Real-World Evidence of Regorafenib Dose Escalation Versus Fixed Dosing in Refractory Metastatic Colorectal Cancer: Results from the ReTrITA Study
Simple Summary
Abstract
1. Introduction
2. Patients and Methods
2.1. Study Overview
2.2. Outcome Parameters
2.3. Drug Administration
2.4. Statistical Analysis
2.5. Ethical Approval
3. Results
3.1. Patient Characteristics
3.2. Survival Outcomes
3.3. Summary of Efficacy Outcomes
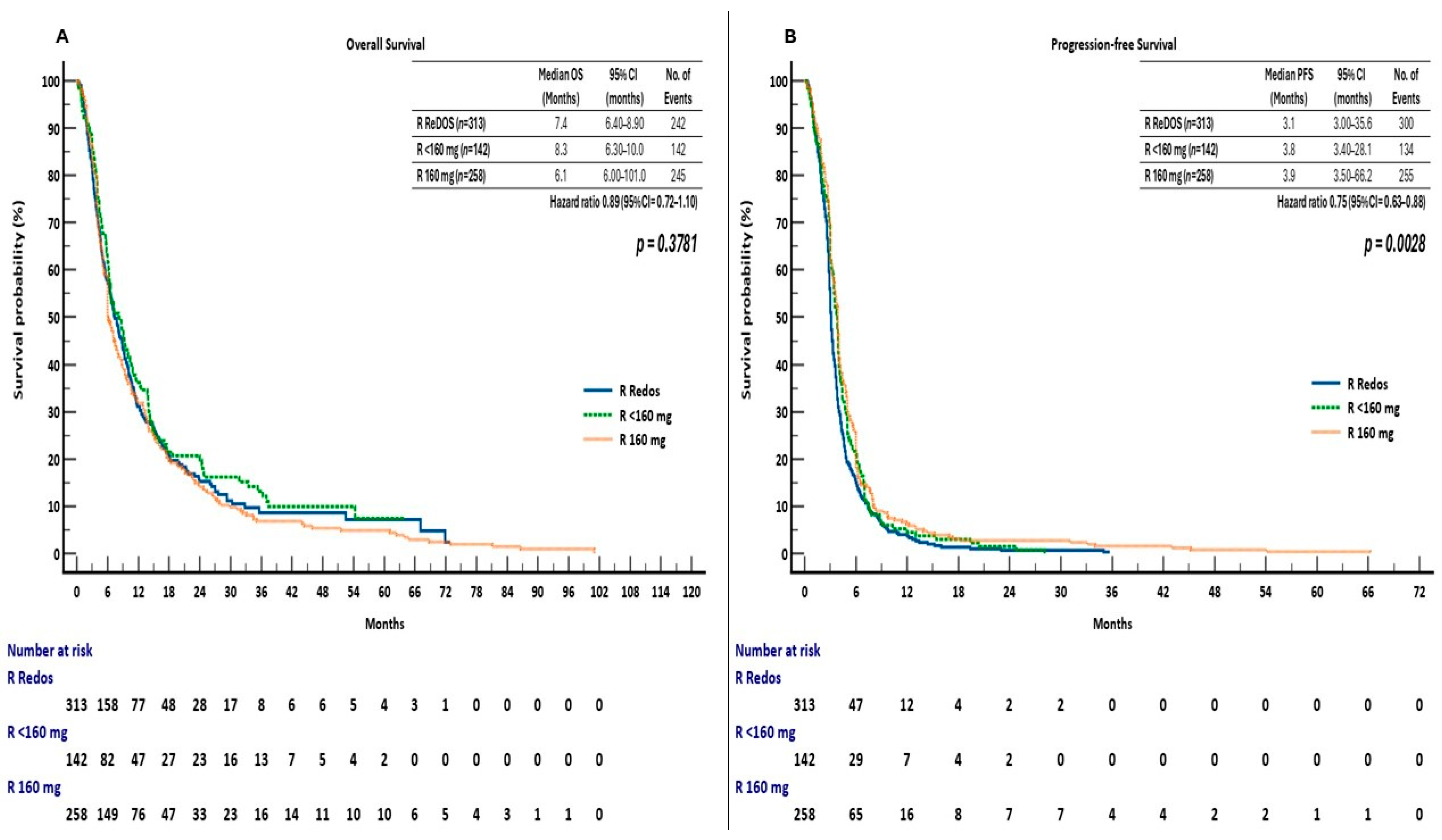
3.4. Comparative Analysis of Subgroups Survival
3.4.1. Overall Survival (OS)
3.4.2. Progression-Free Survival (PFS)
3.5. Survival Outcomes by Initial Regorafenib Dosing Strategy
4. Safety
5. Discussion
6. Conclusions
Author Contributions
Funding
Institutional Review Board Statement
Informed Consent Statement
Data Availability Statement
Conflicts of Interest
References
- World Health Organization. Colorectal Cancer—WHO Fact Sheet. 2024. Available online: https://www.who.int/news-room/fact-sheets/detail/colorectal-cancer (accessed on 12 October 2025).
- Sung, H.; Ferlay, J.; Siegel, R.L.; Laversanne, M.; Soerjomataram, I.; Jemal, A.; Bray, F. Global Cancer Statistics 2020: GLOBOCAN Estimates of Incidence and Mortality Worldwide for 36 Cancers in 185 Countries. CA Cancer J. Clin. 2021, 71, 209–249. [Google Scholar] [CrossRef] [PubMed]
- NCCN Clinical Practice Guidelines in Oncology (NCCN Guidelines®) Colon Cancer Version 4.2025—27 June 2025. Available online: www.nccn.org/professionals/physician_gls/pdf/colon.pdf (accessed on 19 September 2025).
- National Cancer Institute. Cancer Stat Facts: Colorectal Cancer. Available online: https://seer.cancer.gov/statfacts/html/colorect.html (accessed on 19 September 2025).
- Cervantes, A.; Adam, R.; Roselló, S.; Arnold, D.; Normanno, N.; Taïeb, J.; Seligmann, J.; De Baere, T.; Osterlund, P.; Yoshino, T.; et al. Metastatic colorectal cancer: ESMO Clinical Practice Guideline for diagnosis, treatment and follow-up. Ann. Oncol. 2023, 34, 10–32. [Google Scholar] [CrossRef] [PubMed]
- Siegel, R.L.; Kratzer, T.B.; Giaquinto, A.N.; Sung, H.; Jemal, A. Cancer statistics, 2025. CA Cancer J Clin. 2025, 75, 10–45. [Google Scholar] [CrossRef] [PubMed] [PubMed Central]
- Casadei-Gardini, A.; Vagheggini, A.; Gelsomino, F.; Spallanzani, A.; Ulivi, P.; Orsi, G.; Rovesti, G.; Andrikou, K.; Tamburini, E.; Scartozzi, M.; et al. Is There an Optimal Choice in Refractory Colorectal Cancer? A Network Meta-Analysis. Clin. Colorectal Cancer 2020, 19, 82–90.e9. [Google Scholar] [CrossRef] [PubMed]
- Lam, M.; Lum, C.; Latham, S.; Tipping Smith, S.; Prenen, H.; Segelov, E. Refractory Metastatic Colorectal Cancer: Current Challenges and Future Prospects. Cancer Manag. Res. 2020, 12, 5819–5830. [Google Scholar] [CrossRef] [PubMed] [PubMed Central]
- Parmar, A.; Chan, K.K.W.; Ko, Y.J. Metastatic colorectal cancer: Therapeutic options for treating refractory disease. Curr. Oncol. 2019, 26 (Suppl. 1), S24–S32. [Google Scholar] [CrossRef] [PubMed] [PubMed Central]
- Cherri, S.; Libertini, M.; Noventa, S.; Oneda, E.; Meriggi, F.; Zaniboni, A. What Is Next for Refractory Colorectal Cancer CRC? Looking Beyond SUNLIGHT, FRESCO2, RECURSE and CORRECT. Int. J. Mol. Sci. 2025, 26, 2522. [Google Scholar] [CrossRef] [PubMed] [PubMed Central]
- Signorelli, C.; Calegari, M.A.; Basso, M.; Anghelone, A.; Lucchetti, J.; Minelli, A.; Angotti, L.; Zurlo, I.V.; Schirripa, M.; Chilelli, M.G.; et al. Treatment Settings and Outcomes with Regorafenib and Trifluridine/Tipiracil at Third-Line Treatment and beyond in Metastatic Colorectal Cancer: A Real-World Multicenter Retrospective Study. Curr. Oncol. 2023, 30, 5456–5469. [Google Scholar] [CrossRef] [PubMed] [PubMed Central]
- Bekaii-Saab, T.; Sruti, I.; Shi, J.; Dai, W.; Patton, G.; Appukkuttan, S.; Hocum, B.; Katta, A.; Babajanyan, S.; Cosgrove, D. Real-world treatment patterns and outcomes among patients initiating sequential regorafenib and trifluridine/tipiracil ± bevacizumab in patients with metastatic colorectal cancer in a US community setting (SEQRT2). Front. Oncol. 2025, 15, 1591245. [Google Scholar] [CrossRef] [PubMed] [PubMed Central]
- Bazarbashi, S.; Alkhatib, R.; Aseafan, M.; Tuleimat, Y.; Abdel-Aziz, N.; Mahrous, M.; Elsamany, S.; Elhassan, T.; Alghamdi, M. Efficacy of Chemotherapy Rechallenge Versus Regorafenib or Trifluridine/Tipiracil in Third-Line Setting of Metastatic Colorectal Cancer: A Multicenter Retrospective Comparative Study. JCO Glob. Oncol. 2024, 10, e2300461. [Google Scholar] [CrossRef] [PubMed] [PubMed Central]
- Signorelli, C.; Calegari, M.A.; Anghelone, A.; Passardi, A.; Frassineti, G.L.; Bittoni, A.; Lucchetti, J.; Angotti, L.; Di Giacomo, E.; Zurlo, I.V.; et al. Survival Outcomes with Regorafenib and/or Trifluridine/Tipiracil Sequencing to Rechallenge with Third-Line Regimens in Metastatic Colorectal Cancer: A Multicenter Retrospective Real-World Subgroup Comparison from the ReTrITA Study. Curr. Oncol. 2024, 31, 7793–7808. [Google Scholar] [CrossRef] [PubMed] [PubMed Central]
- Siena, S.; Di Bartolomeo, M.; Raghav, K.; Masuishi, T.; Loupakis, F.; Kawakami, H.; Yamaguchi, K.; Nishina, T.; Fakih, M.; Elez, E.; et al. Trastuzumab deruxtecan (DS-8201) in patients with HER2-expressing metastatic colorectal cancer (DESTINY-CRC01): A multicentre, open-label, phase 2 trial. Lancet Oncol. 2021, 22, 779–789. [Google Scholar] [CrossRef] [PubMed]
- Sartore-Bianchi, A.; Trusolino, L.; Martino, C.; Bencardino, K.; Lonardi, S.; Bergamo, F.; Zagonel, V.; Leone, F.; Depetris, I.; Martinelli, E.; et al. Dual-targeted therapy with trastuzumab and lapatinib in treatment-refractory, KRAS codon 12/13 wildtype, HER2-positive metastatic colorectal cancer (HERACLES): A proof-of-concept, multicentre, open-label, phase 2 trial. Lancet Oncol. 2016, 17, 738–746, Erratum in Lancet Oncol. 2016, 17, e420. [Google Scholar] [CrossRef] [PubMed]
- Cercek, A.; Siena, S.; André, T.; Ng, K.; Van Cutsem, E.; Wu, C.; Fountzilas, C.; Kardosh, A.; Lenz, H.J.; Elez, E.; et al. Tucatinib plus trastuzumab for chemotherapy-refractory, HER2-positive, RAS wild-type unresectable or metastatic colorectal cancer (MOUNTAINEER): A multicentre, open-label, phase 2 study. Lancet Oncol. 2023, 24, 496–508. [Google Scholar] [CrossRef] [PubMed]
- Meric-Bernstam, F.; Hurwitz, H.; Raghav, K.P.S.; McWilliams, R.R.; Fakih, M.; VanderWalde, A.; Swanton, C.; Kurzrock, R.; Burris, H.; Sweeney, C.; et al. Pertuzumab plus trastuzumab for HER2-amplified metastatic colorectal cancer (MyPathway): An updated report from a multicentre, open-label, phase 2a, multiple basket study. Lancet Oncol. 2019, 20, 518–530. [Google Scholar] [CrossRef] [PubMed] [PubMed Central]
- Theik, N.W.Y.; Muminovic, M.; Alvarez-Pinzon, A.M.; Shoreibah, A.; Hussein, A.M.; Raez, L.E. NTRK Therapy among Different Types of Cancers, Review and Future Perspectives. Int. J. Mol. Sci. 2024, 25, 2366. [Google Scholar] [CrossRef] [PubMed]
- Pietrantonio, F.; Di Nicolantonio, F.; Schrock, A.B.; Lee, J.; Morano, F.; Fucà, G.; Nikolinakos, P.; Drilon, A.; Hechtman, J.F.; Christiansen, J. RET fusions in a small subset of advanced colorectal cancers at risk of being neglected. Ann. Oncol. 2018, 29, 1394–1401. [Google Scholar] [CrossRef] [PubMed]
- Le, D.T.; Kim, T.W.; Van Cutsem, E.; Geva, R.; Jäger, D.; Hara, H.; Burge, M.; O’Neil, B.; Kavan, P.; Yoshino, T.; et al. Phase II Open-Label Study of Pembrolizumab in Treatment-Refractory, Microsatellite Instability-High/Mismatch Repair-Deficient Metastatic Colorectal Cancer: KEYNOTE-164. J. Clin. Oncol. 2020, 38, 11–19. [Google Scholar] [CrossRef] [PubMed] [PubMed Central]
- U.S. Food and Drug Administration. Regorafenib Prescribing Information. Bayer HealthCare Pharmaceuticals Inc. 2024. Available online: https://www.accessdata.fda.gov/drugsatfda_docs/appletter/2025/203085Orig1s016ltr.pdf (accessed on 12 October 2025).
- Aljubran, A.; Elshenawy, M.A.; Kandil, M.; Zahir, M.N.; Shaheen, A.; Gad, A.; Alshaer, O.; Alzahrani, A.; Eldali, A.; Bazarbashi, S. Efficacy of Regorafenib in Metastatic Colorectal Cancer: A Multi-institutional Retrospective Study. Clin. Med. Insights Oncol. 2019, 13, 1179554918825447. [Google Scholar] [CrossRef] [PubMed] [PubMed Central]
- Grothey, A.; Van Cutsem, E.; Sobrero, A.; Siena, S.; Falcone, A.; Ychou, M.; Humblet, Y.; Bouché, O.; Mineur, L.; Barone, C.; et al. Regorafenib monotherapy for previously treated metastatic colorectal cancer (CORRECT): An international, multicentre, randomised, placebo-controlled, phase 3 trial. Lancet 2013, 381, 303–312. [Google Scholar] [CrossRef] [PubMed]
- Li, J.; Qin, S.; Xu, R.; Yau, T.C.; Ma, B.; Pan, H.; Xu, J.; Bai, Y.; Chi, Y.; Wang, L.; et al. Regorafenib plus best supportive care versus placebo plus best supportive care in Asian patients with previously treated metastatic colorectal cancer (CONCUR): A randomised, double-blind, placebo-controlled, phase 3 trial. Lancet Oncol. 2015, 16, 619–629. [Google Scholar] [CrossRef] [PubMed]
- Belum, V.R.; Wu, S.; Lacouture, M.E. Risk of hand-foot skin reaction with the novel multikinase inhibitor regorafenib: A meta-analysis. Investig. New Drugs 2013, 31, 1078–1086. [Google Scholar] [CrossRef] [PubMed]
- Van Cutsem, E.; Martinelli, E.; Cascinu, S.; Sobrero, A.; Banzi, M.; Seitz, J.F.; Barone, C.; Ychou, M.; Peeters, M.; Brenner, B.; et al. Regorafenib for Patients with Metastatic Colorectal Cancer Who Progressed After Standard Therapy: Results of the Large, Single-Arm, Open-Label Phase IIIb CONSIGN Study. Oncologist 2019, 24, 185–192. [Google Scholar] [CrossRef] [PubMed] [PubMed Central]
- Adenis, A.; de la Fouchardiere, C.; Paule, B.; Burtin, P.; Tougeron, D.; Wallet, J.; Dourthe, L.M.; Etienne, P.L.; Mineur, L.; Clisant, S.; et al. Survival, safety, and prognostic factors for outcome with Regorafenib in patients with metastatic colorectal cancer refractory to standard therapies: Results from a multicenter study (REBECCA) nested within a compassionate use program. BMC Cancer 2016, 16, 412, Erratum in BMC Cancer 2016, 16, 518. https://doi.org/10.1186/s12885-016-2559-8. [Google Scholar] [CrossRef] [PubMed] [PubMed Central]
- Ducreux, M.; Petersen, L.N.; Öhler, L.; Bergamo, F.; Metges, J.P.; de Groot, J.W.; Wang, J.Y.; García Paredes, B.; Dochy, E.; Fiala-Buskies, S.; et al. Safety and effectiveness of regorafenib in patients with metastatic colorectal cancer in routine clinical practice in the prospective, observational CORRELATE study. Eur. J. Cancer 2019, 123, 146–154. [Google Scholar] [CrossRef] [PubMed]
- Bekaii-Saab, T.S.; Ou, F.S.; Ahn, D.H.; Boland, P.M.; Ciombor, K.K.; Heying, E.N.; Dockter, T.J.; Jacobs, N.L.; Pasche, B.C.; Cleary, J.M.; et al. Regorafenib dose-optimisation in patients with refractory metastatic colorectal cancer (ReDOS): A randomised, multicentre, open-label, phase 2 study. Lancet Oncol. 2019, 20, 1070–1082. [Google Scholar] [CrossRef] [PubMed] [PubMed Central]
- Signorelli, C.; Calegari, M.A.; Anghelone, A.; Passardi, A.; Gallio, C.; Bittoni, A.; Lucchetti, J.; Angotti, L.; Di Giacomo, E.; Zurlo, I.V.; et al. Redefining the Use of Regorafenib and Trifluridine/Tipiracil Without Bevacizumab in Refractory Metastatic Colorectal Cancer: Findings from the ReTrITA Study. Cancers 2025, 17, 2037. [Google Scholar] [CrossRef] [PubMed] [PubMed Central]
- López Muñoz, A.M.; González Flores, E.; Carral Maseda, A.; Pimentel Cáceres, P.; Afonso Gómez, R.; López López, C.; Jimeno Maté, R.; Reina Zoilo, J.J.; Castañón López, C.; Salgado Fernández, M.; et al. Real-world dosing patterns of regorafenib for patients with metastatic colorectal cancer in Spain: The RE-SEARCH study. Clin. Transl. Oncol. 2025, 27, 1176–1184. [Google Scholar] [CrossRef] [PubMed]
- Nakashima, M.; Li, K.; Chen, Q.; de Silva, S.; Li, H.; Kawakami, K.; Wei, Q.; Luo, S.; Zhao, H. Appropriate dose of regorafenib based on body weight of colorectal cancer patients: A retrospective cohort study. BMC Cancer 2023, 23, 1268. [Google Scholar] [CrossRef] [PubMed] [PubMed Central]
- Yan, H.; Liu, J.; Zhang, Y.; Chen, S.; Xu, J.; Gao, D.; Li, H.; Fang, X.; Wang, Y.; Wang, H.; et al. Efficacy and safety of regorafenib in the treatment of metastatic colorectal cancer: A retrospective cohort study. J. Gastrointest. Oncol. 2024, 15, 987–1001. [Google Scholar] [CrossRef] [PubMed] [PubMed Central]
- Bekaii-Saab, T.; Khan, N.; Ostojic, H.; Jiao, X.; Chen, G.; Lin, W.; Bruno, A. Real-world dosing of regorafenib and outcomes among patients with metastatic colorectal cancer: A retrospective analysis using US claims data. BMC Cancer 2024, 24, 939. [Google Scholar] [CrossRef] [PubMed] [PubMed Central]
- Yeh, K.H.; Yang, T.S.; Hsu, T.C.; Tzu-Liang Chen, W.; Chen, H.H.; Teng, H.W.; Lin, B.W.; Kuan, F.C.; Chiang, F.F.; Duann, C.W.; et al. Real-world evidence of the safety and effectiveness of regorafenib in Taiwanese patients with metastatic colorectal cancer: CORRELATE Taiwan. J. Formos. Med. Assoc. 2021, 120, 2023–2031. [Google Scholar] [CrossRef] [PubMed]
- Hatori, M.; Kawakami, K.; Wakatsuki, T.; Shinozaki, E.; Kobayashi, K.; Aoyama, T.; Nakano, Y.; Suzuki, K.; Yamaguchi, K.; Hama, T. Association Between Regorafenib Dose and Efficacy Against Metastatic Colorectal Cancer in a Real-World Setting. Dose Response 2021, 19, 15593258211047658. [Google Scholar] [CrossRef] [PubMed] [PubMed Central]
- Peeters, M.; Chibaudel, B.; Barzi, A.; Ostojic, H.; Pan, X.; Yasuda, M.; Chen, C.-C.; Multani, J.; Casey, V.; Vassilev, Z. Real world (RW) use and outcomes of regorafenib (REG) flexible dosing in patients (pts) with metastatic colorectal cancer (mCRC) in Europe. J. Clin. Oncol. 2024, 42, 47. [Google Scholar] [CrossRef]






| ReDOS N (%) | No-ReDOS N (%) | p-Value | |
|---|---|---|---|
| Total | 313 (100) | 400 (100) | 0.0011 |
| Age Median (min–max) | 58 (30–86) | 59 (33–86) | 0.9263 |
| Age ≥70 yrs <70 yrs | 137 (43.7) 176 (56.3) | 151 (37.8) 249 (62.3) | 0.1042 |
| Sex Female Male | 131 (41.8) 182 (58.2) | 157 (39.3) 243 (60.8) | 0.4824 |
| RAS status Wild type Mutant type Unknown | 130 (41.5) 175 (56.0) 8 (2.5) | 153 (38.3) 235 (58.8) 12 (3.0) | 0.6549 |
| Primary tumour location Right side Left side Rectum | 95 (30.3) 152 (48.6) 66 (21.1) | 141 (35.3) 193 (48.3) 66 (16.5) | 0.1948 |
| MMR dMMR pMMR Unknown | 11 (3.5) 244 (78.0) 58 (18.5) | 7 (1.8) 151 (37.8) 242 (60.5) | <0.0001 |
| PS ECOG 0 1 2 | 117 (37.4) 177 (56.5) 19 (6.1) | 113 (28.3) 236 (59.0) 51 (12.8) | 0.0017 |
| Prior adjuvant therapy Yes No | 94 (30.0) 219 (70.0) | 97 (24.3) 303 (75.8) | 0.0838 |
| Metastatic disease sites Liver only Liver + other Others | 55 (17.6) 151 (48.2) 107 (34.2) | 36 (9.0) 227 56.8() 137 (34.3) | 0.0019 |
| CT 1° line regimen Monochemotherapy Doublet chemotherapy Triplet chemotherapy Unknown | 18 (5.7) 254 (81.2) 40 (12.8) 1 (0.3) | 12 (3.0) 249 (62.3) 15 (3.8) 124 (31.0) | <0.0001 |
| CT 2° line regimen Monochemotherapy Doublet chemotherapy Triplet chemotherapy Unknown | 29 (9.3) 231 (73.8) 12 (3.8) 40 (13.1) | 21 (5.3) 234 (58.5) 4 (1.0) 141 (35.3) | <0.0001 |
| Rechallenge therapy yes no | 62 (19.9) 251 (80.1) | 64 (16.0) 336 (84.0) | 0.1861 |
| Biological agents 1° line Anti-EGFR use Anti-VEGF use None | 99 (31.6) 160 (51.1) 54 (17.2) | 80 (20.0) 160 (40.0) 160 (40.0) | <0.0001 |
| Biological agents 2° line Anti-EGFR use Anti-VEGF use None | 22 (7.1) 207 (66.1) 84 (26.8) | 15 (3.8) 180 (45.0) 205 (51.3) | <0.0001 |
| Redos | No-Redos | ||
|---|---|---|---|
| OS | mOS (months) | 7.4 | 6.7 |
| 3y-OS (%) | 2.5 | 7.2 | |
| 2y-OS (%) | 8.9 | 14.0 | |
| HR (95% CI) | 1.00 (0.85–1.18) | ||
| p-Value | 0.9298 | ||
| PFS | mPFS (months) | 3.1 | 3.9 |
| 1y-OS (%) | 3.8 | 5.7 | |
| 2y-OS (%) | 0.6 | 2.2 | |
| HR (95% CI) | 0.76 (0.64–0.89) | ||
| p-Value | 0.0007 | ||
| ORR | PR + CR (%) | 2.0 | 2.6 |
| p-Value | 0.4386 | ||
| DCR | PR + CR + SD (%) | 23.2 | 25.3 |
| p-Value | 0.6580 | ||
| DoR | months | 8.9 | 15.4 |
| HR (95% CI) | 1.68 (0.35–7.94) | ||
| p-Value | 0.5944 | ||
| ReDOS | No-ReDOS | ||||
|---|---|---|---|---|---|
| n | % | n | % | p-Value | |
| All events G3/G4 | 141 | 100 | 203 | 100 | 0.0008 |
| All pts who experienced G3/G4 toxicities | 111 | 35.4 | 158 | 39.5 | 0.0042 |
| All Haematologic events G3/G4 | 11 | 7.8 | 21 | 10.3 | 0.0771 |
| All non Haematologic events G3/G4 | 130 | 92.2 | 182 | 89.7 | 0.0032 |
| Most common Haematologic toxicities G3/G4 | 0.9148 | ||||
| Neutropenia | 2 | 18.2 | 5 | 23.8 | |
| Febrile neutropenia | 0 | 0.0 | 0 | 0.0 | |
| Thrombocytopenia | 2 | 18.2 | 3 | 14.3 | |
| Anaemia | 7 | 63.6 | 13 | 61.9 | |
| Most common non Haematologic toxicities G3/G4 | 0.0157 | ||||
| Fatigue | 46 | 39.0 | 48 | 23.6 | |
| Hand-foot skin reaction | 20 | 16.9 | 43 | 21.2 | |
| Hypertension | 15 | 12.7 | 15 | 7.4 | |
| Liver dysfunctions | 4 | 3.4 | 9 | 4.4 | |
| Diarrhoea | 7 | 5.9 | 19 | 9.4 | |
| Skin disorders | 2 | 1.7 | 14 | 6.9 | |
| Others | 24 | 20.3 | 55 | 27.1 | |
| Study | Country/Setting | N Patients | Flexible/Reduced Starting Dose (%) | Median OS (Months) | Median PFS (Months) | Key Notes |
|---|---|---|---|---|---|---|
| ReTrITA Sub-analysis | Italy (retrospective, multicentre) | 729 | ~40% dose-escalation (ReDOS-like) | ~8–9 | ~3.0 | Improved PFS with escalation; OS comparable; lower G3–4 AEs with escalation |
| RE-SEARCH (Muñoz et al. 2025) [32] | Spain (multicentre, retrospective) | 242 | 63.8% started <160 mg | Not reported | 3.0 | Escalation increasingly used post-2019; no efficacy differences across dose groups; higher G3–4 AEs with 160 mg start + reductions (40.6%) |
| Nakashima (Japan) [33] | Japan (retrospective, multicentre) | 2530 | Body-weight–adjusted regimens common | 7.5–8.0 | ~3.0–3.5 | Cumulative dose predicted OS; lighter patients tolerated ≤120 mg |
| Yan et al. (China) [34] | China (retrospective) | 77 | Majority <160 mg | 17.8 | 4.6 | Included earlier lines and some IO combinations; superior OS vs. Western cohorts |
| Bekaii-Saab et al., 2024 [35] | USA (claims database) | 703 | Flexible dosing ↑ from 21% to 45% post-ReDOS guideline | Not primary endpoint | Not primary endpoint | Flexible dosing improved persistence (≥3 cycles: 45% vs. 36% pre-ReDOS) |
| CORRELATE (Taiwan, Yeh et al. 2021) [36] | Taiwan (prospective observational) | 128 | 71.9% started < 160 mg | 11.6 | 2.2 | Higher mutation prevalence; OS longer; frequent early dose reductions |
| Hatori et al., 2021 [37] | Japan (retrospective, multicentre) | 176 | Most started at ≤120 mg | ~8.0 | ~3.0 | Association between lower starting dose and preserved efficacy; real-world validation of flexible dosing |
| Peeters et al., 2024 [38] | Europe (France, Italy, Belgium) | 355 | Flexible regimens: ReDOS-like or dose-adjusted | Not reported | Not reported | Flexible dosing improved duration on regorafenib therapy before discontinuation (≥3 cycles in 67–93% vs. 64% with standard) |
Disclaimer/Publisher’s Note: The statements, opinions and data contained in all publications are solely those of the individual author(s) and contributor(s) and not of MDPI and/or the editor(s). MDPI and/or the editor(s) disclaim responsibility for any injury to people or property resulting from any ideas, methods, instructions or products referred to in the content. |
© 2025 by the authors. Licensee MDPI, Basel, Switzerland. This article is an open access article distributed under the terms and conditions of the Creative Commons Attribution (CC BY) license (https://creativecommons.org/licenses/by/4.0/).
Share and Cite
Signorelli, C.; Basso, M.; Calegari, M.A.; Anghelone, A.; Passardi, A.; Gallio, C.; Bittoni, A.; Lucchetti, J.; Angotti, L.; Di Giacomo, E.; et al. Real-World Evidence of Regorafenib Dose Escalation Versus Fixed Dosing in Refractory Metastatic Colorectal Cancer: Results from the ReTrITA Study. Cancers 2025, 17, 3316. https://doi.org/10.3390/cancers17203316
Signorelli C, Basso M, Calegari MA, Anghelone A, Passardi A, Gallio C, Bittoni A, Lucchetti J, Angotti L, Di Giacomo E, et al. Real-World Evidence of Regorafenib Dose Escalation Versus Fixed Dosing in Refractory Metastatic Colorectal Cancer: Results from the ReTrITA Study. Cancers. 2025; 17(20):3316. https://doi.org/10.3390/cancers17203316
Chicago/Turabian StyleSignorelli, Carlo, Michele Basso, Maria Alessandra Calegari, Annunziato Anghelone, Alessandro Passardi, Chiara Gallio, Alessandro Bittoni, Jessica Lucchetti, Lorenzo Angotti, Emanuela Di Giacomo, and et al. 2025. "Real-World Evidence of Regorafenib Dose Escalation Versus Fixed Dosing in Refractory Metastatic Colorectal Cancer: Results from the ReTrITA Study" Cancers 17, no. 20: 3316. https://doi.org/10.3390/cancers17203316
APA StyleSignorelli, C., Basso, M., Calegari, M. A., Anghelone, A., Passardi, A., Gallio, C., Bittoni, A., Lucchetti, J., Angotti, L., Di Giacomo, E., Zurlo, I. V., Morelli, C., Dell’Aquila, E., Artemi, A., Gemma, D., Emiliani, A., Ribelli, M., Corsi, D. C., Arrivi, G., ... Chilelli, M. G. (2025). Real-World Evidence of Regorafenib Dose Escalation Versus Fixed Dosing in Refractory Metastatic Colorectal Cancer: Results from the ReTrITA Study. Cancers, 17(20), 3316. https://doi.org/10.3390/cancers17203316

