A Novel Nomogram for Estimating a High-Risk Result in the EndoPredict® Test for Estrogen Receptor-Positive/Human Epidermal Growth Factor Receptor 2 (HER2)-Negative Breast Carcinoma
Simple Summary
Abstract
1. Introduction
2. Materials and Methods
2.1. Patient and Clinicopathological Feature Selection
2.2. Statistical Analysis
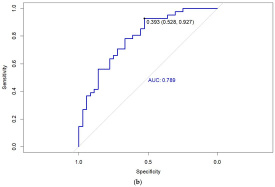
3. Results
3.1. Baseline Clinicopathological Feature Distribution in the Cohort
3.2. Nomogram Development
3.3. How to Use the Nomogram
4. Discussion
5. Conclusions
Author Contributions
Funding
Institutional Review Board Statement
Informed Consent Statement
Data Availability Statement
Conflicts of Interest
Abbreviations
| AIC | Akaike Information Criterion |
| AUC | area under the curve |
| CI95% | 95% confidence interval |
| ER | estrogen receptor |
| HER2 | human epidermal growth factor receptor 2 |
| IQR | Interquartile range |
| LVSI | lymphovascular space invasion |
| MDT | multidisciplinary team |
| ODX RS | Oncotype DX® recurrence score |
| OR | odds ratio |
| Ref | reference group for the comparison |
| RT-PCR | reverse polymerase chain reaction |
| ROC | receiver operating characteristic |
| SLN | sentinel lymph node |
References
- Siegel, R.L.; Giaquinto, A.N.; Jemal, A. Cancer statistics, 2024. CA Cancer J. Clin. 2024, 74, 12–49. [Google Scholar] [CrossRef]
- Mokbel, K.; Wazir, U.; Chehade, H.E.H.; Manson, A.; Choy, C.; Moye, V.; Mokbel, K. A Comparison of the Performance of EndoPredict Clinical and NHS PREDICT in 120 Patients Treated for ER-positive Breast Cancer. Anticancer Res. 2017, 37, 6863–6869. [Google Scholar]
- Hong, R.; Xu, B. Breast cancer: An up-to-date review and future perspectives. Cancer Commun. 2022, 42, 913–936. [Google Scholar] [CrossRef]
- Chowdhury, A.; Pharoah, P.D.; Rueda, O.M. Evaluation and comparison of different breast cancer prognosis scores based on gene expression data. Breast Cancer Res. 2023, 25, 17. [Google Scholar] [CrossRef]
- Bourien, H.; Quillien, V.; Godey, F.; Perrin, C.; Le Du, F.; Guillermet, S.; Blanchot, J.; Lavoué, V.; Campillo-Gimenez, B.; Brunot, A.; et al. Impact of EPclin on adjuvant therapeutic decision making and comparison of EPclin to the PREDICT tool. Int. J. Biol. Markers 2021, 36, 57–63. [Google Scholar] [CrossRef]
- Sestak, I. Risk stratification in early breast cancer in premenopausal and postmenopausal women: Integrating genomic assays with clinicopathological features. Curr. Opin. Oncol. 2019, 31, 29–34. [Google Scholar] [CrossRef] [PubMed]
- Yamashita, H.; Ogiya, A.; Shien, T.; Horimoto, Y.; Masuda, N.; Inao, T.; Osako, T.; Takahashi, M.; Endo, Y.; Hosoda, M.; et al. Clinicopathological factors predicting early and late distant recurrence in estrogen receptor-positive, HER2-negative breast cancer. Breast Cancer 2016, 23, 830–843. [Google Scholar] [CrossRef]
- Cognetti, F.; Biganzoli, L.; De Placido, S.; del Mastro, L.; Masetti, R.; Naso, G.; Pruneri, G.; Santini, D.; Tondini, C.A.; Tinterri, C.; et al. Multigene tests for breast cancer: The physician’s perspective. Oncotarget 2021, 12, 936–947. [Google Scholar] [CrossRef]
- Chen, K.; Wu, J.; Fang, Z.; Shao, X.; Wang, X. The Clinical Research and Latest Application of Genomic Assays in Early-Stage Breast Cancer. Technol. Cancer Res. Treat. 2022, 21, 1–10. [Google Scholar] [CrossRef]
- Alexandre, M.; Maran-Gonzalez, A.; Viala, M.; Firmin, N.; D’Hondt, V.; Gutowski, M.; Bourgier, C.; Jacot, W.; Guiu, S. Decision of Adjuvant Systemic Treatment in HR+ HER2- Early Invasive Breast Cancer: Which Biomarkers Could Help? Cancer Manag. Res. 2019, 11, 10353–10373. [Google Scholar] [CrossRef]
- Mokbel, K.; Wazir, U.; Wazir, A.; Kasem, A.; Mokbel, K. The Impact of EndoPredict Clinical Score on Chemotherapy Recommendations in Women with Invasive ER+/HER2− Breast Cancer Stratified as Having Moderate or Poor Prognosis by Nottingham Prognostic Index. Anticancer Res. 2018, 38, 4747–4752. [Google Scholar] [CrossRef]
- Carvalho Oliveira, L.J.; Costa Amorim, L.; Cury Megid, T.B.; Andrade de Resende, C.A.; Mano, M.S. Gene expression signatures in early breast cancer: Better together with clinicopathological features. Crit. Rev. Oncol. Hematol. 2022, 175, 103708. [Google Scholar] [CrossRef] [PubMed]
- Soliman, H.; Flake, D.D.; Magliocco, A.; Robson, M.; Schwartzberg, L.; Sharma, P.; Brown, K.; Wehnelt, S.; Kronenwett, R.; Gutin, A.; et al. Predicting Expected Absolute Chemotherapy Treatment Benefit in Women with Early-Stage Breast Cancer Using EndoPredict, an Integrated 12-Gene Clinicomolecular Assay. JCO Precis. Oncol. 2019, 3, 1–10. [Google Scholar] [CrossRef]
- Dinh, P.; Graham, J.D.; Elder, E.N.; Kabir, M.; Doan, T.B.; French, J.; Meybodi, F.; Hui, R.; Wilcken, N.R.; Harnett, P.R.; et al. Impact of the EndoPredict genomic assay on treatment decisions for oestrogen receptor-positive early breast cancer patients: Benefits of physician selective testing. Breast Cancer Res. Treat. 2022, 191, 501–511. [Google Scholar] [CrossRef]
- Filipits, M.; Rudas, M.; Jakesz, R.; Dubsky, P.; Fitzal, F.; Singer, C.F.; Dietze, O.; Greil, R.; Jelen, A.; Sevelda, P.; et al. A New Molecular Predictor of Distant Recurrence in ER-Positive, HER2-Negative Breast Cancer Adds Independent Information to Conventional Clinical Risk Factors. Clin. Cancer Res. 2011, 17, 6012–6020. [Google Scholar] [CrossRef]
- Sestak, I.; Martín, M.; Dubsky, P.; Kronenwett, R.; Rojo, F.; Cuzick, J.; Filipits, M.; Ruiz, A.; Gradishar, W.; Soliman, H.; et al. Prediction of chemotherapy benefit by EndoPredict in patients with breast cancer who received adjuvant endocrine therapy plus chemotherapy or endocrine therapy alone. Breast Cancer Res. Treat. 2019, 176, 377–386. [Google Scholar] [CrossRef]
- Denkert, C.; Kronenwett, R.; Schlake, W.; Bohmann, K.; Penzel, R.; Weber, K.E.; Höfler, H.; Lehmann, U.; Schirmacher, P.; Specht, K.; et al. Decentral gene expression analysis for ER+/Her2− breast cancer: Results of a proficiency testing program for the EndoPredict assay. Virchows Arch. 2012, 460, 251–259. [Google Scholar] [CrossRef] [PubMed]
- Blok, E.J.; Bastiaannet, E.; van den Hout, W.B.; Liefers, G.J.; Smit, V.T.H.B.M.; Kroep, J.R.; van de Velde, C.J.H. Systematic review of the clinical and economic value of gene expression profiles for invasive early breast cancer available in Europe. Cancer Treat. Rev. 2018, 62, 74–90. [Google Scholar] [CrossRef] [PubMed]
- Lee, Y.J.; Hwang, Y.S.; Kim, J.; Ahn, S.H.; Son, B.H.; Kim, H.J.; Ko, B.S.; Kim, J.; Chung, I.Y.; Lee, J.W.; et al. A nomogram for predicting probability of low risk of MammaPrint results in women with clinically high-risk breast cancer. Sci. Rep. 2021, 11, 23509. [Google Scholar] [CrossRef]
- Lee, S.B.; Kim, J.; Sohn, G.; Kim, J.; Chung, I.Y.; Kim, H.J.; Ko, B.S.; Son, B.H.; Ahn, S.H.; Lee, J.W.; et al. A Nomogram for Predicting the Oncotype DX Recurrence Score in Women with T1-3N0-1miM0 Hormone Receptor–Positive, Human Epidermal Growth Factor 2 (HER2)–Negative Breast Cancer. Cancer Res. Treat. 2019, 51, 1073–1085. [Google Scholar] [CrossRef]
- Orucevic, A.; Bell, J.L.; McNabb, A.P.; Heidel, R.E. Oncotype DX breast cancer recurrence score can be predicted with a novel nomogram using clinicopathologic data. Breast Cancer Res. Treat. 2017, 163, 51–61. [Google Scholar] [CrossRef]
- Giuliano, A.E.; Edge, S.B.; Hortobagyi, G.N. Eighth Edition of the AJCC Cancer Staging Manual: Breast Cancer. Ann. Surg. Oncol. 2018, 25, 1783–1785. [Google Scholar] [CrossRef]
- Allison, K.H.; Hammond, M.E.H.; Dowsett, M.; McKernin, S.E.; Carey, L.A.; Fitzgibbons, P.L.; Hayes, D.F.; Lakhani, S.R.; Chavez-MacGregor, M.; Perlmutter, J.; et al. Estrogen and Progesterone Receptor Testing in Breast Cancer: ASCO/CAP Guideline Update. J. Clin. Oncol. 2020, 38, 1346–1366. [Google Scholar] [CrossRef]
- Wolff, A.C.; Somerfield, M.R.; Dowsett, M.; Hammond, M.E.H.; Hayes, D.F.; McShane, L.M.; Saphner, T.J.; Spears, P.A.; Allison, K.H. Human Epidermal Growth Factor Receptor 2 Testing in Breast Cancer: ASCO-College of American Pathologists Guideline Update. J. Clin. Oncol. 2023, 41, 3867–3872. [Google Scholar] [CrossRef]
- Nielsen, T.O.; Leung, S.C.Y.; Rimm, D.L.; Dodson, A.; Acs, B.; Badve, S.; Denkert, C.; Ellis, M.J.; Fineberg, S.; Flowers, M.; et al. Assessment of Ki67 in Breast Cancer: Updated Recommendations from the International Ki67 in Breast Cancer Working Group. J. Natl. Cancer Inst. 2021, 113, 808–819. [Google Scholar] [CrossRef]
- Peláez-García, A.; Yébenes, L.; Berjón, A.; Angulo, A.; Zamora, P.; Sánchez-Méndez, J.I.; Espinosa, E.; Redondo, A.; Heredia-Soto, V.; Mendiola, M.; et al. Comparison of risk classification between EndoPredict and MammaPrint in ER-positive/HER2-negative primary invasive breast cancer. PLoS ONE 2017, 12, e0183452. [Google Scholar] [CrossRef]
- Çorbacıoğlu, Ş.; Aksel, G. Receiver operating characteristic curve analysis in diagnostic accuracy studies: A guide to interpreting the area under the curve value. Turk. J. Emerg. Med. 2023, 23, 195–198. [Google Scholar] [CrossRef]
- Ettl, J.; Anders, S.I.; Hapfelmeier, A.; Paepke, S.; Noske, A.; Weichert, W.; Klein, E.; Kiechle, M. First prospective outcome data for the second-generation multigene test Endopredict in ER-positive/HER2-negative breast cancer. Arch. Gynecol. Obstet. 2020, 302, 1461–1467. [Google Scholar] [CrossRef]
- Sestak, I.; Cuzick, J. Markers for the identification of late breast cancer recurrence. Breast Cancer Res. 2015, 17, 10. [Google Scholar] [CrossRef]
- Amezcua-Gálvez, J.; Lopez-Garcia, C.; Villarreal-Garza, C.; Lopez-Rivera, V.; Canavati-Marcos, M.; Santuario-Facio, S.; Dono, A.; Monroig-Bosque, P.D.C.; Ortiz-López, R.; Leal-Lopez, A.; et al. Concordance between Ki-67 index in invasive breast cancer and molecular signatures: EndoPredict and MammaPrint. Mol. Clin. Oncol. 2022, 17, 132. [Google Scholar] [CrossRef] [PubMed]
- Noske, A.; Anders, S.I.; Ettl, J.; Hapfelmeier, A.; Steiger, K.; Specht, K.; Weichert, W.; Kiechle, M.; Klein, E. Risk stratification in luminal-type breast cancer: Comparison of Ki-67 with EndoPredict test results. Breast 2020, 49, 101–107. [Google Scholar] [CrossRef]
- Bösl, A.; Spitzmüller, A.; Jasarevic, Z.; Rauch, S.; Jäger, S.; Offner, F. MammaPrint versus EndoPredict: Poor correlation in disease recurrence risk classification of hormone receptor positive breast cancer. PLoS ONE 2017, 12, e0183458. [Google Scholar] [CrossRef]
- Jank, P.; Lindner, J.L.; Lehmann, A.; Pfitzner, B.M.; Blohmer, J.U.; Horst, D.; Kronenwett, R.; Denkert, C.; Schmitt, W.D. Comparison of risk assessment in 1652 early ER positive, HER2 negative breast cancer in a real-world data set: Classical pathological parameters vs. 12-gene molecular assay (EndoPredict). Breast Cancer Res. Treat. 2022, 191, 327–333. [Google Scholar] [CrossRef]
- Almstedt, K.; Mendoza, S.; Otto, M.; Battista, M.J.; Steetskamp, J.; Heimes, A.S.; Krajnak, S.; Poplawski, A.; Gerhold-Ay, A.; Hasenburg, A.; et al. EndoPredict® in early hormone receptor-positive, HER2-negative breast cancer. Breast Cancer Res. Treat. 2020, 182, 137–146. [Google Scholar] [CrossRef] [PubMed]
- Geurts, Y.M.; Witteveen, A.; Bretveld, R.; Poortmans, P.M.; Sonke, G.S.; Strobbe, L.J.A.; Siesling, S. Patterns and predictors of first and subsequent recurrence in women with early breast cancer. Breast Cancer Res. Treat. 2017, 165, 709–720. [Google Scholar] [CrossRef] [PubMed]
- Buyse, M.; Loi, S.; van’t Veer, L.; Viale, G.; Delorenzi, M.; Glas, A.M.; d’Assignies, M.S.; Bergh, J.; Lidereau, R.; Ellis, P.; et al. Validation and Clinical Utility of a 70-Gene Prognostic Signature for Women with Node-Negative Breast Cancer. J. Natl. Cancer Inst. 2006, 98, 1183–1192. [Google Scholar] [CrossRef]
- Paik, S.; Shak, S.; Tang, G.; Kim, C.; Baker, J.; Cronin, M.; Baehner, F.L.; Walker, M.G.; Watson, D.; Park, T.; et al. A Multigene Assay to Predict Recurrence of Tamoxifen-Treated, Node-Negative Breast Cancer. N. Engl. J. Med. 2004, 351, 2817–2826. [Google Scholar] [CrossRef]



| Clinicopathological Features | Results |
|---|---|
| Age (years) (n = 348) | 53 (IQR, 16) |
| Tumor size (mm) (n = 347) | 15 (IQR, 8) |
| pT stage (n = 348) | |
| pT1a pT1b pT1c pT2 pT3 | 4 (1.1%) 56 (16.1%) 208 (59.8%) 75 (21.6%) 5 (1.4%) |
| Histological tumor type (n = 348) | |
| Invasive ductal carcinoma Invasive lobular carcinoma Others | 265 (76.1%) 53 (15.2%) 30 (8.6%) |
| Tumor grade (n = 348) | |
| G1 (well differentiated) G2 (moderately differentiated) G3 (poorly differentiated) | 51 (14.7%) 221 (63.5%) 76 (21.8%) |
| Multifocality (n = 344) | |
| Absent Present | 264 (76.7%) 80 (23.3%) |
| Ductal carcinoma in situ (n = 344) | |
| Absent Present | 74 (21.5%) 270 (78.5%) |
| LVSI (n = 344) | |
| Absent Present | 273 (79.4%) 71 (20.6%) |
| SLN status (n = 348) Negative Positive | 221 (63.5%) 127 (36.5%) |
| pN stage (n = 348) | |
| pN0 pN1mi pN1a | 217 (62.4%) 79 (22.7%) 52 (14.9%) |
| Estrogen receptor (%) (n = 345) | 100 (IQR, 5) |
| Progesterone receptor (%) (n = 344) | 75.5 (IQR, 85) |
| Proliferation index (Ki67) (%) (n = 347) | 19 (IQR, 15) |
| EP score (n = 347) | |
| Low-risk High-risk | 95 (27.4%) 252 (72.6%) |
| EPClin score (n = 348) | |
| Low-risk High-risk | 155 (44.5%) 193 (55.5%) |
| Results | p-Value | ||
|---|---|---|---|
| Training Cohort (n = 270) | External Validation Cohort (n = 78) | ||
| Age (years) (n = 348) | 53 (IQR, 16) | 54 (IQR, 14.5) | 0.906 |
| Tumor size (mm) (n = 347) | 15 (IQR, 8) | 15 (IQR, 10) | 0.719 |
| pT stage (n = 348) | |||
| pT1 pT2 + pT3 | 214 (79.3%) 56 (20.7%) | 54 (69.2%) 24 (30.8%) | 0.064 |
| Histological tumor type (n = 348) | |||
| Invasive ductal carcinoma Invasive lobular carcinoma Others | 206 (76.3%) 41 (15.2%) 23 (8.5%) | 59 (75.6%) 12 (15.4%) 7 (9.0%) | 0.990 |
| Tumor grade (n = 348) | |||
| G1 (well differentiated) G2 (moderately differentiated) G3 (poorly differentiated) | 40 (14.8%) 173 (64.1%) 57 (21.1%) | 11 (14.1%) 48 (61.5%) 19 (24.4%) | 0.829 |
| Multifocality (n = 344) | |||
| Absent Present | 208 (77.9%) 59 (22.1%) | 56 (72.7%) 21 (27.3%) | 0.344 |
| Ductal carcinoma in situ (n = 344) | |||
| Absent Present | 55 (20.6%) 212 (79.4%) | 19 (24.7%) 58 (75.3%) | 0.443 |
| LVSI (n = 344) | |||
| Absent Present | 213 (79.5%) 55 (20.5%) | 60 (78.9%) 16 (21.1%) | 0.920 |
| SLN status (n = 348) | |||
| Negative Positive | 167 (61.9%) 103 (38.1%) | 54 (69.2%) 24 (30.8%) | 0.223 |
| pN stage (n = 348) | |||
| pN0 pN1mi pN1a | 164 (60.7%) 60 (22.2%) 46 (17.0%) | 53 (67.9%) 19 (24.4%) 6 (7.7%) | 0.125 |
| Estrogen receptor (%) (n = 345) | 100 (IQR, 5) | 100 (IQR, 0) | 0.437 |
| Progesterone receptor (%) (n = 344) | 75 (IQR, 85) | 80 (IQR, 80) | 0.367 |
| Proliferation index (Ki67) (%) (n = 347) | 20 (IQR, 17) | 16 (IQR, 12) | 0.090 |
| EP score (n = 347) | |||
| Low-risk High-risk | 75 (27.8%) 195 (72.2%) | 20 (26.0%) 57 (74.0%) | 0.754 |
| EPClin score (n = 348) | |||
| Low-risk High-risk | 118 (43.7%) 152 (56.3%) | 37 (47.4%) 41 (52.6%) | 0.559 |
| Clinicopathological Features | Results | OR (CI95%) | p-Value | |
|---|---|---|---|---|
| Low-Risk EPClin (n = 118) | High-Risk EPClin (n = 152) | |||
| Age (years) (n = 270) | 53 (IQR, 14.75) | 53 (IQR, 16.25) | 0.996 (0.972, 1.020) | 0.739 |
| Tumor size (mm) (n = 270) | 13 (IQR, 8) | 17 (IQR, 8) | 1.042 (1.012, 1.076) | 0.009 * |
| pT stage (n = 270) | ||||
| pT1 pT2 + pT3 | 103 (87.3%) 15 (12.7%) | 111 (73.0%) 41 (27.0%) | 2.536 (1.350, 4.986) | 0.005 * |
| Histological tumor type (n = 270) | ||||
| Invasive ductal carcinoma Invasive lobular carcinoma Others | 86 (72.9%) 23 (19.5%) 9 (7.6%) | 120 (78.9%) 18 (11.8%) 14 (9.2%) | Ref | Ref |
| 0.561 (0.282, 1.099) | 0.094 | |||
| 1.115 (0.467, 2.787) | 0.809 | |||
| Tumor grade (n = 270) | ||||
| G1 (well differentiated) G2 (moderately differentiated) G3 (poorly differentiated) | 21 (17.8%) 87 (73.7%) 10 (8.5%) | 19 (12.5%) 86 (56.6%) 47 (30.9%) | Ref | Ref |
| 1.093 (0.548, 2.189) | 0.801 | |||
| 5.195 (2.114, 13.536) | <0.001 * | |||
| Multifocality (n = 267) | ||||
| Absent Present | 89 (76.7%) 27 (23.3%) | 119 (78.8%) 32 (21.2%) | 0.886 (0.496, 1.596) | 0.684 |
| Ductal carcinoma in situ (n = 267) | ||||
| Absent Present | 23 (19.8%) 93 (80.2%) | 32 (21.2%) 119 (78.8%) | 0.920 (0.500, 1.671) | 0.785 |
| LVSI (n = 268) | ||||
| Absent Present | 98 (83.8%) 19 (16.2%) | 115 (76.2%) 36 (23.8%) | 1.615 (0.879, 3.042) | 0.128 |
| SLN status (n = 270) | ||||
| Negative Positive | 86 (72.9%) 32 (27.1%) | 81 (53.3%) 71 (46.7%) | 2.356 (1.415, 3.980) | 0.001 * |
| pN stage (n = 270) | ||||
| pN0 pN1mi pN1a | 86 (72.9%) 19 (16.1%) 13 (11.0%) | 78 (51.3%) 41 (27.0%) 33 (21.7%) | Ref | Ref |
| 2.379 (1.289, 4.517) | 0.007 * | |||
| 2.799 (1.402, 5.871) | 0.005 * | |||
| Estrogen receptor (%) (n = 268) | 100 (IQR, 0) | 100 (IQR, 7.5) | 0.994 (0.974, 1.012) | 0.510 |
| Progesterone receptor (%) (n = 267) | 80 (IQR, 75) | 70 (IQR, 88) | 0.995 (0.989, 1.001) | 0.136 |
| Proliferation index (Ki67) (%) (n = 269) | 15 (IQR, 17) | 22 (IQR, 15) | 1.054 (1.029, 1.081) | 0.001 * |
| OR (CI95%) | Standard Error | Z Score | p-Value | |
|---|---|---|---|---|
| Tumor size | 1.068 (1.031, 1.111) | 0.19 | 3.46 | <0.001 * |
| Tumor grade | 2.606 (1.517, 4.590) | 0.28 | 3.40 | <0.001 * |
| SLN status | 2.880 (0.842, 9.680) | 0.62 | 1.71 | 0.086 |
| pN stage | 1.862 (0.867, 4.251) | 0.40 | 1.55 | 0.120 |
| Proliferation index (Ki67) | 1.078 (1.045, 1.115) | 0.02 | 4.58 | <0.001 * |
Disclaimer/Publisher’s Note: The statements, opinions and data contained in all publications are solely those of the individual author(s) and contributor(s) and not of MDPI and/or the editor(s). MDPI and/or the editor(s) disclaim responsibility for any injury to people or property resulting from any ideas, methods, instructions or products referred to in the content. |
© 2025 by the authors. Licensee MDPI, Basel, Switzerland. This article is an open access article distributed under the terms and conditions of the Creative Commons Attribution (CC BY) license (https://creativecommons.org/licenses/by/4.0/).
Share and Cite
Macarrón, V.; Losantos-García, I.; Peláez-García, A.; Yébenes, L.; Berjón, A.; Frías, L.; Martí, C.; Zamora, P.; Sánchez-Méndez, J.I.; Hardisson, D. A Novel Nomogram for Estimating a High-Risk Result in the EndoPredict® Test for Estrogen Receptor-Positive/Human Epidermal Growth Factor Receptor 2 (HER2)-Negative Breast Carcinoma. Cancers 2025, 17, 273. https://doi.org/10.3390/cancers17020273
Macarrón V, Losantos-García I, Peláez-García A, Yébenes L, Berjón A, Frías L, Martí C, Zamora P, Sánchez-Méndez JI, Hardisson D. A Novel Nomogram for Estimating a High-Risk Result in the EndoPredict® Test for Estrogen Receptor-Positive/Human Epidermal Growth Factor Receptor 2 (HER2)-Negative Breast Carcinoma. Cancers. 2025; 17(2):273. https://doi.org/10.3390/cancers17020273
Chicago/Turabian StyleMacarrón, Víctor, Itsaso Losantos-García, Alberto Peláez-García, Laura Yébenes, Alberto Berjón, Laura Frías, Covadonga Martí, Pilar Zamora, José Ignacio Sánchez-Méndez, and David Hardisson. 2025. "A Novel Nomogram for Estimating a High-Risk Result in the EndoPredict® Test for Estrogen Receptor-Positive/Human Epidermal Growth Factor Receptor 2 (HER2)-Negative Breast Carcinoma" Cancers 17, no. 2: 273. https://doi.org/10.3390/cancers17020273
APA StyleMacarrón, V., Losantos-García, I., Peláez-García, A., Yébenes, L., Berjón, A., Frías, L., Martí, C., Zamora, P., Sánchez-Méndez, J. I., & Hardisson, D. (2025). A Novel Nomogram for Estimating a High-Risk Result in the EndoPredict® Test for Estrogen Receptor-Positive/Human Epidermal Growth Factor Receptor 2 (HER2)-Negative Breast Carcinoma. Cancers, 17(2), 273. https://doi.org/10.3390/cancers17020273

