Socioeconomic Deprivation and Invasive Breast Cancer Incidence by Stage at Diagnosis: A Possible Explanation to the Breast Cancer Social Paradox
Abstract
Simple Summary
Abstract
1. Introduction
2. Materials and Methods
2.1. Population
2.2. Data
2.3. Statistical Analysis
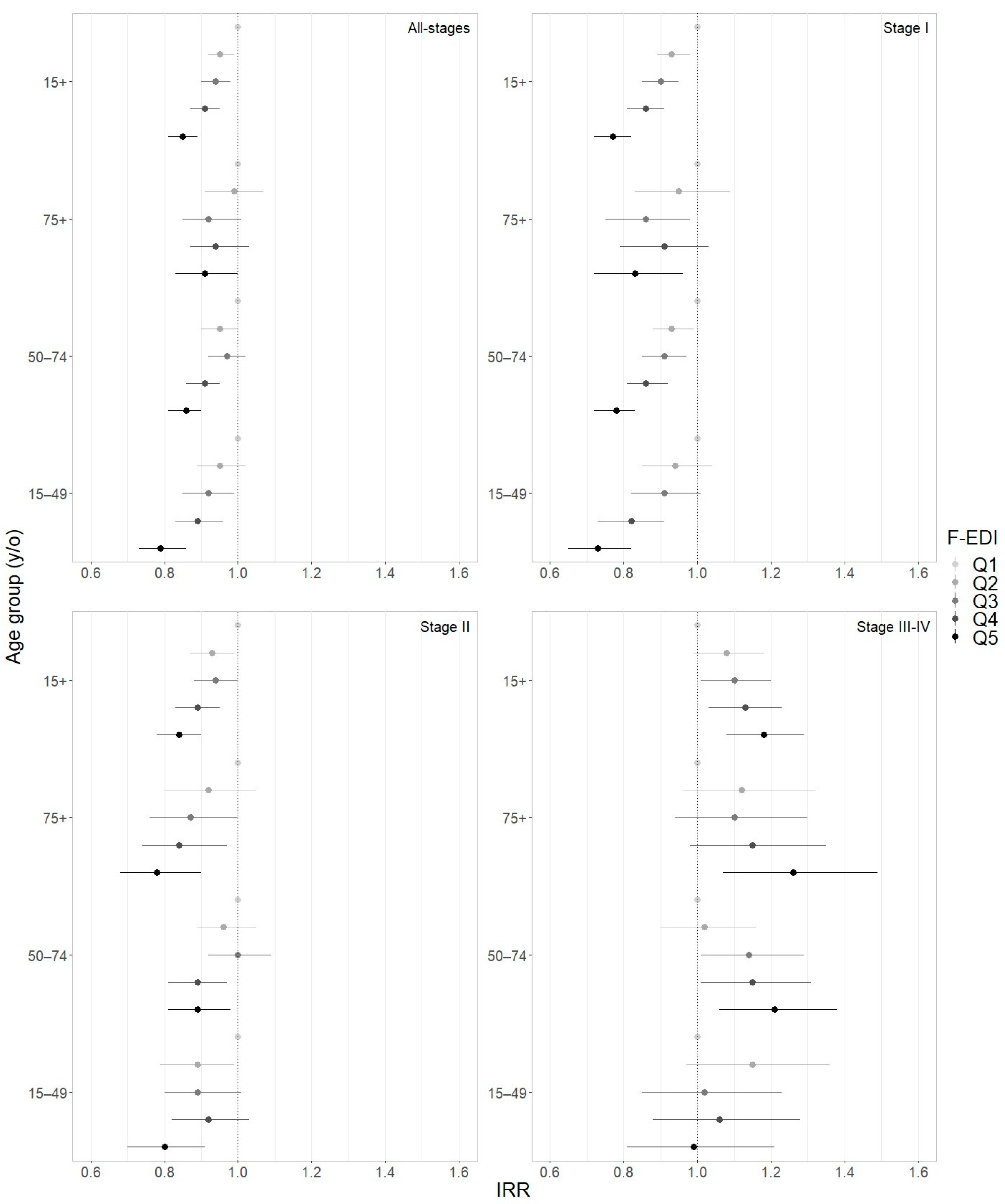
3. Results
3.1. Population Characteristics
3.2. Age-Standardized Incidence Rates
3.3. Incidence Rate Ratios
4. Discussion
5. Conclusions
Supplementary Materials
Author Contributions
Funding
Institutional Review Board Statement
Informed Consent Statement
Data Availability Statement
Acknowledgments
Conflicts of Interest
References
- Derette, K.; Rollet, Q.; Launay, L.; Launoy, G.; Bryere, J.; the French Network of Cancer Registries (FRANCIM group). Evolution of socioeconomic inequalities in cancer incidence between 2006 and 2016 in France: A population-based study. Eur. J. Cancer Prev. 2022, 31, 473–481. [Google Scholar] [CrossRef] [PubMed]
- Lundqvist, A.; Andersson, E.; Ahlberg, I.; Nilbert, M.; Gerdtham, U. Socioeconomic inequalities in breast cancer incidence and mortality in Europe—A systematic review and meta-analysis. Eur. J. Public Health 2016, 26, 804–813. [Google Scholar] [CrossRef] [PubMed]
- Menvielle, G.; Kunst, A.E.; van Gils, C.H.; Peeters, P.H.; Boshuizen, H.; Overvad, K.; Olsen, A.; Tjonneland, A.; Hermann, S.; Kaaks, R.; et al. The contribution of risk factors to the higher incidence of invasive and in situ breast cancers in women with higher levels of education in the European prospective investigation into cancer and nutrition. Am. J. Epidemiol. 2011, 173, 26–37. [Google Scholar] [CrossRef]
- Smith, D.; Thomson, K.; Bambra, C.; Todd, A. The breast cancer paradox: A systematic review of the association between area-level deprivation and breast cancer screening uptake in Europe. Cancer Epidemiol. 2019, 60, 77–85. [Google Scholar] [CrossRef] [PubMed]
- Duggan, C.; Trapani, D.; Ilbawi, A.M.; Fidarova, E.; Laversanne, M.; Curigliano, G.; Bray, F.; Anderson, B.O. National health system characteristics, breast cancer stage at diagnosis, and breast cancer mortality: A population-based analysis. Lancet Oncol. 2021, 22, 1632–1642. [Google Scholar] [CrossRef] [PubMed]
- Deborde, T.; Chatignoux, E.; Quintin, C.; Beltzer, N.; Hamers, F.F.; Rogel, A. Breast cancer screening programme participation and socioeconomic deprivation in France. Prev. Med. 2018, 115, 53–60. [Google Scholar] [CrossRef]
- Aarts, M.J.; Voogd, A.C.; Duijm, L.E.M.; Coebergh, J.W.W.; Louwman, W.J. Socioeconomic inequalities in attending the mass screening for breast cancer in the south of the Netherlands—Associations with stage at diagnosis and survival. Breast Cancer Res. Treat. 2011, 128, 517–525. [Google Scholar] [CrossRef]
- de Munck, L.; Fracheboud, J.; de Bock, G.H.; den Heeten, G.J.; Siesling, S.; Broeders, M.J.M. Is the incidence of advanced-stage breast cancer affected by whether women attend a steady-state screening program? Int. J. Cancer 2018, 143, 842–850. [Google Scholar] [CrossRef]
- Trewin, C.B.; Hjerkind, K.V.; Johansson, A.L.V.; Strand, B.H.; Kiserud, C.E.; Ursin, G. Socioeconomic inequalities in stage-specific breast cancer incidence: A nationwide registry study of 1.1 million young women in Norway, 2000–2015. Acta Oncol. 2020, 59, 1284–1290. [Google Scholar] [CrossRef]
- Survival Rates for Breast Cancer. Available online: https://www.cancer.org/cancer/breast-cancer/understanding-a-breast-cancer-diagnosis/breast-cancer-survival-rates.html (accessed on 20 October 2023).
- Delacôte, C.; Ariza, J.M.; Delacour-Billon, S.; Ayrault-Piault, S.; Borghi, G.; Menentau, K.; Bouron, A.; Métais, M.; Cowpply-Bony, A.; Molinié, F. Socioeconomic and geographic disparities of breast cancer incidence according to stage at diagnosis in France. Cancer Causes Control 2023, 35, 241–251. [Google Scholar] [CrossRef]
- Taux de Participation au Programme de Dépistage Organisé du Cancer du Sein 2018–2019 et Evolution Depuis 2005. Available online: https://www.santepubliquefrance.fr/maladies-et-traumatismes/cancers/cancer-du-sein/articles/taux-de-participation-au-programme-de-depistage-organise-du-cancer-du-sein-2018-2019-et-evolution-depuis-2005 (accessed on 20 October 2023).
- Sobin, L.H.; Gospodarowicz, M.K.; Wittekind, C. TNM Classification of Malignant Tumours; John Wiley & Sons: Hoboken, NJ, USA, 2011. [Google Scholar]
- Pornet, C.; Delpierre, C.; Dejardin, O.; Grosclaude, P.; Launay, L.; Guittet, L.; Lang, T.; Launoy, G. Construction of an adaptable European transnational ecological deprivation index: The French version. J. Epidemiol. Community Health 2012, 66, 982–989. [Google Scholar] [CrossRef] [PubMed]
- Cancers et Preventions INSERM 1086. Cancerspreventions.fr. Available online: http://cancerspreventions.fr/inegalites-sociales/plateforme-2/ (accessed on 20 October 2023).
- Bases des unités urbaines de 1999 et 2010. Insee.fr. Available online: https://www.insee.fr/fr/information/2115018 (accessed on 20 October 2023).
- Akinyemiju, T.F.; Genkinger, J.M.; Farhat, M.; Wilson, A.; Gary-Webb, T.L.; Tehranifar, P. Residential environment and breast cancer incidence and mortality: A systematic review and meta-analysis. BMC Cancer 2015, 15, 191. [Google Scholar] [CrossRef] [PubMed]
- Spadea, T.; Zengarini, N.; Kunst, A.; Zanetti, R.; Rosso, S.; Costa, G. Cancer risk in relationship to different indicators of adult socioeconomic position in Turin, Italy. Cancer Causes Control 2010, 21, 1117–1130. [Google Scholar] [CrossRef] [PubMed]
- Carlsen, K.; Høybye, M.T.; Dalton, S.O.; Tjønneland, A. Social inequality and incidence of and survival from breast cancer in a population-based study in Denmark, 1994–2003. Eur. J. Cancer 2008, 44, 1996–2002. [Google Scholar] [CrossRef]
- Redondo-Sánchez, D.; Marcos-Gragera, R.; Carulla, M.; Lopez de Munain, A.; Gregori, C.S.; Chillarón, R.J.; Guevara, M.; Nuñez, O.; Fernández-Navarro, P.; Sánchez, M.J.; et al. Lung, Breast and Colorectal Cancer Incidence by Socioeconomic Status in Spain: A Population-Based Multilevel Study. Cancers 2021, 13, 2820. [Google Scholar] [CrossRef]
- Meijer, M.; Bloomfield, K.; Engholm, G. Neighbourhoods matter too: The association between neighbourhood socioeconomic position, population density and breast, prostate and lung cancer incidence in Denmark between 2004 and 2008. J. Epidemiol. Community Health 2013, 67, 6–13. [Google Scholar] [CrossRef]
- Ouédraogo, S.; Dabakuyo-Yonli, T.S.; Roussot, A.; Pornet, C.; Sarlin, N.; Lanaud, P.; Desmidt, P.; Quantin, C.; Chauvin, F.; Dancourt, V.; et al. European transnational ecological deprivation index and participation in population-based breast cancer screening programmes in France. Prev. Med. 2014, 63, 103–108. [Google Scholar] [CrossRef]
- Ding, L.; Greuter, M.J.W.; Truyen, I.; Goossens, M.; De Schutter, H.; de Bock, G.H.; Van Hal, G. Irregular screening participation increases advanced stage breast cancer at diagnosis: A population-based study. Breast 2022, 65, 61–66. [Google Scholar] [CrossRef]
- Peek, M.E.; Han, J.H. Disparities in screening mammography: Current status, interventions, and implications. J. Gen. Intern. Med. 2004, 19, 184–194. [Google Scholar] [CrossRef]
- Ferrat, E.; Le Breton, J.; Djassibel, M.; Veerabudun, K.; Brixi, Z.; Attali, C.; Renard, V. Understanding barriers to organized breast cancer screening in France: Women’s perceptions, attitudes, and knowledge. Fam. Pract. 2013, 30, 445–451. [Google Scholar] [CrossRef]
- Robb, K.; Stubbings, S.; Ramirez, A.; Macleod, U.; Austoker, J.; Waller, J.; Him, S.; Wardle, J. Public awareness of cancer in Britain: A population-based survey of adults. Br. J. Cancer 2009, 101 (Suppl. S2), S18–S23. [Google Scholar] [CrossRef] [PubMed]
- Duport, N.; Ancelle-Park, R.; Boussac-Zarebska, M.; Uhry, Z.; Bloch, J. Are breast cancer screening practices associated with sociodemographic status and healthcare access? Analysis of a French cross-sectional study. Eur. J. Cancer Prev. 2008, 17, 218–224. [Google Scholar] [CrossRef] [PubMed]
- Cheng, E.; Soulos, P.R.; Irwin, M.L.; Cespedes Feliciano, E.M.; Presley, C.J.; Fuchs, C.S.; Meyerhardt, J.A.; Gross, C.P. Neighborhood and individual socioeconomic disadvantage and survival among patients with nonmetastatic common cancers. JAMA Netw. Open 2021, 4, e2139593. [Google Scholar] [CrossRef] [PubMed]
- Bryere, J.; the French Network of Cancer Registries (FRANCIM); Tron, L.; Menvielle, G.; Launoy, G. The respective parts of incidence and lethality in socioeconomic differences in cancer mortality. An analysis of the French network Cancer registries (FRANCIM) data. Int. J. Equity Health 2019, 18, 189. [Google Scholar] [CrossRef] [PubMed]
- Dalton, S.O.; Ross, L.; Düring, M.; Carlsen, K.; Mortensen, P.B.; Lynch, J.; Johansen, C. Influence of socioeconomic factors on survival after breast cancer—A nationwide cohort study of women diagnosed with breast cancer in Denmark 1983–1999. Int. J. Cancer 2007, 121, 2524–2531. [Google Scholar] [CrossRef] [PubMed]
- Woods, L.M.; Rachet, B.; Coleman, M.P. Origins of socio-economic inequalities in cancer survival: A review. Ann. Oncol. 2006, 17, 5–19. [Google Scholar] [CrossRef] [PubMed]
- Dialla, P.O.; Arveux, P.; Ouedraogo, S.; Pornet, C.; Bertaut, A.; Roignot, P.; Janoray, P.; Poillot, M.L.; Quipourt, V.; Dabakuyo-Yonli, T.S. Age-related socio-economic and geographic disparities in breast cancer stage at diagnosis: A population-based study. Eur. J. Public Health 2015, 25, 966–972. [Google Scholar] [CrossRef] [PubMed]
- Montella, M.; Biondi, E.; De Marco, M.; Botti, G.; Tatangelo, F.; Capasso, I.; Marone, A. Sociodemographic factors associated with the diagnostic staging of breast cancer in Southern Italy. Cancer 1995, 76, 1585–1590. [Google Scholar] [CrossRef] [PubMed]
- Robsahm, T.E.; Tretli, S. Weak associations between sociodemographic factors and breast cancer: Possible effects of early detection. Eur. J. Cancer Prev. 2005, 14, 7–12. [Google Scholar] [CrossRef]
- Krzyżak, M.; Maślach, D.; Bielska-Lasota, M.; Juczewska, M.; Rabczenko, D.; Marcinkowski, J.T.; Szpak, A. Breast cancer survival gap between urban and rural female population in Podlaskie Voivodship, Poland, in 2001–2002. Population study. Ann. Agric. Environ. Med. 2010, 17, 277–282. [Google Scholar]
- Nennecke, A.; Geiss, K.; Hentschel, S.; Vettorazzio, E.; Jansen, L.; Eberle, A.; Holleczek, B.; Gondos, A.; Brenner, H.; GEKID Cancer Survival Group. Survival of cancer patients in urban and rural areas of Germany—A comparison. Cancer Epidemiol. 2014, 38, 259–265. [Google Scholar] [CrossRef] [PubMed]
- Ouanhnon, L.; Rougé Bugat, M.E.; Lamy, S.; Druel, V.; Delpierre, C.; Grosclaude, P. Social and territorial inequalities in breast and cervical cancers screening uptake: A cross-sectional study in France. BMJ Open 2022, 12, e055363. [Google Scholar] [CrossRef] [PubMed]
- Bettencourt, A.; Schlegel, R.J.; Talley, A.E.; Molix, L.A. The breast cancer experience of rural women: A literature review. Psychooncology 2007, 16, 875–887. [Google Scholar] [CrossRef] [PubMed]
- Lamy, S.; Molinié, F.; Daubisse-Marliac, L.; Cowppli-Bony, A.; Ayrault-Piault, S.; Fournier, E.; Woronoff, A.S.; Delpierre, C.; Grosclaude, P. Using ecological socioeconomic position (SEP) measures to deal with sample bias introduced by incomplete individual-level measures: Inequalities in breast cancer stage at diagnosis as an example. BMC Public Health 2019, 19, 857. [Google Scholar] [CrossRef]


| Socioeconomic Deprivation (F-EDI Quintile) | Q1 The Most Affluent | Q2 | Q3 | Q4 | Q5 The Most Deprived | All Women | |
|---|---|---|---|---|---|---|---|
| N (%) | N (%) | N (%) | N (%) | N (%) | p | N (%) | |
| Number of women | 8143 | 7108 | 6303 | 6277 | 5467 | - | 33,298 |
| Age group (y/o) | |||||||
| 15–49 | 2018 (25%) | 1661 (23%) | 1338 (21%) | 1318 (21%) | 1148 (21%) | <0.001 | 7483 (22%) |
| 50–74 | 4911 (60%) | 4119 (58%) | 3702 (59%) | 3545 (56%) | 3055 (56%) | 19,332 (58%) | |
| 75+ | 1214 (15%) | 1328 (19%) | 1263 (20%) | 1414 (23%) | 1264 (23%) | 6483 (20%) | |
| Rurality of residence | |||||||
| Rural | 2141 (26%) | 2279 (32%) | 1711 (27%) | 871 (14%) | 134 (2%) | <0.001 | 7136 (21%) |
| Urban | 6002 (74%) | 4829 (68%) | 4592 (73%) | 5406 (86%) | 5333 (98%) | 26,162 (79%) | |
| Stage at diagnosis | |||||||
| I | 4380 (54%) | 3685 (52%) | 3178 (50%) | 3158 (50%) | 2687 (49%) | <0.001 | 17,088 (51%) |
| II | 2586 (32%) | 2217 (31%) | 2004 (32%) | 1941 (31%) | 1678 (31%) | 10,426 (31%) | |
| III–IV | 1177 (14%) | 1206 (17%) | 1121 (18%) | 1178 (19%) | 1102 (20%) | 5784 (17%) | |
| Mode of detection | |||||||
| Symptoms | 3092 (38%) | 2972 (42%) | 2580 (41%) | 2523 (40%) | 2123 (39%) | <0.001 | 13,290 (40%) |
| Organised screening | 2673 (33%) | 2253 (32%) | 2015 (32%) | 1895 (30%) | 1648 (30%) | 10,484 (31%) | |
| Opportunistic screening | 1368 (17%) | 1190 (17%) | 1100 (17%) | 1111 (18%) | 1030 (19%) | 5799 (17%) | |
| Other | 155 (2%) | 127 (2%) | 130 (2%) | 142 (2%) | 112 (2%) | 666 (2%) | |
| Unknown | 855 (11%) | 566 (8%) | 478 (8%) | 606 (10%) | 554 (10%) | 3059 (9%) | |
| Department of residence | |||||||
| Côte d’Or | 939 (12%) | 581 (8%) | 489 (8%) | 643 (10%) | 463 (8%) | <0.001 | 3115 (9%) |
| Doubs | 566 (7%) | 505 (7%) | 571 (9%) | 576 (9%) | 568 (10%) | 2786 (8%) | |
| Hérault | 873 (11%) | 1080 (15%) | 1338 (21%) | 1906 (30%) | 2074 (38%) | 7271 (22%) | |
| Isère | 2236 (27%) | 1167 (16%) | 1084 (17%) | 1393 (22%) | 1434 (26%) | 7314 (22%) | |
| Loire-Atlantique | 2843 (35%) | 2174 (31%) | 1493 (24%) | 1129 (18%) | 784 (14%) | 8423 (25%) | |
| Vendée | 686 (8%) | 1601 (23%) | 1328 (21%) | 630 (10%) | 144 (3%) | 4389 (13%) | |
| Year of diagnosis | |||||||
| 2008 | 961 (12%) | 834 (12%) | 718 (11%) | 727 (12%) | 665 (12%) | 0.879 | 3905 (12%) |
| 2009 | 881 (11%) | 824 (12%) | 702 (11%) | 740 (12%) | 626 (11%) | 3773 (11%) | |
| 2010 | 958 (12%) | 831 (12%) | 744 (12%) | 768 (12%) | 673 (12%) | 3974 (12%) | |
| 2011 | 1061 (13%) | 880 (12%) | 790 (13%) | 739 (12%) | 693 (13%) | 4163 (13%) | |
| 2012 | 1024 (13%) | 928 (13%) | 813 (13%) | 793 (13%) | 684 (13%) | 4242 (13%) | |
| 2013 | 1069 (13%) | 916 (13%) | 820 (13%) | 795 (13%) | 705 (13%) | 4305 (13%) | |
| 2014 | 1058 (13%) | 927 (13%) | 873 (14%) | 856 (14%) | 719 (13%) | 4433 (13%) | |
| 2015 | 1131 (14%) | 968 (14%) | 843 (13%) | 859 (14%) | 702 (13%) | 4503 (14%) |
Disclaimer/Publisher’s Note: The statements, opinions and data contained in all publications are solely those of the individual author(s) and contributor(s) and not of MDPI and/or the editor(s). MDPI and/or the editor(s) disclaim responsibility for any injury to people or property resulting from any ideas, methods, instructions or products referred to in the content. |
© 2024 by the authors. Licensee MDPI, Basel, Switzerland. This article is an open access article distributed under the terms and conditions of the Creative Commons Attribution (CC BY) license (https://creativecommons.org/licenses/by/4.0/).
Share and Cite
Borghi, G.; Delacôte, C.; Delacour-Billon, S.; Ayrault-Piault, S.; Dabakuyo-Yonli, T.S.; Delafosse, P.; Woronoff, A.-S.; Trétarre, B.; Molinié, F.; Cowppli-Bony, A. Socioeconomic Deprivation and Invasive Breast Cancer Incidence by Stage at Diagnosis: A Possible Explanation to the Breast Cancer Social Paradox. Cancers 2024, 16, 1701. https://doi.org/10.3390/cancers16091701
Borghi G, Delacôte C, Delacour-Billon S, Ayrault-Piault S, Dabakuyo-Yonli TS, Delafosse P, Woronoff A-S, Trétarre B, Molinié F, Cowppli-Bony A. Socioeconomic Deprivation and Invasive Breast Cancer Incidence by Stage at Diagnosis: A Possible Explanation to the Breast Cancer Social Paradox. Cancers. 2024; 16(9):1701. https://doi.org/10.3390/cancers16091701
Chicago/Turabian StyleBorghi, Giulio, Claire Delacôte, Solenne Delacour-Billon, Stéphanie Ayrault-Piault, Tienhan Sandrine Dabakuyo-Yonli, Patricia Delafosse, Anne-Sophie Woronoff, Brigitte Trétarre, Florence Molinié, and Anne Cowppli-Bony. 2024. "Socioeconomic Deprivation and Invasive Breast Cancer Incidence by Stage at Diagnosis: A Possible Explanation to the Breast Cancer Social Paradox" Cancers 16, no. 9: 1701. https://doi.org/10.3390/cancers16091701
APA StyleBorghi, G., Delacôte, C., Delacour-Billon, S., Ayrault-Piault, S., Dabakuyo-Yonli, T. S., Delafosse, P., Woronoff, A.-S., Trétarre, B., Molinié, F., & Cowppli-Bony, A. (2024). Socioeconomic Deprivation and Invasive Breast Cancer Incidence by Stage at Diagnosis: A Possible Explanation to the Breast Cancer Social Paradox. Cancers, 16(9), 1701. https://doi.org/10.3390/cancers16091701

