A Systematic Review and Meta-Analysis on Opioid Management of Dyspnea in Cancer Patients
Simple Summary
Abstract
1. Introduction
2. Materials and Methods
2.1. Search Strategy
2.2. Data Extraction
2.3. Evaluation of the Risk of Bias for Individual Studies
2.4. Statistical Analysis
3. Results
3.1. Study Selection
3.2. Risk of Bias
3.3. Characteristics of Included Studies
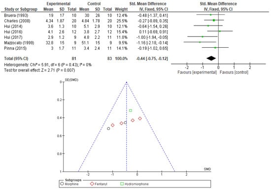
3.4. Primary Outcome—Dyspnea Relief
3.5. Secondary Outcomes
4. Discussion
Study Limitations
5. Conclusions
Author Contributions
Funding
Institutional Review Board Statement
Informed Consent Statement
Data Availability Statement
Conflicts of Interest
Abbreviations
| COPD | Chronic obstructive pulmonary disease | 
| CTCAE | Common Terminology Criteria for Adverse Events | 
| PICOS | Population, Intervention, Comparison, Outcomes and Study framework for systematic reviews | 
| SMD | Standardized mean differences | 
| OR | Odds ratio | 
| 95% CI | 95 percent confidence interval | 
| RCTs | Randomized controlled trials | 
| Mo | Morphine | 
| Fent | Fentanyl | 
| HyMo | Hydromorphone | 
| Oxy | Oxycodone | 
| po | Per oral | 
| sc | Subcutaneous administration | 
| tm | Transmucosal administration | 
| Inhal | Inhalation | 
| SAEs | Severe adverse reactions | 
| NS | Not specified | 
| HTA | Arterial hypertension | 
| RR | Respiratory rate | 
| SaO2 | Peripheral oxygen saturation | 
| VAS | Visual analog scale for dyspnea | 
| CPOT | Clinical pain observational tool | 
| ECOG | Eastern Cooperative Oncology Group | 
| NRS | Numeric rating scale | 
| QoL | Quality of life | 
| KPS | Karnofsky performance status | 
| MEDD | Morphine equivalent daily dose | 
| DOME | Daily oral morphine equivalent dose. Effective dose: Dose that reduced the intensity of dyspnea by at least 50%. | 
| 6MWT | 6-min walk test | 
| OTFC | Oral transmucosal fentanyl citrate | 
| FBT | Fentanyl buccal tablet | 
| FPNS | Fentanyl pectin nasal spray | 
References
- Booth, S.; Silvester, S.; Todd, C. Breathlessness in Cancer and Chronic Obstructive Pulmonary Disease: Using a Qualitative Approach to Describe the Experience of Patients and Carers. Palliat. Support. Care 2003, 1, 337–344. [Google Scholar] [CrossRef] [PubMed]
 - Chan, K.-S.; Tse, D.M.W.; Sham, M.M.K. Dyspnoea and Other Respiratory Symptoms in Palliative Care. In Oxford Textbook of Palliative Medicine; Oxford Academic: Oxford, UK, 2015; pp. 421–434. [Google Scholar] [CrossRef]
 - Cuervo Pinna, M.Á.; Vargas, R.M.; Moralo, M.J.R.; Correas, M.Á.S.; Pera Blanco, G. Dyspnea—a Bad Prognosis Symptom at the End of Life. Am. J. Hosp. Palliat. Care 2009, 26, 89–97. [Google Scholar] [CrossRef]
 - Currow, D.C.; Smith, J.; Davidson, P.M.; Newton, P.J.; Agar, M.R.; Abernethy, A.P. Do the Trajectories of Dyspnea Differ in Prevalence and Intensity by Diagnosis at the End of Life? A Consecutive Cohort Study. J. Pain Symptom Manag. 2010, 39, 680–690. [Google Scholar] [CrossRef] [PubMed]
 - Mercadante, S.; Casuccio, A.; Fulfaro, F. The Course of Symptom Frequency and Intensity in Advanced Cancer Patients Followed at Home. J. Pain Symptom Manag. 2000, 20, 104–112. [Google Scholar] [CrossRef] [PubMed]
 - Hui, D.; Maddocks, M.; Johnson, M.J.; Ekström, M.; Simon, S.T.; Ogliari, A.C.; Booth, S.; Ripamonti, C.I. Management of Breathlessness in Patients with Cancer: ESMO Clinical Practice Guidelines. ESMO Open 2020, 5, e001038. [Google Scholar] [CrossRef]
 - Yamaguchi, T.; Goya, S.; Kohara, H.; Watanabe, H.; Mori, M.; Matsuda, Y.; Nakamura, Y.; Sakashita, A.; Nishi, T.; Tanaka, K. Treatment Recommendations for Respiratory Symptoms in Cancer Patients: Clinical Guidelines from the Japanese Society for Palliative Medicine. J. Palliat. Med. 2016, 19, 925–935. [Google Scholar] [CrossRef]
 - Hui, D.; Bohlke, K.; Bao, T.; Campbell, T.C.; Coyne, P.J.; Currow, D.C.; Gupta, A.; Leiser, A.L.; Mori, M.; Nava, S.; et al. Management of Dyspnea in Advanced Cancer: ASCO Guideline. J. Clin. Oncol. 2021, 39, 1389–1411. [Google Scholar] [CrossRef] [PubMed]
 - Ekström, M.; Bajwah, S.; Bland, J.M.; Currow, D.C.; Hussain, J.; Johnson, M.J. One Evidence Base; Three Stories: Do Opioids Relieve Chronic Breathlessness? Thorax 2018, 73, 88–90. [Google Scholar] [CrossRef]
 - Johnson, M.J.; Abernethy, A.P.; Currow, D.C. Gaps in the Evidence Base of Opioids for Refractory Breathlessness. A Future Work Plan? J. Pain Symptom Manag. 2012, 43, 614–624. [Google Scholar] [CrossRef]
 - Barnes, H.; Mcdonald, J.; Smallwood, N.; Manser, R. Opioids for the Palliation of Refractory Breathlessness in Adults with Advanced Disease and Terminal Illness. Cochrane Database Syst. Rev. 2016, 2016, CD011008. [Google Scholar] [CrossRef]
 - Simon, S.T.; Köskeroglu, P.; Gaertner, J.; Voltz, R. Fentanyl for the Relief of Refractory Breathlessness: A Systematic Review. J. Pain Symptom Manag. 2013, 46, 874–886. [Google Scholar] [CrossRef] [PubMed]
 - Ben-Aharon, I.; Gafter-Gvili, A.; Leibovici, L.; Stemmer, S.M. Interventions for Alleviating Cancer-Related Dyspnea: A Systematic Review and Meta-Analysis. Acta Oncol. 2012, 51, 996–1008. [Google Scholar] [CrossRef]
 - Page, M.J.; McKenzie, J.E.; Bossuyt, P.M.; Boutron, I.; Hoffmann, T.C.; Mulrow, C.D.; Shamseer, L.; Tetzlaff, J.M.; Akl, E.A.; Brennan, S.E.; et al. The PRISMA 2020 Statement: An Updated Guideline for Reporting Systematic Reviews. BMJ 2021, 372, n71. [Google Scholar] [CrossRef] [PubMed]
 - National Cancer Institute Common Terminology Criteria for Adverse Events (CTCAE) Common Terminology Criteria for Adverse Events (CTCAE) v5.0. Available online: https://ctep.cancer.gov/protocoldevelopment/electronic_applications/docs/ctcae_v5_quick_reference_5x7.pdf (accessed on 6 March 2024).
 - Amir-Behghadami, M.; Janati, A. Population, Intervention, Comparison, Outcomes and Study (PICOS) Design as a Framework to Formulate Eligibility Criteria in Systematic Reviews. Emerg. Med. J. 2020, 37, 387. [Google Scholar] [CrossRef]
 - Higgins, J.P.T.; Altman, D.G.; Gøtzsche, P.C.; Jüni, P.; Moher, D.; Oxman, A.D.; Savović, J.; Schulz, K.F.; Weeks, L.; Sterne, J.A.C. The Cochrane Collaboration’s Tool for Assessing Risk of Bias in Randomised Trials. BMJ 2011, 343, d5928. [Google Scholar] [CrossRef]
 - RevMan|Cochrane Training. Available online: https://training.cochrane.org/online-learning/core-software/revman (accessed on 24 January 2023).
 - Mendeley Reference Manager|Mendeley. Available online: https://www.mendeley.com/reference-management/reference-manager (accessed on 28 January 2023).
 - Date, K.; Williams, B.; Cohen, J.; Chaudhuri, N.; Bajwah, S.; Pearson, M.; Higginson, I.; Norrie, J.; Keerie, C.; Tuck, S.; et al. Modified-Release Morphine or Placebo for Chronic Breathlessness: The MABEL Trial Protocol. ERJ Open Res. 2023, 9, 00167-2023. [Google Scholar] [CrossRef] [PubMed]
 - Minchom, A.; Punwani, R.; Filshie, J.; Bhosle, J.; Nimako, K.; Myerson, J.; Gunapala, R.; Popat, S.; O’brien, M.E.R. A Randomised Study Comparing the Effectiveness of Acupuncture or Morphine versus the Combination for the Relief of Dyspnoea in Patients with Advanced Non-Small Cell Lung Cancer and Mesothelioma. Eur. J. Cancer 2016, 61, 102–110. [Google Scholar] [CrossRef]
 - Grimbert, D.; Lubin, O.; De Monte, M.; Vecellio None, L.; Perrier, M.; Carré, P.; Lemarié, E.; Boissinot, E.; Diot, P. Dyspnée et Aérosols de Morphine Dans Les Soins Palliatifs Du Cancer Broncho-Pulmonaire. Rev. Des Mal. Respir. 2004, 21, 1091–1097. [Google Scholar] [CrossRef]
 - Hui, D.; Kilgore, K.; Park, M.; Williams, J.; Liu, D.; Bruera, E. Impact of Prophylactic Fentanyl Pectin Nasal Spray on Exercise-Induced Episodic Dyspnea in Cancer Patients: A Double-Blind, Randomized Controlled Trial. J. Pain Symptom Manag. 2016, 52, 459–468.e1. [Google Scholar] [CrossRef]
 - Hui, D.; Xu, A.; Frisbee-Hume, S.; Chisholm, G.; Morgado, M.; Reddy, S.; Bruera, E. Effects of Prophylactic Subcutaneous Fentanyl on Exercise-Induced Breakthrough Dyspnea in Cancer Patients: A Preliminary Double-Blind, Randomized, Controlled Trial. J. Pain Symptom Manag. 2014, 47, 209–217. [Google Scholar] [CrossRef]
 - Hui, D.; Kilgore, K.; Frisbee-Hume, S.; Park, M.; Liu, D.; Balachandran, D.D.; Bruera, E. Effect of Prophylactic Fentanyl Buccal Tablet on Episodic Exertional Dyspnea: A Pilot Double-Blind Randomized Controlled Trial. J. Pain Symptom Manag. 2017, 54, 798–805. [Google Scholar] [CrossRef] [PubMed]
 - Simon, S.T.; Kloke, M.; Alt-Epping, B.; Gärtner, J.; Hellmich, M.; Hein, R.; Piel, M.; Cornely, O.A.; Nauck, F.; Voltz, R. EffenDys-Fentanyl Buccal Tablet for the Relief of Episodic Breathlessness in Patients With Advanced Cancer: A Multicenter, Open-Label, Randomized, Morphine-Controlled, Crossover, Phase II Trial. J. Pain Symptom Manag. 2016, 52, 617–625. [Google Scholar] [CrossRef]
 - Yamaguchi, T.; Matsuda, Y.; Matsuoka, H.; Hisanaga, T.; Osaka, I.; Watanabe, H.; Maeda, I.; Imai, K.; Tsuneto, S.; Wagatsuma, Y.; et al. Efficacy of Immediate-Release Oxycodone for Dyspnoea in Cancer Patient: Cancer Dyspnoea Relief (CDR) Trial. Jpn. J. Clin. Oncol. 2018, 48, 1070–1075. [Google Scholar] [CrossRef]
 - Davis, C.; Penn, K.; A’Hern, R.; Daniels, J.; Slevin, M. Single Dose Randomised Controlled Trial of Nebulised Morphine in Patients with Cancer Related Breathlessness. Palliat. Med. 1996, 10, 64–65. [Google Scholar]
 - Navigante, A.H.; Cerchietti, L.C.A.; Castro, M.A.; Lutteral, M.A.; Cabalar, M.E. Midazolam as Adjunct Therapy to Morphine in the Alleviation of Severe Dyspnea Perception in Patients with Advanced Cancer. J. Pain Symptom Manag. 2006, 31, 38–47. [Google Scholar] [CrossRef]
 - Bruera, E.; MacEachern, T.; Ripamonti, C.; Hanson, J. Subcutaneous Morphine for Dyspnea in Cancer Patients. Ann. Intern. Med. 1993, 119, 906–907. [Google Scholar] [CrossRef] [PubMed]
 - Bruera, E.; Sala, R.; Spruyt, O.; Palmer, J.L.; Zhang, T.; Willey, J. Nebulized versus Subcutaneous Morphine for Patients with Cancer Dyspnea: A Preliminary Study. J. Pain Symptom Manag. 2005, 29, 613–618. [Google Scholar] [CrossRef]
 - Charles, M.A.; Reymond, L.; Israel, F. Relief of Incident Dyspnea in Palliative Cancer Patients: A Pilot, Randomized, Controlled Trial Comparing Nebulized Hydromorphone, Systemic Hydromorphone, and Nebulized Saline. J. Pain Symptom Manag. 2008, 36, 29–38. [Google Scholar] [CrossRef] [PubMed]
 - Mazzocato, C.; Buclin, T.; Rapin, C.H. The Effects of Morphine on Dyspnea and Ventilatory Function in Elderly Patients with Advanced Cancer: A Randomized Double-Blind Controlled Trial. Ann. Oncol. 1999, 10, 1511–1514. [Google Scholar] [CrossRef]
 - Navigante, A.H.; Castro, M.A.; Cerchietti, L.C.C. Morphine versus Midazolam as Upfront Therapy to Control Dyspnea Perception in Cancer Patients While Its Underlying Cause Is Sought or Treated. J. Pain Symptom Manag. 2010, 39, 820–830. [Google Scholar] [CrossRef]
 - Pinna, M.Á.C.; Bruera, E.; Moralo, M.J.R.; Correas, M.Á.S.; Vargas, R.M. A Randomized Crossover Clinical Trial to Evaluate the Efficacy of Oral Transmucosal Fentanyl Citrate in the Treatment of Dyspnea on Exertion in Patients with Advanced Cancer. Am. J. Hosp. Palliat. Care 2015, 32, 298–304. [Google Scholar] [CrossRef] [PubMed]
 - Mori, M.; Kawaguchi, T.; Imai, K.; Yokomichi, N.; Yamaguchi, T.; Suzuki, K.; Matsunuma, R.; Watanabe, H.; Maeda, I.; Matsumoto, Y.; et al. Visualizing How to Use Parenteral Opioids for Terminal Cancer Dyspnea: A Pilot, Multicenter, Prospective, Observational Study. J. Pain Symptom Manag. 2021, 62, 936–948. [Google Scholar] [CrossRef]
 - Morgan, J.P. American Opiophobia. Adv. Alcohol Subst. Abus. 1985, 5, 163–172. [Google Scholar] [CrossRef] [PubMed]
 - Gotay, C.C.; Kawamoto, C.T.; Bottomley, A.; Efficace, F. The Prognostic Significance of Patient-Reported Outcomes in Cancer Clinical Trials. J. Clin. Oncol. 2008, 26, 1355–1363. [Google Scholar] [CrossRef]
 - Luo, N.; Tan, S.; Li, X.; Singh, S.; Liu, S.; Chen, C.; Huang, Z.; Feng, S.; Lin, Y.; Lin, Y.; et al. Efficacy and Safety of Opioids in Treating Cancer-Related Dyspnea: A Systematic Review and Meta-Analysis Based on Randomized Controlled Trials. J. Pain Symptom Manag. 2021, 61, 198–210.e1. [Google Scholar] [CrossRef]
 - Abernethy, A.P.; Capell, W.H.; Aziz, N.M.; Ritchie, C.; Prince-Paul, M.; Bennett, R.E.; Kutner, J.S. Ethical Conduct of Palliative Care Research: Enhancing Communication Between Investigators and Institutional Review Boards. J. Pain Symptom Manag. 2014, 48, 1211. [Google Scholar] [CrossRef]
 - Addington-Hall, J.M.; Bruera, E.; Higginson, I.J.; Payne, S. Research Methods in Palliative Care; Oxford Academic: Oxford, UK, 2011; pp. 1–336. [Google Scholar] [CrossRef]
 - Rotaru, V.; Chitoran, E.; Cirimbei, C.; Cirimbei, S.; Simion, L. Preservation of Sensory Nerves During Axillary Lymphadenectomy. In Proceedings of the 35th Balkan Medical Week, Athens, Greece, 25–27 September 2018; Available online: https://www.webofscience.com/wos/woscc/full-record/WOS:000471903700045 (accessed on 20 July 2023).
 - Manea, E.; Chitoran, E.; Rotaru, V.; Ionescu, S.; Luca, D.; Cirimbei, C.; Alecu, M.; Capsa, C.; Gafton, B.; Prutianu, I.; et al. Integration of Ultrasound in Image-Guided Adaptive Brachytherapy in Cancer of the Uterine Cervix. Bioengineering 2024, 11, 506. [Google Scholar] [CrossRef] [PubMed]
 - Simion, L.; Rotaru, V.; Cirimbei, C.; Stefan, D.-C.; Gherghe, M.; Ionescu, S.; Tanase, B.C.; Luca, D.C.; Gales, L.N.; Chitoran, E. Analysis of Efficacy-To-Safety Ratio of Angiogenesis-Inhibitors Based Therapies in Ovarian Cancer: A Systematic Review and Meta-Analysis. Diagnostics 2023, 13, 1040. [Google Scholar] [CrossRef]
 - Chitoran, E.; Rotaru, V.; Mitroiu, M.-N.; Durdu, C.-E.; Bohiltea, R.-E.; Ionescu, S.-O.; Gelal, A.; Cirimbei, C.; Alecu, M.; Simion, L. Navigating Fertility Preservation Options in Gynecological Cancers: A Comprehensive Review. Cancers 2024, 16, 2214. [Google Scholar] [CrossRef]
 









| Parameter | Inclusion Criteria | 
|---|---|
| Participants | Adult cancer patients with refractory dyspnea | 
| Intervention | Opioids administered subcutaneous, intravenous, per oral, or transmucosal for dyspnea | 
| Comparison | Pharmacologic alternatives for dyspnea management—placebo or active control (benzodiazepines, other opioids) | 
| Outcomes | Relief of dyspnea, intensity of dyspnea Quality of life Respiratory rate, peripheral oxygen saturation Severe adverse effects, somnolence  | 
| Study design | Randomized controlled trials | 
| Study | Intervention | Sample Size | Study Design | Inclusion Criteria | Exclusion Criteria | Outcomes | ||||
|---|---|---|---|---|---|---|---|---|---|---|
| Dyspnea | Somnolence | SAE | Additional Outcomes | Summary of Findings | ||||||
| Bruera (1993) [30] | Mo sc vs. PL 34 ± 12 mg Mo Duration of intervention—48 h Washout period—24 h  | 10 | RCT, crossover,  PL controlled  | Progressive disease, conscious patients, normal cognition, rest dyspnea, receiving continuous oxygen 2 to 6 L/min, no information on location of patients (ICU/ward/hospice/home care) | NS | + | - | - | RR SaO2  | Mo administration was superior to PL (significantly lower VAS at 30, 45, 60 min after intervention). Intermittent Mo is safe and effective for the management of dyspnea in terminally ill cancer patients. | 
| Bruera (2005) [31] | Mo sc vs. Mo inhal Equivalent dosage as previous opioid used Same dose in both sc and nebulized phase  | 11 | RTC, crossover, double-blind, active controlled  | Rest cancer-related dyspnea, NRS ≥ 3/10 regular oral/parenteral opioids with no dose change for 72 h; normal cognition status; no information on location of patients (ICU/ward/hospice/home care) | Mo contraindications; Acute dyspnea due to pneumonia, embolism or congestive heart failure | + | + | + | NS | No significant changes in NRS at 60 min after intervention from baseline conditions | 
| Charles (2008) [32] | 5 mg nebulized/  systemic HiMo vs. 3 mg nebulized PL Duration of intervention—72 h  | 20 | RCT, crossover, double-blind  | Inpatient and community-based patients, >18 yo, diagnosis of cancer with a clinical prognosis of at least seven days, Mini-Mental State Examination scores > 24/30, incident dyspnea with non-reversible components on a background of either irreversible dyspnea at rest or development of dyspnea when they spoke | NS | + | - | - | RR SaO2  | Dyspnea decreased significantly for all treatments, with no significant difference in NRS change after intervention from baseline conditions. Only nebulized HiMo produced a rapid clinically significant improvement in dyspnea. | 
| Davis (1996) [28] | Nebulized Mo vs. PL 5–50 mg Mo vs. 5 mL saline Duration of intervention—2 days  | 79 | RCT, double-blind, crossover and stratified, PL controlled  | Adult patients with cancer with rest dyspnea and Rx. evidence of pleural effusion, lymphadenopathy, lymphangitis, carcinomatosis, or mass lesion(s); no information on location of patients (ICU/ward/hospice/home care) | Opioid intolerance Poor renal function  | + | - | - | NS | The results do not support the use of nebulized Mo for dyspnea in cancer patients (no significant VAS change)  | 
| Hui (2014) [24] | Fent sc vs. PL 30–350 mcg Fent equivalent to 15–25% of Mo MEDD vs. saline  | 20 | RCT, double-blind, parallel, PL controlled  | Ambulatory ≥ 18 yo patients with breakthrough dyspnea NRS ≥ 3/10, KPS score ≥ 50%, MEDD between 30–580 mg/day  | NRS ≥ 7/10, O2 need >6 L/min, delirium, allergy, substance abuse, coronary artery disease, tachycardia, or HTA  | + | - | - | 6MWT  Borg score RR SaO2  | No proper subgroup analysis, but a trend toward improvement of exertion dyspnea NRS after Fent sc was noted. Prophylactic Fent seems to be and improves dyspnea, fatigue, walk distance, and RR. | 
| Hui (2016) [23] | Fent tm vs. PL 100–400 mcg nebulized Fent pectin nasal spray (FPNS) equivalent to 15–25% of Mo MEDD vs. PL  | 24 | RCT, double-blind, parallel, PL controlled  | Ambulatory ≥ 18 yo patients  with breakthrough dyspnea NRS ≥ 3/10, KPS ≥ 50%, MEDD between 80–580 mg/day  | NRS ≥ 7/10, O2 need > 6 L/min, delirium, allergy, opioid abuse, unable to complete 6MWT  | + | + | - | 6MWT | No proper subgroup analysis, but a trend toward improvement of NRS after Fent tm at 20 min after intervention was noted. FPNS seemed safe, reduced rest dyspnea, and increased walking distance. However, the PL effect was also substantial.  | 
| Hui (2017) [25] | Fent tm vs. PL 100–200 mcg oral fentanyl buccal tablet (FBT) equivalent to 20–50% Mo MEDD vs. PL  | 20 | RCT, double-blind, parallel, PL controlled  | Ambulatory ≥ 18 yo patients  with breakthrough dyspnea NRS ≥ 3/10, KPS ≥ 50%, MEDD between 60–130 mg/d  | NRS ≥ 7/10, O2 need > 6 L/min, delirium, allergy, opioid abuse, unable to complete 6MWT  | + | + | - | 6MWT Borg score RR SaO2  | No significant difference between groups in NRS after a 6-min walk, but prophylactic FBT may offer a reduction of exertional dyspnea and is well-tolerated.  | 
| Mazzocato (1999) [33] | Mo sc vs. PL 5 mg Mo Duration of intervention—48 h Washout period—24 h  | 9 | RCT, crossover, double-blind, PL controlled  | Patients with cancer-related dyspnea, in the absence of brain tumors or acute respiratory decompensation; no information on location of patients (ICU/ward/hospice/home care)  | NS | + | + | - | Borg score RR SaO2  | Mo administration was superior to PL (significant greater change of VAS at 45 min after intervention); Mo seems to be effective for cancer-related dyspnea management.  | 
| Navigante (2006) [29] | Mo sc vs. midazolam sc vs. Mo + midazolam | 101 | RCT, single-blinded, active controlled | Patients with  terminal cancer ≥ 18 yo, with severe rest dyspnea, life expectancy of <1 month, Mini-Mental Status Exam > 23/30, ECOG = 4; no information on location of patients (ICU/ward/hospice/home care)  | COPD Renal/hepatic failure Congestive heart failure Uncontrolled symptoms  | + | + | + | Borg score | No significant difference in modified Borg score between groups at 24 and 48 h after interventions, but data seemed to suggest that the addition of midazolam to Mo may have beneficial effects in controlling baseline levels of dyspnea. | 
| Navigante (2010) [34] | Mo po vs. midazolam po 3 mg Mo vs. 2 mg midazolam, with an incremental step of 25% until reaching effective dose in both arms Duration of intervention—5 days  | 63 | RCT, single-blind, parallel, active controlled  | Ambulatory patients, ≥18 yo, Mini-Mental Status Examination score > 23/30, moderate/severe rest dyspnea  | COPD Severe renal/ hepatic failure NRS ≥ 3/10 SaO2 < 85%  | + | + | + | Adverse events | Midazolam administration was associated with better NRS and appeared to be the better option for the immediate and long-term relief of dyspnea | 
| Pinna (2015) [35] | Fent tm vs. PL 200–400 ug oral transmucosal fentanyl citrate (OTFC) vs. PL Duration of intervention: Noted as “depended on the study design” in the study. Washout period: >48 h  | 13 | RCT, double blind, crossover, PL controlled | Cancer patients in home care with moderate effort dyspnea, KPS ≥ 50%, hemoglobin >10 mg/dL, SaO2 > 90%  | COPD | + | - | + | 6MWT SaO2  | No significant difference in NRS between groups at any time measured A significant PL effect was observed in all the patients  | 
| Simon (2016) [26] | Mo po vs. Fent tm Oral immediate-release morphine 1/6 DOME vs. 100–600 ug oral Fent buccal tablet Duration of intervention: 10 days; washout period: 24 h  | 10 | RCT, multicenter, open-label, active-controlled, crossover  | ≥18 yo, NRS ≥ 3/10, opioid tolerant, no information on location of patients (ICU/ward/hospice/home care)  | Uncontrolled dyspnea, severe renal/hepatic impairment, opioid abuse  | + | - | - | RR SaO2  | No significant difference in NRS change from baseline between groups at 10 and 30 min after intervention but a faster and greater relief of episodic was observed with Fent; no safety concerns in any arm.  | 
| Yamaguchi (2018) [27] | Mo po vs. Oxy po 18.89 ± 15.23 mg Mo vs. 5.31 ± 4.91 mg Oxy  | 17 | RCT, multicenter, open-label, parallel-group  | Cancer patients in palliative care units, ≥20 yo, with malignant disease; regular use of Oxy; moderate/ severe rest dyspnea; SaO2 > 90%; no cognitive impairment  | Hg < 7 g/dL; organ dysfunction; uncontrolled pain; life expectancy of <1 month, allergy, bacterial colitis, rescue opioids < 9 h prior; regular opioids use other than Oxy  | + | + | - | RR SaO2  | No significant difference in NRS change from baseline between groups at 60 and 120 min after intervention. The study failed to prove the non-inferiority of Oxy when compared to Mo, and Oxy may be effective and safe for cancer-related dyspnea management.  | 
| Subgroup Analysis | Variable for  Subgroup Analysis  | Nr. of Studies | Nr. of Patients Opioids/Control  | I2 | SMD [95% CI] | p-Value | 
|---|---|---|---|---|---|---|
| Opioid type | Morphine | 2 | 19/19 | 0% | −0.78 [−1.45, −0.10] | 0.02 | 
| Fentanyl | 4 | 42/44 | 17% | −0.37 [−0.81, 0.06] | 0.09 | |
| Hydromorphone | 1 | 20/20 | NA | −0.27 [−0.89, 0.35] | 0.4 | |
| Administration  modality  | Subcutaneous | 3 | 29/29 | 0% | −0.73 [−1.27, −0.19] | 0.008 | 
| Nebulized/Inhalation | 1 | 20/20 | NA | −0.27 [−0.89, 0.35] | 0.4 | |
| Transmucosal | 3 | 32/34 | 37% | −0.29 [−0.79, 0.20] | 0.24 | |
| Type of dyspnea | Rest dyspnea | 3 | 39/39 | 73% | −8.28 [−21.03, 4.47] | 0.2 | 
| Exertional dyspnea | 4 | 42/34 | 14% | −1.00 [−1.98, −0.03] | 0.04 | 
Disclaimer/Publisher’s Note: The statements, opinions and data contained in all publications are solely those of the individual author(s) and contributor(s) and not of MDPI and/or the editor(s). MDPI and/or the editor(s) disclaim responsibility for any injury to people or property resulting from any ideas, methods, instructions or products referred to in the content.  | 
© 2025 by the authors. Licensee MDPI, Basel, Switzerland. This article is an open access article distributed under the terms and conditions of the Creative Commons Attribution (CC BY) license (https://creativecommons.org/licenses/by/4.0/).
Share and Cite
Chitoran, E.; Rotaru, V.; Gullo, G.; Mosoiu, D.V.; Simion, L. A Systematic Review and Meta-Analysis on Opioid Management of Dyspnea in Cancer Patients. Cancers 2025, 17, 1368. https://doi.org/10.3390/cancers17081368
Chitoran E, Rotaru V, Gullo G, Mosoiu DV, Simion L. A Systematic Review and Meta-Analysis on Opioid Management of Dyspnea in Cancer Patients. Cancers. 2025; 17(8):1368. https://doi.org/10.3390/cancers17081368
Chicago/Turabian StyleChitoran, Elena, Vlad Rotaru, Giuseppe Gullo, Daniela Viorica Mosoiu, and Laurentiu Simion. 2025. "A Systematic Review and Meta-Analysis on Opioid Management of Dyspnea in Cancer Patients" Cancers 17, no. 8: 1368. https://doi.org/10.3390/cancers17081368
APA StyleChitoran, E., Rotaru, V., Gullo, G., Mosoiu, D. V., & Simion, L. (2025). A Systematic Review and Meta-Analysis on Opioid Management of Dyspnea in Cancer Patients. Cancers, 17(8), 1368. https://doi.org/10.3390/cancers17081368
        
