An International Inter-Consortium Validation of Knowledge-Based Plan Prediction Modeling for Whole Breast Radiotherapy Treatment
Simple Summary
Abstract
1. Introduction
2. Materials and Methods
2.1. KB Model Definition, Model Set Criteria, and Intra-Consortium Validation
2.2. Comparison of the Intra- and Inter-Consortium Models’ Prediction Variability and Transferability
2.3. Terminology and Analysis Context
- -
- Patient-level clinical variability: Spread of delivered clinical DVH metrics within a cohort (anatomy, geometry, and practice effects; summarized by mean value and SD).
- -
- Prediction residual variability: Dispersion of Δ = clinical − predicted; reported within accuracy bands (±2 Gy mean dose; ±5% V20 Gy) and tail checks.
- -
- Model-to-model variability: For each patient, spread of predictions across the 10 site-specific models, aggregated to quantify dependence on model provenance/training distribution.
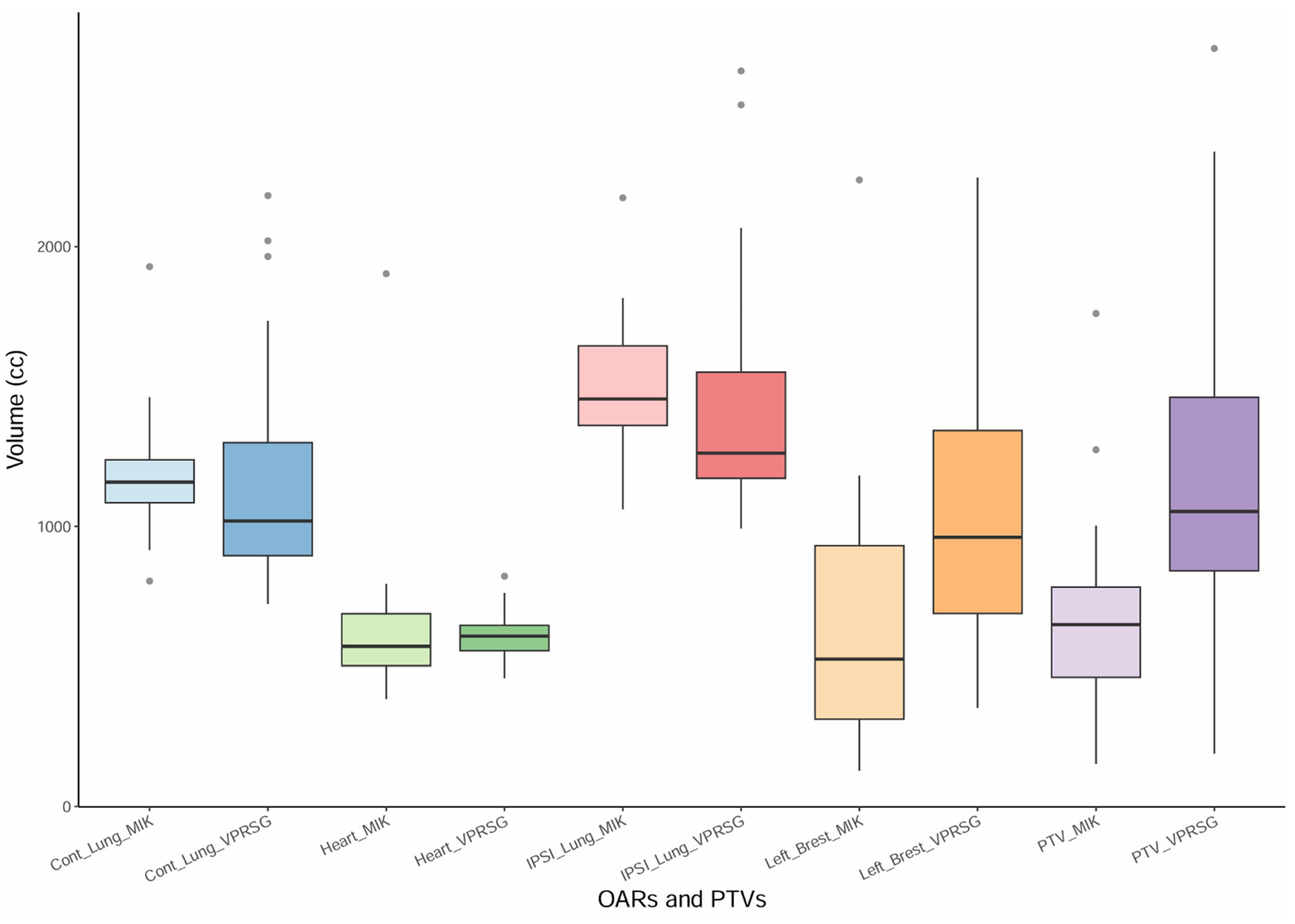
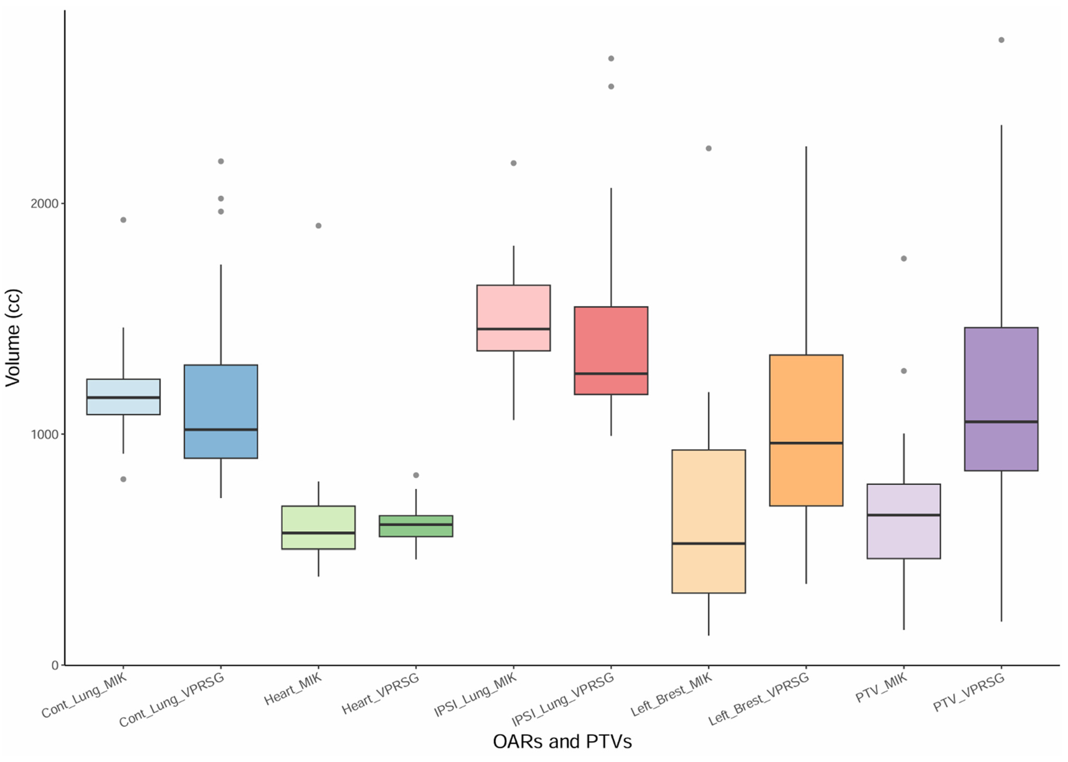
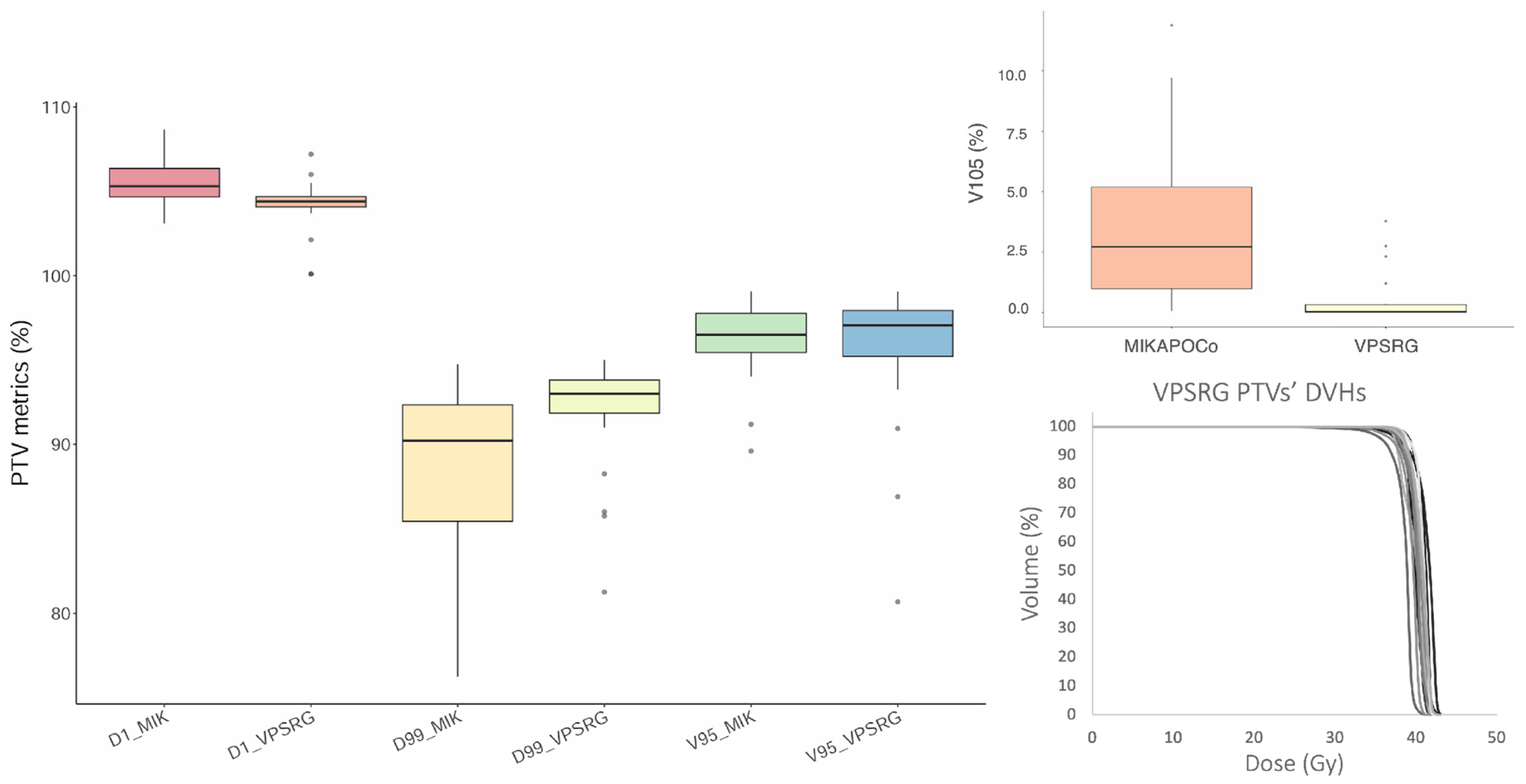
3. Results
4. Discussion
5. Conclusions
Supplementary Materials
Author Contributions
Funding
Institutional Review Board Statement
Informed Consent Statement
Data Availability Statement
Acknowledgments
Conflicts of Interest
Abbreviations
| KB | Knowledge-based |
| RWB-TF | Right Whole Breast Tangential Field |
| IPSI | Ipsilateral (nel contesto: polmone ipsilaterale) |
| PC1 | First Principal Component |
| cDVH | Clinical Dose–Volume Histogram |
| DVH | Dose–Volume Histogram |
| PTV | Planning Target Volume |
| CTV | Clinical Target Volume |
| OARs | Organs At Risk |
| RT | Radiotherapy |
| FiF | Field-in-Field |
| RP | RapidPlan |
| PCA | Principal Component Analysis |
| SD | Standard Deviation |
| V20 Gy | Volume of an organ receiving at least 20 Gy |
| WB | Whole Breast |
| VPSRG | Victorian Public Sector RapidPlan Group |
| MIKAPOCo | Multi-Institutional Knowledge-based Approach for Planning Optimization for the Community |
| AIRC | Associazione Italiana per la Ricerca sul Cancro |
References
- Breast Cancer Burden in EU-27. Available online: https://ecis.jrc.ec.europa.eu/sites/default/files/2023-12/Breast_cancer_en-Dec_2020.pdf (accessed on 27 October 2025).
- Early Breast Cancer Trialists’ Collaborative Group. Effect of radiotherapy after breast-conserving surgery on 10-year recurrence and 15-year breast cancer death: Meta-analysis of individual patient data for 10,801 women in 17 randomised trials. Lancet 2011, 378, 1707–1716. [Google Scholar] [CrossRef]
- Moore, K.L. Automated Radiotherapy Treatment Planning. Semin. Radiat. Oncol. 2019, 29, 209–218. [Google Scholar] [CrossRef]
- Meattini, I.; Becherini, C.; Boersma, L.; Kaidar-Person, O.; Marta, G.N.; Montero, A.; Offersen, B.V.; Aznar, M.C.; Belka, C.; Brunt, A.M.; et al. European Society for Radiotherapy and Oncology Advisory Committee in Radiation Oncology Practice consensus recommendations on patient selection and dose and fractionation for external beam radiotherapy in early breast cancer. Lancet Oncol. 2022, 23, e21–e31. [Google Scholar] [CrossRef] [PubMed]
- Krug, D.; Baumann, R.; Combs, S.E.; Duma, M.N.; Dunst, J.; Feyer, P.; Fietkau, R.; Haase, W.; Harms, W.; Hehr, T.; et al. Moderate hypofractionation remains the standard of care for whole-breast radiotherapy in breast cancer: Considerations regarding FAST and FAST-Forward. Strahlenther. Onkol. 2021, 197, 269–280. [Google Scholar] [CrossRef]
- Hussein, M.; Heijmen, B.J.M.; Verellen, D.; Nisbet, A. Automation in intensity modulated radiotherapy treatment planning—A review of recent innovations. Br. J. Radiol. 2018, 91, 20180270. [Google Scholar] [CrossRef] [PubMed]
- Scaggion, A.; Fusella, M.; Roggio, A.; Bacco, S.; Pivato, N.; Rossato, M.A.; Peña, L.M.A.; Paiusco, M. Reducing inter- and intra-planner variability in radiotherapy plan output with a commercial knowledge-based planning solution. Phys. Med. 2018, 53, 86–93. [Google Scholar] [CrossRef] [PubMed]
- Apaza Blanco, O.A.; Almada, M.J.; Garcia Andino, A.A.; Zunino, S.; Venencia, D. Knowledge-Based Volumetric Modulated Arc Therapy Treatment Planning for Breast Cancer. J. Med. Phys. 2021, 46, 334–340. [Google Scholar] [CrossRef]
- Cao, W.; Gronberg, M.; Olanrewaju, A.; Whitaker, T.; Hoffman, K.; Cardenas, C.; Garden, A.; Skinner, H.; Beadle, B.; Court, L. Knowledge-based planning for the radiation therapy treatment plan quality assurance for patients with head and neck cancer. J. Appl. Clin. Med. Phys. 2022, 23, e13614. [Google Scholar] [CrossRef]
- Harms, J.; Pogue, J.A.; Cardenas, C.E.; Stanley, D.N.; Cardan, R.; Popple, R. Automated evaluation for rapid implementation of knowledge-based radiotherapy planning models. J. Appl. Clin. Med. Phys. 2023, 24, e14152. [Google Scholar] [CrossRef]
- Hernandez, V.; Hansen, C.R.; Widesott, L.; Bäck, A.; Canters, R.; Fusella, M.; Götstedt, J.; Jurado-Bruggeman, D.; Mukumoto, N.; Kaplan, L.P. What is plan quality in radiotherapy? The importance of evaluating dose metrics, complexity, and robustness of treatment plans. Radiother. Oncol. 2020, 153, 26–33. [Google Scholar] [CrossRef]
- Kaplan, L.P.; Placidi, L.; Bäck, A.; Canters, R.; Hussein, M.; Vaniqui, A.; Fusella, M.; Piotrowski, T.; Hernandez, V.; Jornet, N.; et al. Plan quality assessment in clinical practice: Results of the 2020 ESTRO survey on plan complexity and robustness. Radiother. Oncol. 2022, 173, 254–261. [Google Scholar] [CrossRef]
- Fogliata, A.; Cozzi, L.; Reggiori, G.; Stravato, A.; Lobefalo, F.; Franzese, C.; Franceschini, D.; Tomatis, S.; Scorsetti, M. RapidPlan knowledge based planning: Iterative learning process and model ability to steer planning strategies. Radiother. Oncol. 2019, 14, 187. [Google Scholar] [CrossRef]
- Kaderka, R.; Hild, S.J.; Bry, V.N.; Cornell, M.; Ray, X.J.; Murphy, J.D.; Atwood, T.F.; Moore, K.L. Wide-Scale Clinical Implementation of Knowledge-Based Planning: An Investigation of Workforce Efficiency, Need for Post-automation Refinement, and Data-Driven Model Maintenance. Int. J. Radiat. Oncol. Biol. Phys. 2021, 111, 705–715. [Google Scholar] [CrossRef]
- Scaggion, A.; Fusella, M.; Cavinato, S.; Dusi, F.; El Khouzai, B.; Germani, A.; Pivato, N.; Rossato, M.A.; Roggio, A.; Scott, A.; et al. Updating a clinical Knowledge-Based Planning prediction model for prostate radiotherapy. Phys. Med. 2023, 107, 102542. [Google Scholar] [CrossRef] [PubMed]
- Guo, H.; Kunkyab, T.; Lei, Y.; Rosenzweig, K.; Samstein, R.; Chao, M.; Liu, T.; Xia, J.; Zhang, J. PlanAct: An eclipse scripting API-based module embedding clinical optimization strategies for automated planning in locally advanced non-small cell lung cancer. J. Appl. Clin. Med. Phys. 2025, 26, e70304. [Google Scholar] [CrossRef]
- Tol, J.P.; Doornaert, P.; Witte, B.I.; Dahele, M.; Slotman, B.J.; Verbakel, W.F.A.R. A longitudinal evaluation of improvements in radiotherapy treatment plan quality for head and neck cancer patients. Radiother. Oncol. 2016, 119, 337–343. [Google Scholar] [CrossRef] [PubMed]
- Rago, M.; Placidi, L.; Polsoni, M.; Rambaldi, G.; Cusumano, D.; Greco, F.; Indovina, L.; Menna, S.; Placidi, E.; Stimato, G.; et al. Evaluation of a generalized knowledge-based planning performance for VMAT irradiation of breast and locoregional lymph nodes-Internal mammary and/or supraclavicular regions. PLoS ONE 2021, 16, e0245305. [Google Scholar] [CrossRef] [PubMed]
- Castriconi, R.; Esposito, P.G.; Tudda, A.; Mangili, P.; Broggi, S.; Fodor, A.; Deantoni, C.L.; Longobardi, B.; Pasetti, M.; Perna, L.; et al. Replacing Manual Planning of Whole Breast Irradiation with Knowledge-Based Automatic Optimization by Virtual Tangential-Fields Arc Therapy. Front. Oncol. 2021, 11, 712423. [Google Scholar] [CrossRef]
- Sinha, S.; Kumar, A.; Maheshwari, G.; Mohanty, S.; Joshi, K.; Shinde, P.; Gupta, D.; Kale, S.; Phurailatpam, R.; Swain, M.; et al. Development and Validation of Single-Optimization Knowledge-Based Volumetric Modulated Arc Therapy Model Plan in Nasopharyngeal Carcinomas. Adv. Radiat. Oncol. 2024, 9, 101311. [Google Scholar] [CrossRef]
- Kaderka, R.; Dogan, N.; Jin, W.; Bossart, E. Effects of model size and composition on quality of head-and-neck knowledge-based plans. J. Appl. Clin. Med. Phys. 2024, 25, e14168. [Google Scholar] [CrossRef]
- Pallotta, S.; Marrazzo, L.; Calusi, S.; Castriconi, R.; Fiorino, C.; Loi, G.; Fiandra, C. Implementation of automatic plan optimization in Italy: Status and perspectives. Phys. Med. 2021, 92, 86–94. [Google Scholar] [CrossRef]
- Berry, S.L.; Ma, R.; Boczkowski, A.; Jackson, A.; Zhang, P.; Hunt, M. Evaluating inter-campus plan consistency using a knowledge based planning model. Radiother. Oncol. 2016, 120, 349–355. [Google Scholar] [CrossRef]
- Schubert, C.; Waletzko, O.; Weiss, C.; Voelzke, D.; Toperim, S.; Roeser, A.; Puccini, S.; Piroth, M.; Mehrens, C.; Kueter, J.-D.; et al. Intercenter validation of a knowledge based model for automated planning of volumetric modulated arc therapy for prostate cancer. The experience of the German RapidPlan Consortium. PLoS ONE 2017, 12, e0178034. [Google Scholar] [CrossRef]
- Ueda, Y.; Fukunaga, J.I.; Kamima, T.; Shimizu, Y.; Kubo, K.; Doi, H.; Monzen, H. Standardization of knowledge-based volumetric modulated arc therapy planning with a multi-institution model (broad model) to improve prostate cancer treatment quality. Phys. Eng. Sci. Med. 2023, 46, 1091–1100. [Google Scholar] [CrossRef]
- Kamima, T.; Ueda, Y.; Fukunaga, J.-I.; Shimizu, Y.; Tamura, M.; Ishikawa, K.; Monzen, H. Multi-institutional evaluation of knowledge-based planning performance of volumetric modulated arc therapy (VMAT) for head and neck cancer. Phys. Med. 2019, 64, 174–181. [Google Scholar] [CrossRef]
- Panettieri, V.; Ball, D.; Chapman, A.; Cristofaro, N.; Gawthrop, J.; Griffin, P.; Herath, S.; Hoyle, S.; Jukes, L.; Kron, T.; et al. Development of a multicentre automated model to reduce planning variability in radiotherapy of prostate cancer. Phys. Imaging Radiat. Oncol. 2019, 11, 34–40. [Google Scholar] [CrossRef] [PubMed]
- Tudda, A.; Castriconi, R.; Benecchi, G.; Cagni, E.; Cicchetti, A.; Dusi, F.; Esposito, P.G.; Guernieri, M.; Ianiro, A.; Landoni, V.; et al. Knowledge-based multi-institution plan prediction of whole breast irradiation with tangential fields. Radiother. Oncol. 2022, 175, 10–16. [Google Scholar] [CrossRef] [PubMed]
- Zhao, T.; Beckert, R.; Hilliard, J.; Laugeman, E.; Hao, Y.; Hunerkoch, K.; Miller, K.; Brunt, L.; Hong, D.; Schiff, J.; et al. An In Silico study of a One-Day One-Machine Workflow for Definitive Radiotherapy Cases on a Novel Simulation and Treatment Platform. Int. J. Radiat. Oncol. Biol. Phys. 2023, 117 (Suppl. S2), e749. [Google Scholar] [CrossRef]
- Villaggi, E.; Hernandez, V.; Fusella, M.; Moretti, E.; Russo, S.; Vaccara, E.M.L.; Nardiello, B.; Esposito, M.; Saez, J.; Cilla, S.; et al. Plan quality improvement by DVH sharing and planner’s experience: Results of a SBRT multicentric planning study on prostate. Phys. Med. 2019, 62, 73–82. [Google Scholar] [CrossRef]
- Matrosic, C.K.; Dess, K.; Boike, T.; Dominello, M.; Dryden, D.; Fraser, C.; Grubb, M.; Hayman, J.; Jarema, D.; Marsh, R.; et al. Knowledge-Based Quality Assurance and Model Maintenance in Lung Cancer Radiation Therapy in a Statewide Quality Consortium of Academic and Community Practice Centers. Pract. Radiat. Oncol. 2023, 13, e200–e208. [Google Scholar] [CrossRef]
- Pogue, J.A.; Cardenas, C.E.; Harms, J.; Soike, M.H.; Kole, A.J.; Schneider, C.S.; Veale, C.; Popple, R.; Belliveau, J.-G.; McDonald, A.M.; et al. Benchmarking Automated Machine Learning-Enhanced Planning with Ethos Against Manual and Knowledge-Based Planning for Locally Advanced Lung Cancer. Adv. Radiat. Oncol. 2023, 8, 101292. [Google Scholar] [CrossRef] [PubMed]
- Habraken, S.J.M.; Sharfo, A.W.M.; Buijsen, J.; Verbakel, W.F.A.R.; Haasbeek, C.J.A.; Öllers, M.C.; Westerveld, H.; van Wieringen, N.; Reerink, N.; Seravalli, E.; et al. The TRENDY multi-center randomized trial on hepatocellular carcinoma—Trial QA including automated treatment planning and benchmark-case results. Radiother. Oncol. 2017, 125, 507–513. [Google Scholar] [CrossRef]
- Martin, J.M.; Sidhom, M.; Banyer, P.; Porter, S.; Moore, A.J.; Cook, O.M. Implementation of Knowledge-Based Planning as a Quality Assurance Feedback Tool for a Multicentre Prostate Clinical Trial (TROG 18.01 NINJA). Int. J. Radiat. Oncol. Biol. Phys. 2025, 123 (Suppl. S1), S200–S201. [Google Scholar] [CrossRef]
- van Gysen, K.; Kneebone, A.; Le, A.; Wu, K.; Haworth, A.; Bromley, R.; Hruby, G.; O’Toole, J.; Booth, J.; Brown, C.; et al. Evaluating the utility of knowledge-based planning for clinical trials using the TROG 08.03 post prostatectomy radiation therapy planning data. Phys. Imaging Radiat. Oncol. 2022, 22, 91–97. [Google Scholar] [CrossRef]
- Moore, K.L.; Schmidt, R.; Moiseenko, V.; Olsen, L.A.; Tan, J.; Xiao, Y.; Galvin, J.; Pugh, S.; Seider, M.J.; Dicker, A.P.; et al. Quantifying Unnecessary Normal Tissue Complication Risks due to Suboptimal Planning: A Secondary Study of RTOG 0126. Int. J. Radiat. Oncol. Biol. Phys. 2015, 92, 228–235. [Google Scholar] [CrossRef] [PubMed]
- Good, D.; Lo, J.; Lee, W.R.; Wu, Q.J.; Yin, F.-F.; Das, S.K. A knowledge-based approach to improving and homogenizing intensity modulated radiation therapy planning quality among treatment centers: An example application to prostate cancer planning. Int. J. Radiat. Oncol. Biol. Phys. 2013, 87, 176–181. [Google Scholar] [CrossRef]
- Frizzelle, M.; Pediaditaki, A.; Thomas, C.; South, C.; Vanderstraeten, R.; Wiessler, W.; Adams, E.; Jagadeesan, S.; Lalli, N. Using multi-centre data to train and validate a knowledge-based model for planning radiotherapy of the head and neck. Phys. Imaging Radiat. Oncol. 2022, 21, 18–23. [Google Scholar] [CrossRef]
- Li, N.; Carmona, R.; Sirak, I.; Kasaova, L.; Followill, D.; Michalski, J.; Bosch, W.; Straube, W.; Mell, L.K.; Moore, K.L. Highly Efficient Training, Refinement, and Validation of a Knowledge-based Planning Quality-Control System for Radiation Therapy Clinical Trials. Int. J. Radiat. Oncol. Biol. Phys. 2017, 97, 164–172. [Google Scholar] [CrossRef]
- Younge, K.C.; Marsh, R.B.; Owen, D.; Geng, H.; Xiao, Y.; Spratt, D.E.; Foy, J.; Suresh, K.; Wu, Q.J.; Yin, F.-F.; et al. Improving Quality and Consistency in NRG Oncology Radiation Therapy Oncology Group 0631 for Spine Radiosurgery via Knowledge-Based Planning. Int. J. Radiat. Oncol. Biol. Phys. 2018, 100, 1067–1074. [Google Scholar] [CrossRef]
- Jain, J.; Serban, M.; Assenholt, M.S.; Hande, V.; Swamida, J.; Seppenwoolde, Y.; Alfieri, J.; Tanderup, K.; Chopra, S. Can knowledge-based planning models validated on ethnically diverse patients lead to global standardisation of external beam radiation therapy for locally advanced cervix cancer? Radiother. Oncol. J. Eur. Soc. Ther. Radiol. Oncol. 2025, 204, 110694. [Google Scholar] [CrossRef] [PubMed]
- Hussein, M.; South, C.P.; Barry, M.A.; Adams, E.J.; Jordan, T.J.; Stewart, A.J.; Nisbet, A. Clinical validation and benchmarking of knowledge-based IMRT and VMAT treatment planning in pelvic anatomy. Radiother. Oncol. 2016, 120, 473–479. [Google Scholar] [CrossRef]
- Tudda, A.; Castriconi, R.; Placidi, L.; Benecchi, G.; Buono, R.C.; Cagni, E.; Cicchetti, A.; Landoni, V.; Malatesta, T.; Mazzilli, A.; et al. Multi-institutional Knowledge-Based (KB) plan prediction benchmark models for whole breast irradiation. Phys. Med. 2025, 130, 104889. [Google Scholar] [CrossRef]
- Ueda, Y.; Fukunaga, J.-I.; Kamima, T.; Adachi, Y.; Nakamatsu, K.; Monzen, H. Evaluation of multiple institutions’ models for knowledge-based planning of volumetric modulated arc therapy (VMAT) for prostate cancer. Radiat. Oncol. 2018, 13, 46. [Google Scholar] [CrossRef]
- Kavanaugh, J.A.; Holler, S.; DeWees, T.A.; Robinson, C.G.; Bradley, J.D.; Iyengar, P.; Higgins, K.A.; Mutic, S.; Olsen, L.A. Multi-Institutional Validation of a Knowledge-Based Planning Model for Patients Enrolled in RTOG 0617: Implications for Plan Quality Controls in Cooperative Group Trials. Pract. Radiat. Oncol. 2019, 9, e218–e227. [Google Scholar] [CrossRef] [PubMed]
- Castriconi, R.; Tudda, A.; Placidi, L.; Benecchi, G.; Cagni, E.; Dusi, F.; Ianiro, A.; Landoni, V.; Malatesta, T.; Mazzilli, A.; et al. Inter-institutional variability of knowledge-based plan prediction of left whole breast irradiation. Physica Medica 2024, 120, 103331. [Google Scholar] [CrossRef] [PubMed]
- Esposito, P.G.; Castriconi, R.; Mangili, P.; Fodor, A.; Pasetti, M.; Di Muzio, N.G.; Del Vecchio, A.; Fiorino, C. Virtual Tangential-fields Arc Therapy (ViTAT) for whole breast irradiation: Technique optimization and validation. Phys Med. 2020, 77, 160–168. [Google Scholar] [CrossRef] [PubMed]





| OAR | Mean Doseint ± SDint (Gy) | Δ (VPSRG − MIKAPOCo) | p Value (Welch t, Two-Side) | |
|---|---|---|---|---|
| MIKAPOCo | VPSRG | |||
| Heart | 0.39 ± 0.17 | 0.59 ± 0.31 | +0.2 | 0.095 |
| Contralateral breast | 0.26 ± 0.10 | 0.47 ± 0.31 | +0.21 | 0.025 |
| Ipsilateral lung | 5.39 ± 0.55 | 5.57 ± 1.13 | +0.18 | 0.658 |
| Contralateral lung | 0.12 ± 0.04 | 0.36 ± 1.13 | +0.24 | 0.021 |
Disclaimer/Publisher’s Note: The statements, opinions and data contained in all publications are solely those of the individual author(s) and contributor(s) and not of MDPI and/or the editor(s). MDPI and/or the editor(s) disclaim responsibility for any injury to people or property resulting from any ideas, methods, instructions or products referred to in the content. |
© 2025 by the authors. Licensee MDPI, Basel, Switzerland. This article is an open access article distributed under the terms and conditions of the Creative Commons Attribution (CC BY) license (https://creativecommons.org/licenses/by/4.0/).
Share and Cite
Placidi, L.; Griffin, P.; Castriconi, R.; Tudda, A.; Benecchi, G.; Burns, M.; Cagni, E.; Markham, C.; Landoni, V.; Moretti, E.; et al. An International Inter-Consortium Validation of Knowledge-Based Plan Prediction Modeling for Whole Breast Radiotherapy Treatment. Cancers 2025, 17, 3576. https://doi.org/10.3390/cancers17213576
Placidi L, Griffin P, Castriconi R, Tudda A, Benecchi G, Burns M, Cagni E, Markham C, Landoni V, Moretti E, et al. An International Inter-Consortium Validation of Knowledge-Based Plan Prediction Modeling for Whole Breast Radiotherapy Treatment. Cancers. 2025; 17(21):3576. https://doi.org/10.3390/cancers17213576
Chicago/Turabian StylePlacidi, Lorenzo, Peter Griffin, Roberta Castriconi, Alessia Tudda, Giovanna Benecchi, Mark Burns, Elisabetta Cagni, Cathy Markham, Valeria Landoni, Eugenia Moretti, and et al. 2025. "An International Inter-Consortium Validation of Knowledge-Based Plan Prediction Modeling for Whole Breast Radiotherapy Treatment" Cancers 17, no. 21: 3576. https://doi.org/10.3390/cancers17213576
APA StylePlacidi, L., Griffin, P., Castriconi, R., Tudda, A., Benecchi, G., Burns, M., Cagni, E., Markham, C., Landoni, V., Moretti, E., Oliviero, C., Guidasci, G. R., Meffe, G., Rancati, T., Scaggion, A., McGoldrick, K., Panettieri, V., & Fiorino, C. (2025). An International Inter-Consortium Validation of Knowledge-Based Plan Prediction Modeling for Whole Breast Radiotherapy Treatment. Cancers, 17(21), 3576. https://doi.org/10.3390/cancers17213576

