Assessing the Predictive Accuracy of EORTC, CUETO and EAU Risk Stratification Models for High-Grade Recurrence and Progression after Bacillus Calmette–Guérin Therapy in Non-Muscle-Invasive Bladder Cancer
Abstract
Simple Summary
Abstract
1. Introduction
2. Materials and Methods
2.1. Study Design and Selection Criteria
2.2. Treatment and Follow-up
2.3. Outcomes
2.4. Ethics Statement
2.5. Statistical Analysis
3. Results
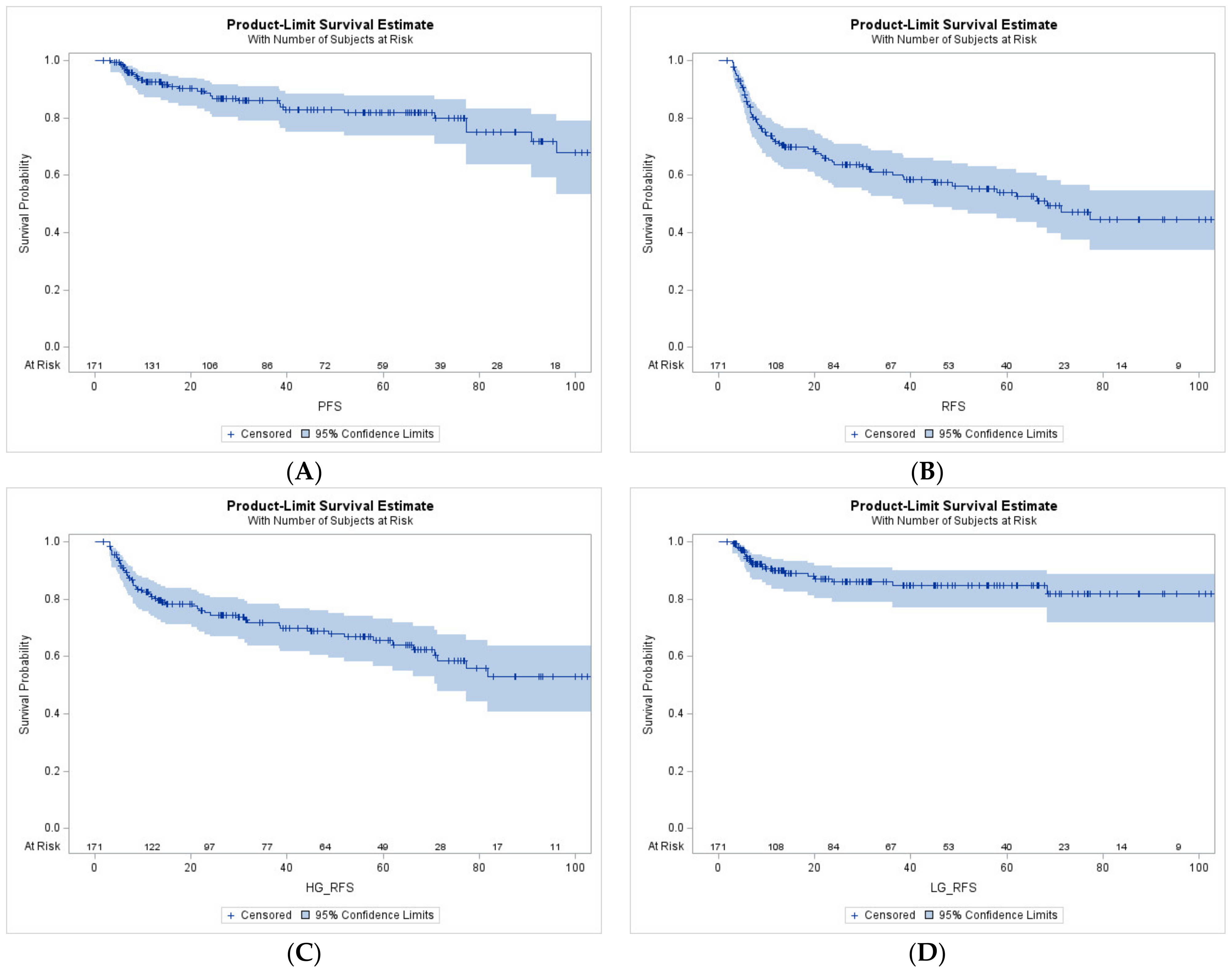
3.1. Oncological Outcomes
3.2. Significance of Low-Grade and High-Grade Recurrences
3.3. Novel EAU 2021 Risk Stratification
3.4. Validation of Available Risk Models
3.5. Multivariable Analyses for RFS, HG RFS and PFS
4. Discussion
5. Conclusions
Author Contributions
Funding
Institutional Review Board Statement
Informed Consent Statement
Data Availability Statement
Conflicts of Interest
Appendix A
| Variables | Low-Grade Recurrence | High-Grade Recurrence | ||||
|---|---|---|---|---|---|---|
| No. of Patients/Median | % of Patients/IQR | No. of Patients/Median | % of Patients/ IQR | p-Value | ||
| T stage | Ta | 6 | 28.57 | 8 | 15.38 | 0.19 |
| T1 | 15 | 71.43 | 44 | 84.62 | ||
| Tumor grade WHO 2004 | HG | 16 | 76.19 | 50 | 96.15 | 0.009 |
| LG | 5 | 23.81 | 2 | 3.85 | ||
| Tumor grade WHO 1973 | G1 | 1 | 4.76 | 1 | 1.92 | 0.12 |
| G2 | 5 | 23.81 | 4 | 7.69 | ||
| G3 | 15 | 71.43 | 47 | 90.38 | ||
| Concomitant CIS | No | 20 | 95.24 | 42 | 80.77 | 0.11 |
| Yes | 1 | 4.76 | 10 | 19.23 | ||
| Multiplicity | No | 10 | 47.62 | 15 | 28.85 | 0.13 |
| Yes | 11 | 52.38 | 37 | 71.15 | ||
| Tumor size | ≤3 cm | 12 | 57.14 | 34 | 65.38 | 0.50 |
| >3 cm | 9 | 42.86 | 18 | 34.62 | ||
| Previous recurrence frequency | None | 11 | 52.38 | 34 | 65.38 | 0.51 |
| <1/year | 7 | 33.33 | 11 | 21.15 | ||
| ≥1/year | 3 | 14.29 | 7 | 13.46 | ||
| Previous history of NMIBC | HG tumor | 0 | 0.00 | 10 | 19.23 | 0.005 |
| LG tumor | 10 | 47.62 | 8 | 15.38 | ||
| primary | 11 | 52.38 | 34 | 65.38 | ||
| Detrusor muscle in index TURBT | yes | 18 | 85.71 | 36 | 69.23 | 0.14 |
| no | 3 | 14.29 | 16 | 30.77 | ||
| ReTURBT status | T0 | 8 | 38.10 | 16 | 30.77 | 0.42 |
| T1HG | 3 | 14.29 | 12 | 23.08 | ||
| TaHG | 1 | 4.76 | 0 | 0.00 | ||
| TaLG | 0 | 0.00 | 1 | 1.92 | ||
| Tis | 2 | 9.52 | 10 | 19.23 | ||
| None | 7 | 33.33 | 13 | 25.00 | ||
| EAU 2021 progression risk groups | IR | 5 | 23.81 | 4 | 7.69 | 0.021 |
| HR | 15 | 71.43 | 32 | 61.54 | ||
| VHR | 1 | 4.76 | 16 | 30.77 | ||
| EAU 2019 risk groups | IR | 2 | 9.52 | 0 | 0.00 | 0.001 |
| HR | 13 | 61.90 | 16 | 30.77 | ||
| VHR | 6 | 28.57 | 36 | 69.23 | ||
| Age | years | 73 | 66–77 | 72 | 64–80 | 0.43 |
| Gender | female | 3 | 14.29 | 14 | 26.92 | 0.24 |
| male | 18 | 85.71 | 38 | 73.08 | ||
| Charlson comorbidity index | median | 5 | 5–6 | 6 | 5–8 | 0.054 |
| EORTC 2006 recurrence risk score | median | 6 | 5–9 | 7 | 5.5–9 | 0.3 |
| EORTC 2006 progression risk score | median | 11 | 7–12 | 14 | 10.5–15 | 0.01 |
| CUETO recurrence risk score | median | 6 | 5–9 | 7 | 5–10 | 0.32 |
| CUETO progression risk score | median | 8 | 8–10 | 10 | 8–11 | 0.07 |
References
- Babjuk, M.; Burger, M.; Capoun, O.; Cohen, D.; Compérat, E.M.; Escrig, J.L.D.; Gontero, P.; Liedberg, F.; Masson-Lecomte, A.; Mostafid, A.H.; et al. European Association of Urology Guidelines on Non–muscle-invasive Bladder Cancer (Ta, T1, and Carcinoma in Situ). Eur. Urol. 2022, 81, 75–94. [Google Scholar] [CrossRef] [PubMed]
- Ślusarczyk, A.; Zapała, P.; Zapała, Ł.; Piecha, T.; Radziszewski, P. Prediction of BCG responses in non-muscle-invasive bladder cancer in the era of novel immunotherapeutics. Int. Urol. Nephrol. 2019, 51, 1089–1099. [Google Scholar] [CrossRef] [PubMed]
- Ślusarczyk, A.; Zapała, P.; Zapała, Ł.; Borkowski, T.; Radziszewski, P. Cancer-Specific Survival of Patients with Non-Muscle-Invasive Bladder Cancer: A Population-Based Analysis. Ann. Surg. Oncol. 2023, 30, 7892–7902. [Google Scholar] [CrossRef] [PubMed]
- Babjuk, M.; Burger, M.; Compérat, E.M.; Gontero, P.; Mostafid, A.H.; Palou, J.; van Rhijn, B.W.G.; Roupret, M.; Shariat, S.F.; Sylvester, R.; et al. European Association of Urology Guidelines on Non-muscle-invasive Bladder Cancer (TaT1 and Carcinoma In Situ)—2019 Update. Eur. Urol. 2019, 76, 639–657. [Google Scholar] [CrossRef] [PubMed]
- Sylvester, R.J.; Rodríguez, O.; Hernández, V.; Turturica, D.; Bauerová, L.; Bruins, H.M.; Bründl, J.; van der Kwast, T.H.; Brisuda, A.; Rubio-Briones, J.; et al. European Association of Urology (EAU) Prognostic Factor Risk Groups for Non–muscle-invasive Bladder Cancer (NMIBC) Incorporating the WHO 2004/2016 and WHO 1973 Classification Systems for Grade: An Update from the EAU NMIBC Guidelines Panel. Eur. Urol. 2021, 79, 480–488. [Google Scholar] [CrossRef] [PubMed]
- Sylvester, R.J.; van der Meijden, A.P.; Oosterlinck, W.; Witjes, J.A.; Bouffioux, C.; Denis, L.; Newling, D.W.; Kurth, K. Predicting recurrence and progression in individual patients with stage Ta T1 bladder cancer using EORTC risk tables: A combined analysis of 2596 patients from seven eortc trials. Eur. Urol. 2006, 49, 465–466; discussion 475–477. [Google Scholar] [CrossRef] [PubMed]
- Cambier, S.; Sylvester, R.J.; Collette, L.; Gontero, P.; Brausi, M.A.; van Andel, G.; Kirkels, W.J.; Da Silva, F.C.; Oosterlinck, W.; Prescott, S.; et al. EORTC Nomograms and Risk Groups for Predicting Recurrence, Progression, and Disease-specific and Overall Survival in Non–Muscle-invasive Stage Ta–T1 Urothelial Bladder Cancer Patients Treated with 1–3 Years of Maintenance Bacillus Calmette-Guérin. Eur. Urol. 2016, 69, 60–69. [Google Scholar] [CrossRef] [PubMed]
- Fernandez-Gomez, J.; Madero, R.; Solsona, E.; Unda, M.; Martinez-Piñeiro, L.; Gonzalez, M.; Portillo, J.; Ojea, A.; Pertusa, C.; Rodriguez-Molina, J.; et al. Predicting nonmuscle invasive bladder cancer recurrence and progression in patients treated with bacillus Calmette-Guerin: The CUETO scoring model. J. Urol. 2009, 182, 2195–2203. [Google Scholar] [CrossRef] [PubMed]
- Xylinas, E.; Kent, M.; Kluth, L.; Pycha, A.; Comploj, E.; Svatek, R.S.; Lotan, Y.; Trinh, Q.-D.; I Karakiewicz, P.; Holmang, S.; et al. Accuracy of the EORTC risk tables and of the CUETO scoring model to predict outcomes in non-muscle-invasive urothelial carcinoma of the bladder. Br. J. Cancer 2013, 109, 1460–1466. [Google Scholar] [CrossRef]
- Krajewski, W.; Aumatell, J.; Subiela, J.D.; Nowak, Ł.; Tukiendorf, A.; Moschini, M.; Basile, G.; Poletajew, S.; Małkiewicz, B.; Del Giudice, F.; et al. Accuracy of the CUETO, EORTC 2016 and EAU 2021 scoring models and risk stratification tables to predict outcomes in high–grade non-muscle-invasive urothelial bladder cancer. Urol. Oncol. Semin. Orig. Investig. 2022, 40, 491.e11–491.e19. [Google Scholar] [CrossRef]
- Lobo, N.; Hensley, P.J.; Bree, K.K.; Nogueras-Gonzalez, G.M.; Navai, N.; Dinney, C.P.; Sylvester, R.J.; Kamat, A.M. Updated European Association of Urology (EAU) Prognostic Factor Risk Groups Overestimate the Risk of Progression in Patients with Non–muscle-invasive Bladder Cancer Treated with Bacillus Calmette-Guérin. Eur. Urol. Oncol. 2022, 5, 84–91. [Google Scholar] [CrossRef] [PubMed]
- Miyake, M.; Kitamura, H.; Nishimura, N.; Miyamoto, T.; Nakahama, T.; Fujii, T.; Matsumoto, H.; Matsuyama, H.; Yonemori, M.; Enokida, H.; et al. Validation of non-muscle-invasive bladder cancer risk stratification updated in the 2021 European Association of Urology guidelines. BJUI Compass 2023, 5, 269–280. [Google Scholar] [CrossRef]
- Yanagisawa, T.; Kawada, T.; von Deimling, M.; Bekku, K.; Laukhtina, E.; Rajwa, P.; Chlosta, M.; Pradere, B.; D’Andrea, D.; Moschini, M.; et al. Repeat Transurethral Resection for Non–muscle-invasive Bladder Cancer: An Updated Systematic Review and Meta-analysis in the Contemporary Era. Eur. Urol. Focus 2023, 10, 41–56. [Google Scholar] [CrossRef] [PubMed]
- Li, R.; Metcalfe, M.J.; Tabayoyong, W.B.; Guo, C.C.; González, G.M.N.; Navai, N.; Grossman, H.B.; Dinney, C.P.; Kamat, A.M. Using Grade of Recurrent Tumor to Guide Further Therapy While on Bacillus Calmette-Guerin: Low-grade Recurrences Are not Benign. Eur. Urol. Oncol. 2019, 2, 286–293. [Google Scholar] [CrossRef] [PubMed]
- Kamat, A.M.; Colombel, M.; Sundi, D.; Lamm, D.; Boehle, A.; Brausi, M.; Buckley, R.; Persad, R.; Palou, J.; Soloway, M.; et al. BCG-unresponsive non-muscle-invasive bladder cancer: Recommendations from the IBCG. Nat. Rev. Urol. 2017, 14, 244–255. [Google Scholar] [CrossRef]
- Roumiguié, M.; Kamat, A.M.; Bivalacqua, T.J.; Lerner, S.P.; Kassouf, W.; Böhle, A.; Brausi, M.; Buckley, R.; Persad, R.; Colombel, M.; et al. International Bladder Cancer Group Consensus Statement on Clinical Trial Design for Patients with Bacillus Calmette-Guérin–exposed High-risk Non–muscle-invasive Bladder Cancer. Eur. Urol. 2022, 82, 34–46. [Google Scholar] [CrossRef]
- Lamm, D.L.; Blumenstein, B.A.; Crissman, J.D.; Montie, J.E.; Gottesman, J.E.; Lowe, B.A.; Sarosdy, M.F.; Bohl, R.D.; Grossman, H.B.; Beck, T.M.; et al. Maintenance bacillus Calmette-Guerin immunotherapy for recurrent TA, T1 and carcinoma in situ transitional cell carcinoma of the bladder: A randomized Southwest Oncology Group Study. J. Urol. 2000, 163, 1124–1129. [Google Scholar] [CrossRef]
- Ślusarczyk, A.; Garbas, K.; Zapała, P.; Zapała, Ł.; Radziszewski, P. Oncological outcomes of high-grade T1 non-muscle-invasive bladder cancer treatment in octogenarians. Int. Urol. Nephrol. 2021, 53, 1591–1597. [Google Scholar] [CrossRef]
- Holzbeierlein, J.M.; Bixler, B.R.; Buckley, D.I.; Chang, S.S.; Holmes, R.; James, A.C.; Kirkby, E.; McKiernan, J.M.; Schuckman, A.K. Diagnosis and Treatment of Non-Muscle Invasive Bladder Cancer: AUA/SUO Guideline: 2024 Amendment. J. Urol. 2024, 211, 533–538. [Google Scholar] [CrossRef]
- Ferro, M.; Vartolomei, M.D.; Cantiello, F.; Lucarelli, G.; Di Stasi, S.M.; Hurle, R.; Guazzoni, G.; Busetto, G.M.; De Berardinis, E.; Damiano, R.; et al. High-Grade T1 on Re-Transurethral Resection after Initial High-Grade T1 Confers Worse Oncological Outcomes: Results of a Multi-Institutional Study. Urol. Int. 2018, 101, 7–15. [Google Scholar] [CrossRef]
- Thomas, F.; Noon, A.P.; Rubin, N.; Goepel, J.R.; Catto, J.W. Comparative outcomes of primary, recurrent, and progressive high-risk non–muscle-invasive bladder cancer. Eur. Urol. 2013, 63, 145–154. [Google Scholar] [CrossRef] [PubMed]
- Ślusarczyk, A.; Piotr, Z.; Garbas, K.; Zapała, Ł.; Borkowski, T.; Radziszewski, P. Blood count-derived inflammatory markers predict time to Bacillus Calmette-Guérin failure in high-risk non-muscle-invasive bladder cancer. Arch. Med. Sci. 2021. [Google Scholar] [CrossRef]
- Catto, J.W.F.; Gordon, K.; Collinson, M.; Poad, H.; Twiddy, M.; Johnson, M.; Jain, S.; Chahal, R.; Simms, M.; Dooldeniya, M.; et al. Radical Cystectomy Against Intravesical BCG for High-Risk High-Grade Nonmuscle Invasive Bladder Cancer: Results from the Randomized Controlled BRAVO-Feasibility Study. J. Clin. Oncol. 2021, 39, 202–214. [Google Scholar] [CrossRef] [PubMed]
- Nardelli, C.; Aveta, A.; Pandolfo, S.D.; Tripodi, L.; Russo, F.; Imbimbo, C.; Castaldo, G.; Pastore, L. Microbiome Profiling in Bladder Cancer Patients Using the First-morning Urine Sample. Eur. Urol. Open Sci. 2024, 59, 18–26. [Google Scholar] [CrossRef] [PubMed]
- Ślusarczyk, A.; Ismail, H.; Zapała, Ł.; Piecha, T.; Zapała, P.; Radziszewski, P. Changes in the Urinary Microbiome after Transurethral Resection of Non-muscle-Invasive Bladder Cancer: Insights from a Prospective Observational Study. Ann. Surg. Oncol. 2024, 1–14. [Google Scholar] [CrossRef] [PubMed]
- Russo, P.; Marino, F.; Rossi, F.; Bizzarri, F.P.; Ragonese, M.; Dibitetto, F.; Filomena, G.B.; Marafon, D.P.; Ciccarese, C.; Iacovelli, R.; et al. Is Systemic Immune-Inflammation Index a Real Non-Invasive Biomarker to Predict Oncological Outcomes in Patients Eligible for Radical Cystectomy? Medicina 2023, 59, 2063. [Google Scholar] [CrossRef] [PubMed]
- Ślusarczyk, A.; Zapała, P.; Zapała, Ł.; Radziszewski, P. The impact of smoking on recurrence and progression of non-muscle invasive bladder cancer: A systematic review and meta-analysis. J. Cancer Res. Clin. Oncol. 2022, 149, 2673–2691. [Google Scholar] [CrossRef] [PubMed]
- Oddens, J.; Brausi, M.; Sylvester, R.; Bono, A.; van de Beek, C.; van Andel, G.; Collette, S. Final results of an EORTC-GU cancers group randomized study of maintenance bacillus Calmette-Guérin in intermediate- and high-risk Ta, T1 papillary carcinoma of the urinary bladder: One-third dose versus full dose and 1 year versus 3 years of maintenance. Eur. Urol. 2013, 63, 462–472. [Google Scholar] [CrossRef]
- Kamat, A.M.; Briggman, J.; Urbauer, D.L.; Svatek, R.; González, G.M.N.; Anderson, R.; Grossman, H.B.; Prat, F.; Dinney, C.P. Cytokine Panel for Response to Intravesical Therapy (CyPRIT): Nomogram of Changes in Urinary Cytokine Levels Predicts Patient Response to Bacillus Calmette-Guérin. Eur. Urol. 2016, 69, 197–200. [Google Scholar] [CrossRef]

| Variables | Whole Cohort | ||
|---|---|---|---|
| Number of Patients/Median | % of Patients/IQR | ||
| Stage | Ta | 44 | 25.73 |
| T1 | 127 | 74.27 | |
| Tumor Grade WHO 2004 | HG | 147 | 85.96 |
| LG | 24 | 14.04 | |
| Tumor Grade WHO 1973 | G1 | 7 | 4.09 |
| G2 | 28 | 16.37 | |
| G3 | 136 | 79.53 | |
| Concomitant CIS | No | 149 | 87.13 |
| Yes | 22 | 12.87 | |
| Multiplicity | No | 79 | 46.20 |
| Yes | 92 | 53.80 | |
| Tumor size | ≤3 cm | 109 | 63.74 |
| >3 cm | 62 | 36.26 | |
| Previous recurrence frequency | None | 114 | 66.67 |
| <1/year | 39 | 22.81 | |
| ≥1/year | 18 | 10.53 | |
| Previous history of NMIBC | High-grade tumor | 18 | 10.53 |
| Low-grade tumor | 39 | 22.81 | |
| Primary | 114 | 66.67 | |
| Detrusor muscle in index TURBT | Yes | 127 | 74.27 |
| No | 44 | 25.73 | |
| ReTURBT pathology | T0 | 66 | 38.60 |
| T1HG | 26 | 15.20 | |
| TaHG | 4 | 2.34 | |
| TaLG | 5 | 2.92 | |
| Tis | 25 | 14.62 | |
| none | 45 | 26.32 | |
| EAU 2021 progression risk groups | IR | 31 | 18.13 |
| HR | 106 | 61.99 | |
| VHR | 34 | 19.88 | |
| IR | 12 | 7.02 | |
| EAU 2019 risk groups | HR | 72 | 42.11 |
| VHR | 87 | 50.88 | |
| EORTC 2016 progression risk | T1G3 | 105 | 61.40 |
| T1G2/TaG3 | 52 | 30.41 | |
| T1G1/TaG2 | 8 | 4.68 | |
| TaG1 | 6 | 3.51 | |
| EORTC 2016 recurrence risk | Group 1 | 126 | 73.68 |
| Group 2 | 27 | 15.79 | |
| Group 3 | 7 | 4.09 | |
| Group 4 | 11 | 6.40 | |
| AUA risk groups | IR | 28 | 16.37 |
| HR | 143 | 83.63 | |
| Age | Years | 71 | 64–79 |
| Gender | Female | 43 | 25.15 |
| Male | 128 | 74.85 | |
| Charlson comorbidity score | Median | 6 | 4–7 |
| EORTC 2006 recurrence risk score | Median | 6 | 5–8 |
| EORTC 2006 progression risk score | Median | 12 | 8–14 |
| CUETO recurrence risk score | Median | 6 | 5–9 |
| CUETO progression risk score | Median | 9 | 8–10 |
| Risks Model | EORTC 2006 Recurrence Risk Score | EORTC 2006 Progression Risk Score | CUETO Recurrence Risk Score | CUETO Progression Risk Score | EAU 2021 | EAU 2019 | EORTC 2016 Recurrence Grouping | EORTC 2016 Progression Grouping | AUA | |
|---|---|---|---|---|---|---|---|---|---|---|
| Any recurrence | C-index | 0.63 | 0.61 | 0.58 | 0.60 | 0.52 | 0.55 | 0.57 | 0.53 | 0.51 |
| AUC 1 year | 0.63 | 0.62 | 0.60 | 0.59 | 0.53 | 0.54 | 0.59 | 0.52 | 0.53 | |
| AUC 5 years | 0.65 | 0.66 | 0.55 | 0.64 | 0.55 | 0.58 | 0.58 | 0.55 | 0.54 | |
| p-value | <0.001 | <0.001 | 0.01 | 0.002 | 0.54 | 0.19 | 0.076 | 0.39 | 0.36 | |
| High-grade recurrence | C-index | 0.63 | 0.66 | 0.59 | 0.65 | 0.57 | 0.60 | 0.55 | 0.58 | 0.56 |
| AUC 1 year | 0.64 | 0.66 | 0.63 | 0.60 | 0.55 | 0.58 | 0.56 | 0.56 | 0.56 | |
| AUC 5 years | 0.67 | 0.74 | 0.60 | 0.70 | 0.61 | 0.64 | 0.55 | 0.60 | 0.60 | |
| p-value | <0.001 | <0.001 | 0.015 | <0.001 | 0.063 | 0.033 | 0.22 | 0.16 | 0.045 | |
| Low-grade recurrence | C-index | 0.60 | 0.50 | 0.57 | 0.52 | 0.60 | 0.60 | 0.62 | 0.60 | 0.55 |
| AUC 1 year | 0.54 | 0.49 | 0.54 | 0.58 | 0.56 | 0.60 | 0.67 | 0.56 | 0.57 | |
| AUC 5 years | 0.53 | 0.57 | 0.46 | 0.50 | 0.60 | 0.62 | 0.57 | 0.58 | 0.58 | |
| p-value | 0.089 | 0.81 | 0.40 | 0.63 | 0.26 | 0.17 | 0.16 | 0.19 | 0.10 | |
| Progression | C-index | 0.62 | 0.68 | 0.53 | 0.65 | 0.59 | 0.65 | 0.49 | 0.66 | 0.58 |
| AUC 1 year | 0.66 | 0.68 | 0.54 | 0.60 | 0.56 | 0.62 | 0.45 | 0.64 | 0.59 | |
| AUC 5 years | 0.64 | 0.70 | 0.48 | 0.67 | 0.61 | 0.65 | 0.46 | 0.66 | 0.60 | |
| p-value | 0.007 | 0.015 | 0.47 | 0.039 | 0.26 | 0.028 | 0.95 | 0.21 | 0.13 |
| Variable | Univariable Analysis for HG RFS | Univariable Analysis for PFS | |||||
|---|---|---|---|---|---|---|---|
| HR | 95% CI | p-value | HR | 95% CI | p-value | ||
| Stage | Ta | ref | ref | ||||
| T1 | 1.560 | 0.78–3.09 | 0.20 | 2.753 | 0.83–9.13 | 0.10 | |
| Tumor grade WHO 2004 | LG | ref | - | ref | - | ||
| HG | 2.988 | 0.93–9.57 | 0.065 | 4.356 | 0.59–32.1 | 0.15 | |
| Concomitant CIS | No | - | ref | - | |||
| Yes | 1.769 | 0.91–3.42 | 0.09 | 0.529 | 0.12–2.22 | 0.39 | |
| Multiplicity | No | ref | - | ref | - | ||
| Yes | 2.963 | 1.62–5.39 | <0.001 | 3.256 | 1.38–7.65 | 0.007 | |
| Tumor size | ≤3cm | ref | - | ref | - | ||
| >3cm | 0.865 | 0.49–1.51 | 0.61 | 1.434 | 0.68–2.98 | 0.33 | |
| Previous history of NMIBC | LG | ref | - | ref | - | ||
| HG | 2.580 | 1.09–6.10 | 0.031 | 6.443 | 1.29–32.0 | 0.023 | |
| Primary | 1.010 | 0.51–1.99 | 0.97 | 3.468 | 0.81–14.8 | 0.093 | |
| Recurrent tumor | No | ref | - | ref | - | ||
| Yes | 1.394 | 0.80–2.40 | 0.23 | 0.790 | 0.34–1.78 | 0.57 | |
| Detrusor Muscle in the index TURBT | Yes | ref | - | ref | - | ||
| No | 1.124 | 0.62–2.02 | 0.69 | 0.749 | 0.30–1.84 | 0.53 | |
| ReTURBT pathology | T0 | ref | - | ref | - | ||
| T1HG | 2.922 | 1.37–6.19 | 0.005 | 3.240 | 1.27–8.25 | 0.014 | |
| TaHG | - | - | 0.98 | - | - | 0.99 | |
| TaLG | 1.086 | 0.14–8.21 | 0.93 | - | - | 0.99 | |
| Tis | 2.336 | 1.05–5.18 | 0.036 | 1.636 | 0.50–5.29 | 0.41 | |
| None | 2.111 | 1.05–4.23 | 0.035 | 1.365 | 0.51–3.59 | 0.53 | |
| Age | Years | 1.019 | 0.99–1.04 | 0.19 | 1.028 | 0.98–1.06 | 0.17 |
| Charlson comorbidity score | Points | 1.207 | 1.04–1.39 | 0.009 | 1.222 | 1.00–1.48 | 0.046 |
| Gender | Female | ref | - | ref | - | ||
| Male | 1.077 | 0.58–1.97 | 0.81 | 3.287 | 0.99–10.8 | 0.051 | |
| EORTC 2006 recurrence score | points | 1.191 | 1.08–1.30 | <0.001 | 1.193 | 1.05–1.35 | 0.007 |
| EORTC 2006 progression score | points | 1.151 | 1.07–1.23 | <0.001 | 1.123 | 1.02–1.23 | 0.015 |
| CUETO recurrence risk score | points | 1.120 | 1.02–1.22 | 0.012 | 0.954 | 0.83–1.09 | 0.49 |
| CUETO progression risk score | points | 1.243 | 1.10–1.40 | <0.001 | 1.190 | 1.00–1.40 | 0.039 |
| EAU 2021 progression risk groups | IR | ref | - | ref | - | ||
| HR | 1.872 | 0.73–4.78 | 0.19 | 2.410 | 0.55–10.3 | 0.24 | |
| VHR | 3.094 | 1.13–8.45 | 0.028 | 3.529 | 0.74–16.6 | 0.11 | |
| EAU 2019 risk groups | IR | ref | - | ref | - | ||
| HR | 0.310 | 0.04–2.32 | 0.25 | 1.057 | 0.12–8.80 | 0.95 | |
| VHR | 1.831 | 1.03–3.22 | 0.036 | 3.217 | 1.30–7.94 | 0.011 | |
| EORTC 2016 for recurrence | Group 1 | ref | - | ref | - | ||
| Group 2 | 1.784 | 0.87–3.62 | 0.11 | 1.111 | 0.38–3.24 | 0.037 | |
| Group 3 | 1.086 | 0.26–4.52 | 0.91 | 1.095 | 0.14–8.22 | 0.008 | |
| Group 4 | 2.017 | 0.85–4.78 | 0.11 | 1.195 | 0.28–5.10 | 0.057 | |
| EORTC 2016 for progression | TaG3/T1G2 | ref | - | ref | - | ||
| T1G3 | 1.794 | 0.94–3.41 | 0.07 | 3.042 | 1.05–8.79 | 0.039 | |
| T1G1/TaG2 | 0.464 | 0.06–3.57 | 0.46 | 1.542 | 0.17–13.8 | 0.69 | |
| TaG1 | 0.805 | 0.11–6.2 | 0.84 | - | - | - | |
| AUA risk stratification | IR | ref | - | ref | - | ||
| HR | 3.290 | 1.02–10.5 | 0.045 | 4.716 | 0.63–34.8 | 0.13 | |
| A. High-grade recurrence-free survival. | |||||
| Variable | HR | 95% CI | p-value | ||
| EORTC 2006 progression risk score | points | 1.103 | 1.027 | 1.185 | 0.007 |
| T0 | ref | ||||
| T1HG | 3.174 | 1.484 | 6.786 | 0.003 | |
| TaHG | - | - | - | - | |
| ReTURBT pathology | TaLG | 0.989 | 0.130 | 7.509 | 0.99 |
| Tis | 2.217 | 0.989 | 4.971 | 0.053 | |
| not performed | 2.034 | 0.910 | 4.550 | 0.084 | |
| Multiplicity | no | ref | |||
| yes | 2.071 | 1.093 | 3.925 | 0.026 | |
| Previous history of NMIBC | low-grade tumor | ref | |||
| high-grade tumor | 2.370 | 0.959 | 5.857 | 0.061 | |
| primary tumor | 1.361 | 0.612 | 3.024 | 0.45 | |
| B. Recurrence-free survival. | |||||
| Variable | HR | 95% CI | p-value | ||
| EORTC 2006 recurrence risk score | points | 1.185 | 1.085 | 1.293 | <0.001 |
| ReTURBT pathology | T0 | ref | |||
| T1HG | 2.672 | 1.387 | 5.147 | 0.003 | |
| TaHG | 0.728 | 0.098 | 5.408 | 0.75 | |
| TaLG | 0.480 | 0.064 | 3.589 | 0.47 | |
| Tis | 2.130 | 1.040 | 4.363 | 0.039 | |
| not performed | 1.916 | 0.947 | 3.876 | 0.07 | |
| Stage | Ta | ref | |||
| T1 | 1.696 | 0.860 | 3.342 | 0.12 | |
| C. Progression-free survival. | |||||
| Variable | HR | 95% CI | p-value | ||
| Stage and grade | TaG3 | ref | |||
| T1G3 | 5.703 | 1.197 | 27.176 | 0.028 | |
| T1G1/G2 | 1.252 | 0.167 | 9.372 | 0.83 | |
| TaG1/G2 | 2.838 | 0.206 | 39.076 | 0.43 | |
| ReTURBT pathology | T0 | ref | |||
| T1HG | 3.856 | 1.483 | 10.024 | 0.006 | |
| TaHG | - | - | - | - | |
| TaLG | - | - | - | - | |
| Tis | 2.149 | 0.637 | 7.258 | 0.22 | |
| not performed | 3.194 | 0.987 | 10.334 | 0.053 | |
| Multiplicity | no | ref | |||
| yes | 4.092 | 1.670 | 10.025 | 0.002 | |
| Previous history of NMIBC | low-grade tumor | ref | |||
| high-grade tumor | 10.292 | 1.758 | 60.258 | 0.01 | |
| primary tumor | 6.910 | 1.220 | 39.128 | 0.029 | |
Disclaimer/Publisher’s Note: The statements, opinions and data contained in all publications are solely those of the individual author(s) and contributor(s) and not of MDPI and/or the editor(s). MDPI and/or the editor(s) disclaim responsibility for any injury to people or property resulting from any ideas, methods, instructions or products referred to in the content. |
© 2024 by the authors. Licensee MDPI, Basel, Switzerland. This article is an open access article distributed under the terms and conditions of the Creative Commons Attribution (CC BY) license (https://creativecommons.org/licenses/by/4.0/).
Share and Cite
Ślusarczyk, A.; Garbas, K.; Pustuła, P.; Zapała, Ł.; Radziszewski, P. Assessing the Predictive Accuracy of EORTC, CUETO and EAU Risk Stratification Models for High-Grade Recurrence and Progression after Bacillus Calmette–Guérin Therapy in Non-Muscle-Invasive Bladder Cancer. Cancers 2024, 16, 1684. https://doi.org/10.3390/cancers16091684
Ślusarczyk A, Garbas K, Pustuła P, Zapała Ł, Radziszewski P. Assessing the Predictive Accuracy of EORTC, CUETO and EAU Risk Stratification Models for High-Grade Recurrence and Progression after Bacillus Calmette–Guérin Therapy in Non-Muscle-Invasive Bladder Cancer. Cancers. 2024; 16(9):1684. https://doi.org/10.3390/cancers16091684
Chicago/Turabian StyleŚlusarczyk, Aleksander, Karolina Garbas, Patryk Pustuła, Łukasz Zapała, and Piotr Radziszewski. 2024. "Assessing the Predictive Accuracy of EORTC, CUETO and EAU Risk Stratification Models for High-Grade Recurrence and Progression after Bacillus Calmette–Guérin Therapy in Non-Muscle-Invasive Bladder Cancer" Cancers 16, no. 9: 1684. https://doi.org/10.3390/cancers16091684
APA StyleŚlusarczyk, A., Garbas, K., Pustuła, P., Zapała, Ł., & Radziszewski, P. (2024). Assessing the Predictive Accuracy of EORTC, CUETO and EAU Risk Stratification Models for High-Grade Recurrence and Progression after Bacillus Calmette–Guérin Therapy in Non-Muscle-Invasive Bladder Cancer. Cancers, 16(9), 1684. https://doi.org/10.3390/cancers16091684

