Real-World Experience with Approved CAR T-Cell Therapies Ciltacabtagene Autoleucel and Idecabtagene Vicleucel in 1272 Relapsed/Refractory Multiple Myeloma Patients
Simple Summary
Abstract
1. Introduction
2. Materials and Methods
2.1. Study Design
2.2. Population-Defining ICD-10 Codes
2.3. Index Event and Date
2.4. Outcomes
2.5. Statistical Analysis
3. Results
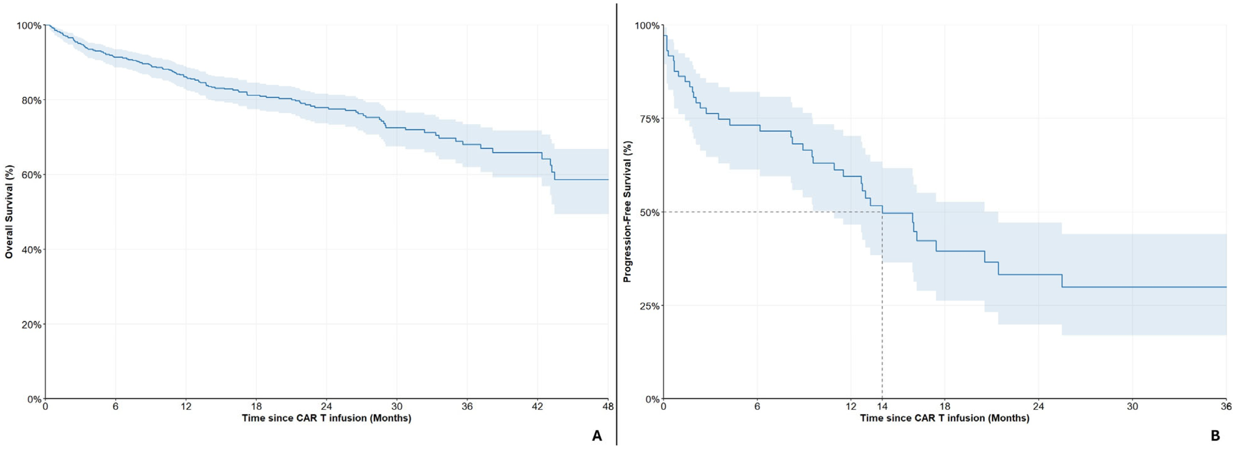
3.1. Survival Outcomes: Cilta-Cel
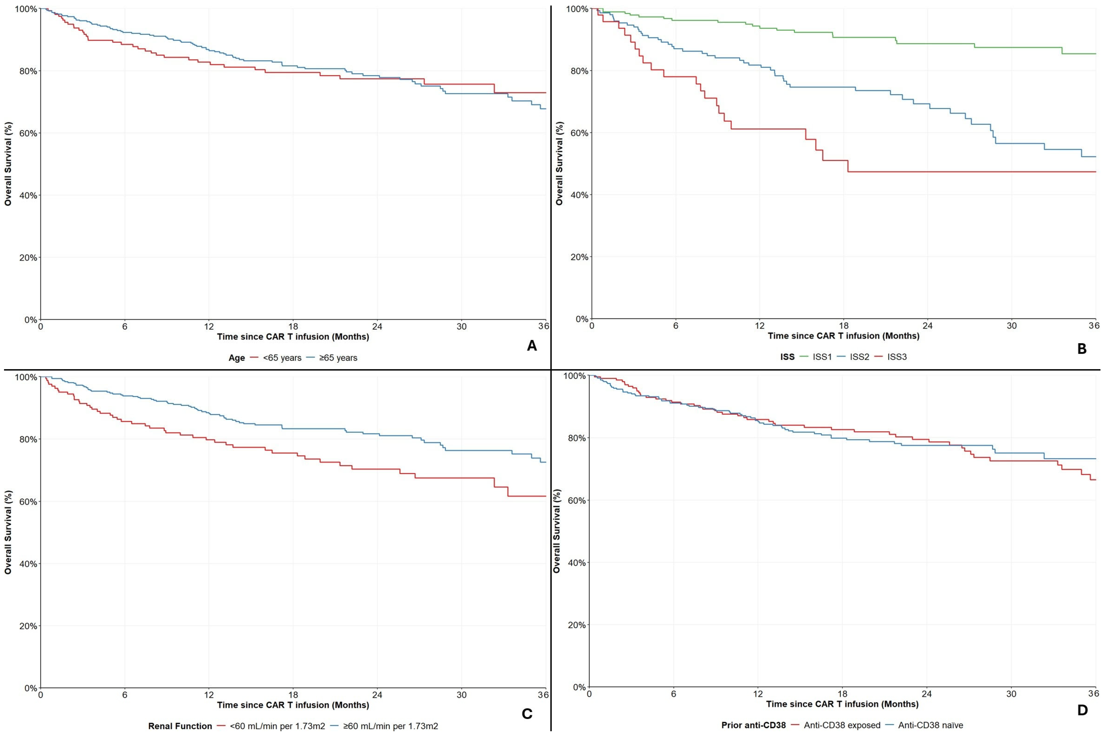
Subgroup Analyses in the Cilta-Cel Cohort

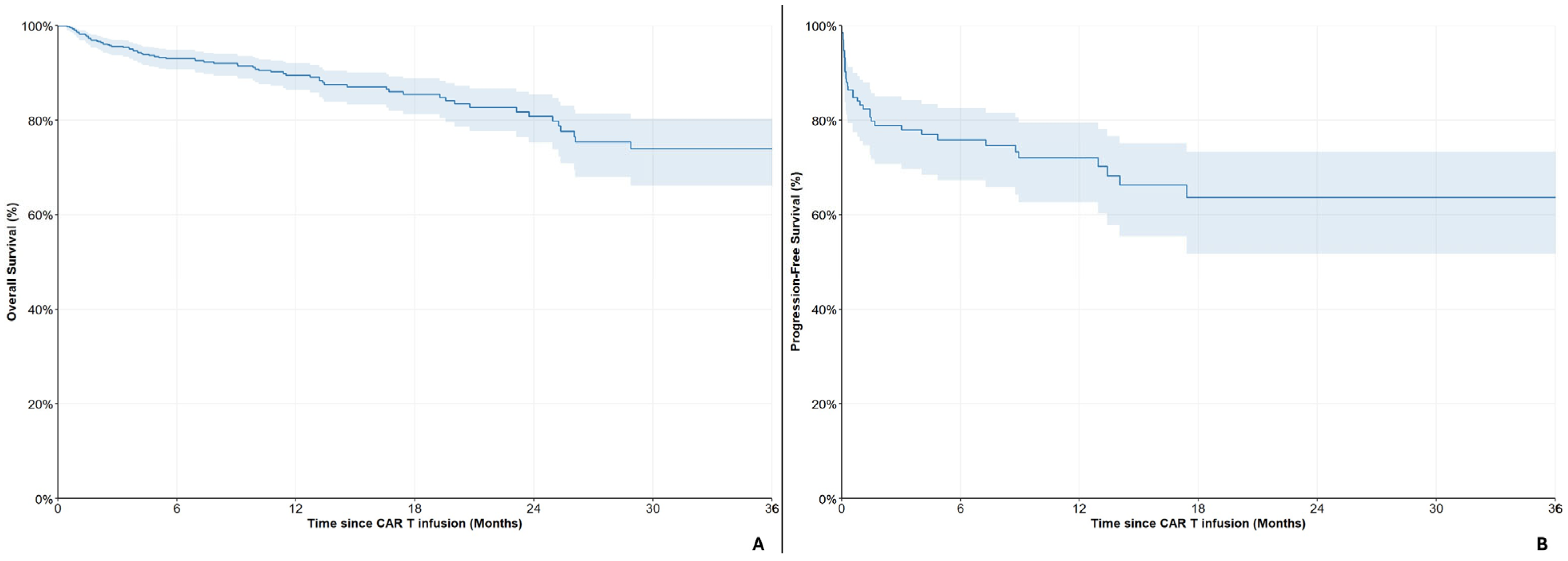
3.2. Survival Outcomes: Ide-Cel
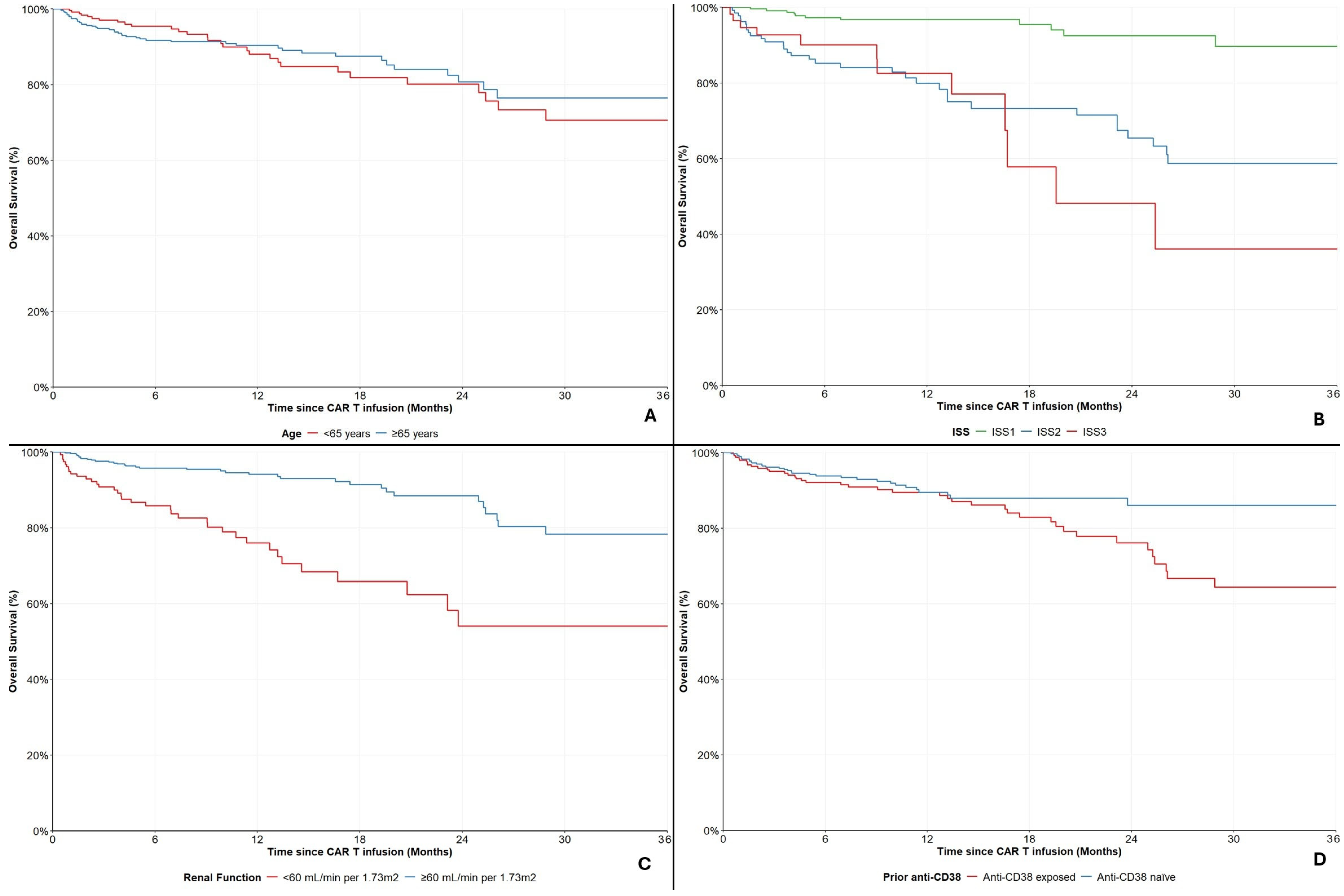
Subgroup Analyses in the Ide-Cel Cohort
3.3. Safety
3.3.1. Systemic and Neurological Toxicities
3.3.2. Infections and Hypogammaglobulinemia
3.3.3. Serious Hematologic Toxicities
3.4. Exploratory Sub-Analysis in Patients with Moderate-to-Severe Renal Impairment
4. Discussion
5. Conclusions
Supplementary Materials
Author Contributions
Funding
Institutional Review Board Statement
Informed Consent Statement
Data Availability Statement
Conflicts of Interest
References
- Rajkumar, S.V. Multiple myeloma: 2024 update on diagnosis, risk-stratification, and management. Am. J. Hematol. 2024, 99, 1802–1824. [Google Scholar] [CrossRef]
- Mafra, A.; Laversanne, M.; Marcos-Gragera, R.; Chaves, H.V.S.; Mcshane, C.; Bray, F.; Znaor, A. The global multiple myeloma incidence and mortality burden in 2022 and predictions for 2045. J. Natl. Cancer Inst. 2025, 117, 907–914. [Google Scholar] [CrossRef]
- Kumar, S.K.; Callander, N.S.; Adekola, K.; Anderson, L.D.; Baljevic, M.; Baz, R.; Campagnaro, E.; Costello, C.; D’Angelo, C.; Derman, B.; et al. NCCN Guidelines® Insights: Multiple Myeloma, Version 1.2025. J. Natl. Compr. Cancer Netw. 2025, 23, 132–140. [Google Scholar] [CrossRef]
- Bazarbachi, A.H.; Al Hamed, R.; Malard, F.; Harousseau, J.L.; Mohty, M. Relapsed refractory multiple myeloma: A comprehensive overview. Leukemia 2019, 33, 2343–2357. [Google Scholar] [CrossRef] [PubMed]
- Dimopoulos, M.A.; Terpos, E.; Boccadoro, M.; Moreau, P.; Mateos, M.V.; Zweegman, S.; Cook, G.; Engelhardt, M.; Delforge, M.; Hajek, R.; et al. EHA-EMN Evidence-Based Guidelines for diagnosis, treatment and follow-up of patients with multiple myeloma. Nat. Rev. Clin. Oncol. 2025, 22, 680–700. [Google Scholar] [CrossRef] [PubMed]
- Swan, D.; Madduri, D.; Hocking, J. CAR-T cell therapy in Multiple Myeloma: Current status and future challenges. Blood Cancer J. 2024, 14, 206. [Google Scholar] [CrossRef]
- Filippatos, C.; Kanteli, I.; Pasipoularidou, D.G.; Gavriatopoulou, M.; Tentolouris, A.; Malandrakis, P.; Sergentanis, T.N.; Terpos, E.; Ntanasis-Stathopoulos, I. Chimeric Antigen Receptor T-Cells (CAR T-Cells) in Hematological Malignancies: A Systematic Review and Meta-Analysis of Proportions From Clinical Trials. Am. J. Hematol. 2026, 101, 497–511. [Google Scholar] [CrossRef]
- San-Miguel, J.; Dhakal, B.; Yong, K.; Spencer, A.; Anguille, S.; Mateos, M.V.; Fernández de Larrea, C.; Martínez-López, J.; Moreau, P.; Touzeau, C.; et al. Cilta-cel or Standard Care in Lenalidomide-Refractory Multiple Myeloma. N. Engl. J. Med. 2023, 389, 335–347. [Google Scholar] [CrossRef] [PubMed]
- Rodriguez-Otero, P.; Ailawadhi, S.; Arnulf, B.; Patel, K.; Cavo, M.; Nooka, A.K.; Manier, S.; Callander, N.; Costa, L.J.; Vij, R.; et al. Ide-cel or Standard Regimens in Relapsed and Refractory Multiple Myeloma. N. Engl. J. Med. 2023, 388, 1002–1014. [Google Scholar] [CrossRef]
- Clé, D.V.; Donadel, C.D.; Calado, R.T. CAR-T in resource-limited regions. Blood Glob. Hematol. 2026, 2, 100051. [Google Scholar] [CrossRef]
- Ahmadi, P.; Alsdorf, W.; Leypoldt, L.; Kosch, R.; Schaefers, C.; Gagelmann, N.; Ayuk, F.; Kron, F.; Weisel, K. T cell redirection as a new standard of care for relapsed multiple myeloma: Impact on inpatient capacity, financial burden and infrastructural requirements in Germany. Bone Marrow Transplant. 2025, 60, 538–540. [Google Scholar] [CrossRef]
- Dowling, M.R.; Harrison, S.J. DRiving STandard-of-care CAR T cells in real-world Germany. Blood 2025, 146, 1634–1635. [Google Scholar] [CrossRef] [PubMed]
- Berdeja, J.G.; Madduri, D.; Usmani, S.Z.; Jakubowiak, A.; Agha, M.; Cohen, A.D.; Stewart, A.K.; Hari, P.; Htut, M.; Lesokhin, A.; et al. Ciltacabtagene autoleucel, a B-cell maturation antigen-directed chimeric antigen receptor T-cell therapy in patients with relapsed or refractory multiple myeloma (CARTITUDE-1): A phase 1b/2 open-label study. Lancet 2021, 398, 314–324, Erratum in Lancet 2021, 398, 1216. https://doi.org/10.1016/S0140-6736(21)02132-2. [Google Scholar] [CrossRef] [PubMed]
- Ailawadhi, S.; Arnulf, B.; Patel, K.; Cavo, M.; Nooka, A.K.; Manier, S.; Callander, N.; Costa, L.J.; Vij, R.; Bahlis, N.J.; et al. Ide-cel vs standard regimens in triple-class-exposed relapsed and refractory multiple myeloma: Updated KarMMa-3 analyses. Blood 2024, 144, 2389–2401. [Google Scholar] [CrossRef]
- Lin, Y.; Raje, N.S.; Berdeja, J.G.; Siegel, D.S.; Jagannath, S.; Madduri, D.; Liedtke, M.; Rosenblatt, J.; Maus, M.V.; Massaro, M.; et al. Idecabtagene vicleucel for relapsed and refractory multiple myeloma: Post hoc 18-month follow-up of a phase 1 trial. Nat. Med. 2023, 29, 2286–2294. [Google Scholar] [CrossRef]
- Gurupur, V.; Hooshmand, S.; Prabhu, D.F.; Trader, E.; Salvi, S. Incompleteness of Electronic Health Records: An Impending Process Problem Within Healthcare. Healthcare 2025, 13, 2900. [Google Scholar] [CrossRef]
- Brudno, J.N.; Kochenderfer, J.N. Toxicities of chimeric antigen receptor T cells: Recognition and management. Blood 2016, 127, 3321–3330. [Google Scholar] [CrossRef] [PubMed]
- Shah, N.; Chari, A.; Scott, E.; Mezzi, K.; Usmani, S.Z. B-cell maturation antigen (BCMA) in multiple myeloma: Rationale for targeting and current therapeutic approaches. Leukemia 2020, 34, 985–1005. [Google Scholar] [CrossRef] [PubMed]
- Sidana, S.; Patel, K.K.; Peres, L.C.; Bansal, R.; Kocoglu, M.H.; Shune, L.; Atrash, S.; Smith, K.; Midha, S.; Ferreri, C.; et al. Safety and efficacy of standard-of-care ciltacabtagene autoleucel for relapsed/refractory multiple myeloma. Blood 2025, 145, 85–97. [Google Scholar] [CrossRef] [PubMed]
- Bhutani, M.; Habib, A.; Vegel, A.; Ndiaye, A.; Struble, E.; Shaikh, H.; Chang, D.; Strouse, C.; Green, K.M.; Graf, K.; et al. Outcomes of CAR T-Cell therapy in relapsed/refractory multiple myeloma by race: A multicenter real-world study. Blood Cancer J. 2025, 15, 200. [Google Scholar] [CrossRef]
- Swamy, V.; Kelly, K.; Koyner, J.L.; Derman, B.A.; Bonilla, M. Chimeric Antigen Receptor T-Cell Therapy in Dialysis-Dependent Patients with Multiple Myeloma: Insights From a 5-Case Series. Kidney Med. 2025, 7, 101141. [Google Scholar] [CrossRef] [PubMed]
- Habib, A.; Ahmed, N.; Khan, A.M.; Chang, D.; Paul, B.; Shaikh, H.; Strouse, C.; Struble, E.; Vegel, A.; Mahmoudjafari, Z.; et al. BCMA-Directed CAR T-Cell Therapy in Patients with Relapsed/Refractory Multiple Myeloma and Renal Impairment. Curr. Oncol. 2026, 33, 80. [Google Scholar] [CrossRef]
- Sidana, S.; Peres, L.C.; Hashmi, H.; Hosoya, H.; Ferreri, C.; Khouri, J.; Dima, D.; Atrash, S.; Voorhees, P.; Simmons, G.; et al. Idecabtagene vicleucel chimeric antigen receptor T-cell therapy for relapsed/refractory multiple myeloma with renal impairment. Haematologica 2024, 109, 777–786. [Google Scholar] [CrossRef]
- Dimopoulos, M.A.; Merlini, G.; Bridoux, F.; Leung, N.; Mikhael, J.; Harrison, S.J.; Kastritis, E.; Garderet, L.; Gozzetti, A.; van de Donk, N.W.C.J.; et al. Management of multiple myeloma-related renal impairment: Recommendations from the International Myeloma Working Group. Lancet Oncol. 2023, 24, e293–e311. [Google Scholar] [CrossRef] [PubMed]
- Ntanasis-Stathopoulos, I.; Filippatos, C.; Malandrakis, P.; Koutoulidis, V.; Kastritis, E.; Terpos, E.; Dimopoulos, M.A.; Gavriatopoulou, M. Upfront Anti-CD38 Monoclonal Antibody-Based Quadruplet Therapy for Multiple Myeloma: A Systematic Review and Meta-Analysis of Clinical Trials. Cancers 2025, 17, 1943. [Google Scholar] [CrossRef]
- Wang, Y.; Zhang, L.; He, D.; Chen, H.; Zhang, H.; Yuan, Y.; Zhang, C.; Feng, R.; Wei, Y.; Wei, X. Addition of anti-CD38 mAb in newly diagnosed multiple myeloma: Advancing toward quadruplet induction regimens. Blood Neoplasia 2025, 3, 100189. [Google Scholar] [CrossRef]
- Souto Filho, J.T.D.; Cantadori, L.O.; Crusoe, E.Q.; Hungria, V.; Maiolino, A. Survival impact of anti-CD38-based quadruplet regimens in transplant-ineligible newly diagnosed multiple myeloma: A network meta-analysis and reconstructed individual patient data meta-analysis. Blood Cancer J. 2025, 15, 212. [Google Scholar] [CrossRef]
- Souto Filho, J.T.D.; Cantadori, L.O.; Crusoe, E.Q.; Hungria, V.; Maiolino, A. Daratumumab-based quadruplet versus triplet induction regimens in transplant-eligible newly diagnosed multiple myeloma: A systematic review and meta-analysis. Blood Cancer J. 2025, 15, 37. [Google Scholar] [CrossRef]
- Dimopoulos, M.A.; Voorhees, P.M.; Schjesvold, F.; Cohen, Y.C.; Hungria, V.; Sandhu, I.; Lindsay, J.; Baker, R.I.; Suzuki, K.; Kosugi, H.; et al. Daratumumab or Active Monitoring for High-Risk Smoldering Multiple Myeloma. N. Engl. J. Med. 2025, 392, 1777–1788. [Google Scholar] [CrossRef]
- Costa, L.J.; Bahlis, N.J.; Perrot, A.; Nooka, A.K.; Lu, J.; Pawlyn, C.; Mina, R.; Caeiro, G.; Kentos, A.; Hungria, V.; et al. Teclistamab plus Daratumumab in Relapsed or Refractory Multiple Myeloma. N. Engl. J. Med. 2026, 394, 739–752. [Google Scholar] [CrossRef] [PubMed]
- Sebastian, T.; Rajeeve, S.; Farzana, T.; Firestone, R.; Jurgens, E.; Miller, K.; Costa, B.A.; Lesokhin, A.; Tan, C.R.; Shah, G.; et al. Impact of daratumumab refractoriness on clinical outcomes following CAR T-cell therapy for relapsed refractory multiple myeloma. Blood Cancer J. 2025, 15, 137, Erratum in Blood Cancer J. 2025, 15, 161. https://doi.org/10.1038/s41408-025-01383-w. [Google Scholar] [CrossRef] [PubMed]
- Tan, C.J.; Kacerek, D.; Kampirapawong, N.; Godara, A.; Chaiyakunapruk, N. Treatment of Multiple Myeloma in Patients Refractory to Daratumumab/Anti-CD38 Monoclonal Antibodies: A Systematic Review. Cancer Med. 2025, 14, e70585. [Google Scholar] [CrossRef] [PubMed]




| Cilta-Cel (n = 697) | Ide-Cel (n = 575) | |
|---|---|---|
| Age (years)—median (range) | 65 (range 24–84) | 67 (range 30–89) |
| Males—n (%) | 392 (56.2) | 344 (59.8) |
| Race—n (%) | ||
| White | 502 (72.0) | 425 (73.9) |
| Black or African American | 113 (16.2) | 96 (16.7) |
| Asian | 15 (2.2) | 10 (1.7) |
| Other | 67 (9.6) | 44 (7.7) |
| Hispanic or Latino—n (%) | 30 (4.3) | 29 (5.0) |
| Extramedullary plasmacytoma—n (%) | 10 (1.4) | 15 (2.3) |
| ISS a—n (%) | ||
| 1 | 274 (57.7) | 192 (48.7) |
| 2 | 142 (29.9) | 154 (39.1) |
| 3 | 59 (12.4) | 48 (12.2) |
| ECOG PS—median (range) | 1 (0–3) | 1 (0–3) |
| eGFR b—median (range) | 85.8 (30.4) | 82.8 (36.5) |
| Renal dysfunction c—n (%) | 160 (23.0) | 164 (28.5) |
| Previous LoT a—median (range) | 3 (1–6) | 4 (1–6) |
| PI and/or IMiD exposure—n (%) | 697 (100.0) | 575 (100.0) |
| Anti-CD38 exposure—n (%) | 256 (36.7) | 207 (36.0) |
| Daratumumab | 246 (35.3) | 196 (34.1) |
| Isatuximab | 10 (1.4) | 11 (1.9) |
| Anti-BCMA exposure—n (%) | 7 (1.0) | 15 (2.6) |
Disclaimer/Publisher’s Note: The statements, opinions and data contained in all publications are solely those of the individual author(s) and contributor(s) and not of MDPI and/or the editor(s). MDPI and/or the editor(s) disclaim responsibility for any injury to people or property resulting from any ideas, methods, instructions or products referred to in the content. |
© 2026 by the authors. Licensee MDPI, Basel, Switzerland. This article is an open access article distributed under the terms and conditions of the Creative Commons Attribution (CC BY) license.
Share and Cite
Filippatos, C.; Ntanasis-Stathopoulos, I.; Briasoulis, A.; Malandrakis, P.; Terpos, E.; Gavriatopoulou, M. Real-World Experience with Approved CAR T-Cell Therapies Ciltacabtagene Autoleucel and Idecabtagene Vicleucel in 1272 Relapsed/Refractory Multiple Myeloma Patients. Cancers 2026, 18, 1013. https://doi.org/10.3390/cancers18061013
Filippatos C, Ntanasis-Stathopoulos I, Briasoulis A, Malandrakis P, Terpos E, Gavriatopoulou M. Real-World Experience with Approved CAR T-Cell Therapies Ciltacabtagene Autoleucel and Idecabtagene Vicleucel in 1272 Relapsed/Refractory Multiple Myeloma Patients. Cancers. 2026; 18(6):1013. https://doi.org/10.3390/cancers18061013
Chicago/Turabian StyleFilippatos, Charalampos, Ioannis Ntanasis-Stathopoulos, Alexandros Briasoulis, Panagiotis Malandrakis, Evangelos Terpos, and Maria Gavriatopoulou. 2026. "Real-World Experience with Approved CAR T-Cell Therapies Ciltacabtagene Autoleucel and Idecabtagene Vicleucel in 1272 Relapsed/Refractory Multiple Myeloma Patients" Cancers 18, no. 6: 1013. https://doi.org/10.3390/cancers18061013
APA StyleFilippatos, C., Ntanasis-Stathopoulos, I., Briasoulis, A., Malandrakis, P., Terpos, E., & Gavriatopoulou, M. (2026). Real-World Experience with Approved CAR T-Cell Therapies Ciltacabtagene Autoleucel and Idecabtagene Vicleucel in 1272 Relapsed/Refractory Multiple Myeloma Patients. Cancers, 18(6), 1013. https://doi.org/10.3390/cancers18061013

