editor(s). MDPI and/or the editor(s) disclaim responsibility for any injury to people or property resulting from any ideas, methods, instructions or products referred to in the content. |
© 2026 by the authors. Licensee MDPI, Basel, Switzerland. This article is an open access article distributed under the terms and conditions of the Creative Commons Attribution (CC BY) license.
Share and Cite
Sajjad, U.; Akbar, A.R.; Su, Z.; Leyva, A.; Knight, D.; Frankel, W.L.; Gurcan, M.N.; Chen, W.; Niazi, M.K.K. Morphology-Aware Prognostic Model for Five-Year Survival Prediction in Colorectal Cancer from H&E Whole-Slide Images: A Study Using Multi-Center Clinical Trial Cohort. Cancers 2026, 18, 1150. https://doi.org/10.3390/cancers18071150
Sajjad U, Akbar AR, Su Z, Leyva A, Knight D, Frankel WL, Gurcan MN, Chen W, Niazi MKK. Morphology-Aware Prognostic Model for Five-Year Survival Prediction in Colorectal Cancer from H&E Whole-Slide Images: A Study Using Multi-Center Clinical Trial Cohort. Cancers. 2026; 18(7):1150. https://doi.org/10.3390/cancers18071150
Chicago/Turabian StyleSajjad, Usama, Abdul Rehman Akbar, Ziyu Su, Alejandro Leyva, Deborah Knight, Wendy L. Frankel, Metin N. Gurcan, Wei Chen, and Muhammad Khalid Khan Niazi. 2026. "Morphology-Aware Prognostic Model for Five-Year Survival Prediction in Colorectal Cancer from H&E Whole-Slide Images: A Study Using Multi-Center Clinical Trial Cohort" Cancers 18, no. 7: 1150. https://doi.org/10.3390/cancers18071150
APA StyleSajjad, U., Akbar, A. R., Su, Z., Leyva, A., Knight, D., Frankel, W. L., Gurcan, M. N., Chen, W., & Niazi, M. K. K. (2026). Morphology-Aware Prognostic Model for Five-Year Survival Prediction in Colorectal Cancer from H&E Whole-Slide Images: A Study Using Multi-Center Clinical Trial Cohort. Cancers, 18(7), 1150. https://doi.org/10.3390/cancers18071150

