Real-World Outcome and Prognostic Factors in MDS Patients Treated with Azacitidine—A Retrospective Analysis
Abstract
Simple Summary
Abstract
1. Introduction
2. Patients and Methods
2.1. Patients
2.2. Treatment
2.3. Data Collection
2.4. Response and Outcome Criteria
2.5. Safety Assessment
2.6. Statistical Analysis
3. Results
3.1. Patient Characteristics
3.2. Response and Outcome
3.3. Safety
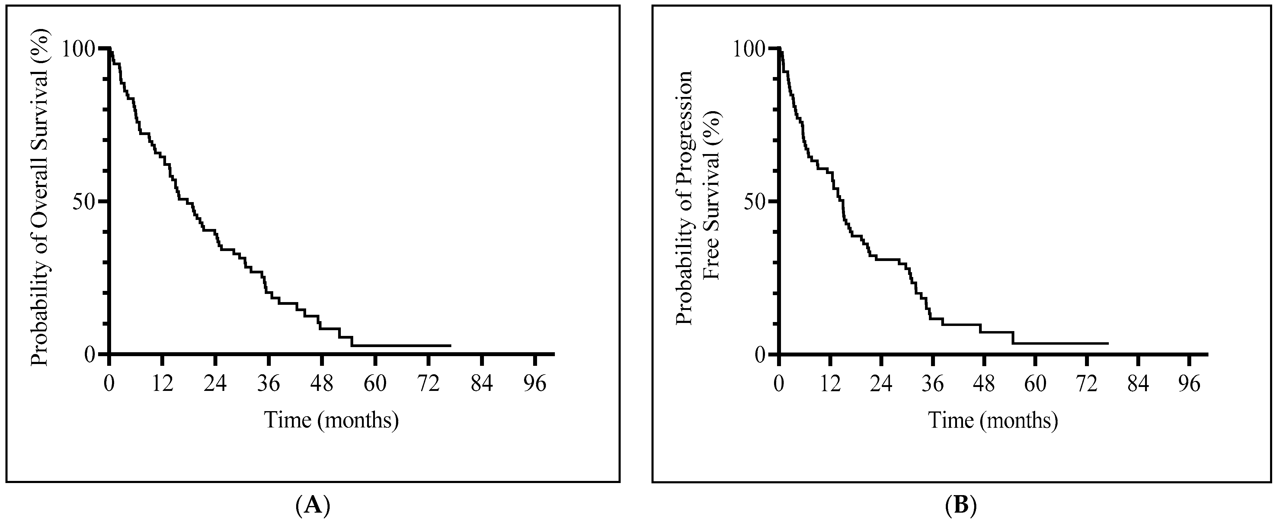
3.4. Overall Survival and Prognostic Factors
4. Discussion
5. Conclusions
Supplementary Materials
Author Contributions
Funding
Institutional Review Board Statement
Informed Consent Statement
Data Availability Statement
Conflicts of Interest
References
- Fenaux, P.; Haase, D.; Santini, V.; Sanz, G.F.; Platzbecker, U.; Mey, U. Myelodysplastic syndromes: ESMO Clinical Practice Guidelines for diagnosis, treatment and follow-up. Ann. Oncol. 2021, 32, 142–156. [Google Scholar] [CrossRef]
- Silverman, L.R.; McKenzie, D.R.; Peterson, B.L.; Holland, J.F.; Backstrom, J.T.; Beach, C.L.; Larson, R.A.; Cancer and Leukemia Group B. Further analysis of trials with azacitidine in patients with myelodysplastic syndrome: Studies 8421, 8921, and 9221 by the Cancer and Leukemia Group B. J. Clin. Oncol. 2006, 24, 3895–3903. [Google Scholar] [CrossRef] [PubMed]
- Silverman, L.R.; Demakos, E.P.; Peterson, B.L.; Kornblith, A.B.; Holland, J.C.; Odchimar-Reissig, R.; Stone, R.M.; Nelson, D.; Powell, B.L.; DeCastro, C.M. Randomized controlled trial of azacitidine in patients with the myelodysplastic syndrome: A study of the cancer and leukemia group B. J. Clin. Oncol. 2002, 20, 2429–2440. [Google Scholar] [CrossRef] [PubMed]
- Fenaux, P.; Mufti, G.J.; Hellstrom-Lindberg, E.; Santini, V.; Finelli, C.; Giagounidis, A.; Schoch, R.; Gattermann, N.; Sanz, G.; List, A.; et al. International Vidaza High-Risk MDS Survival Study Group. Efficacy of azacitidine compared with that of conventional care regimens in the treatment of higher-risk myelodysplastic syndromes: A randomised, open-label, phase III study. Lancet Oncol. 2009, 10, 223–232. [Google Scholar] [CrossRef] [PubMed]
- Kornblith, A.B.; Herndon, J.E.; Silverman, L.R.; Demakos, E.P.; Odchimar-Reissig, R.; Holland, J.F.; Powell, B.L.; DeCastro, C.; Ellerton, J.; Larson, R.A.; et al. Impact of azacytidine on the quality of life of patients with myelodysplastic syndrome treated in a randomized phase III trial: A Cancer and Leukemia Group B study. J. Clin. Oncol. 2002, 20, 2441–2452. [Google Scholar] [CrossRef]
- Santini, V. How I treat MDS after hypomethylating agent failure. Blood 2019, 133, 521–529. [Google Scholar] [CrossRef]
- Mozessohn, L.; Cheung, M.C.; Fallahpour, S.; Gill, T.; Maloul, A.; Zhang, L.; Lau, O.; Buckstein, R. Azacitidine in the ‘real-world’: An evaluation of 1101 higher-risk myelodysplastic syndrome/low blast count acute myeloid leukaemia patients in Ontario, Canada. Br. J. Haematol. 2018, 181, 803–815. [Google Scholar] [CrossRef]
- Itzykson, R.; Thépot, S.; Quesnel, B.; Dreyfus, F.; Beyne-Rauzy, O.; Turlure, P.; Vey, N.; Recher, C.; Dartigeas, C.; Legros, L.; et al. Prognostic factors for response and overall survival in 282 patients with higher-risk myelodysplastic syndromes treated with azacitidine. Blood 2011, 117, 403–411. [Google Scholar] [CrossRef] [PubMed]
- van der Helm, L.H.; Alhan, C.; Wijermans, P.W.; van Marwijk Kooy, M.; Schaafsma, R.; Biemond, B.J.; Beeker, A.; Hoogendoorn, M.; van Rees, B.P.; de Weerdt, O.; et al. Platelet doubling after the first azacitidine cycle is a promising predictor for response in myelodysplastic syndromes, chronic myelomonocytic leukaemia and acute myeloid leukemia patients in the Dutch azacitidine compassionate named patient programme. Br. J. Hematol. 2011, 155, 599–606. [Google Scholar] [CrossRef]
- Traina, F.; Visconte, V.; Elson, P.; Tabarroki, A.; Jankowska, A.M.; Hasrouni, E.; Sugimoto, Y.; Szpurka, H.; Makishima, H.; O’Keefe, C.L.; et al. Impact of molecular mutations on treatment response to DNMT inhibitors in myelodysplasia and related neoplasms. Leukemia 2014, 28, 78–87. [Google Scholar] [CrossRef]
- Jung, S.H.; Kim, Y.J.; Yim, S.H.; Kim, H.J.; Kwon, Y.R.; Hur, E.H.; Goo, B.K.; Choi, Y.S.; Lee, S.H.; Chung, Y.J.; et al. Somatic mutations predict outcomes of hypomethylating therapy in patients with myelodysplastic syndrome. Oncotarget 2016, 7, 55264–55275. [Google Scholar] [CrossRef]
- Delgado, R.; de Miguel, D.; Bailen, A.; Gonzales, J.R.; Bargay, J.; Falantes, J.F.; Andreu, R.; Ramos, F.; Tormo, M.; Duarte, R.F.; et al. Multivariate analysis of the impact of pre-treatment serum ferritin level on response and overall survival in patients with myelodysplastic syndromes treated with azacitidine. Blood 2012, 120, 1710. [Google Scholar] [CrossRef]
- Moon, J.H.; Kim, S.N.; Kang, B.W.; Chae, Y.S.; Kim, J.G.; Baek, J.H.; Park, J.H.; Song, M.K.; Chung, J.S.; Won, J.H.; et al. Predictive value of pretreatment risk group and baseline LDH levels in MDS patients receiving azacitidine treatment. Ann. Hematol. 2010, 89, 681–689. [Google Scholar] [CrossRef]
- Itzykson, R.; Kosmider, O.; Cluzeau, T.; Mansat-De Mas, V.; Dreyfus, F.; Beyne-Rauzy, O.; Quesnel, B.; Vey, N.; Gelsi-Boyer, V.; Raynaud, S.; et al. Impact of TET2 mutations on response rate to azacitidine in myelodysplastic syndromes and low blast count acute myeloid leukemias. Leukemia 2011, 25, 1147–1152. [Google Scholar] [CrossRef] [PubMed]
- Bejar, R.; Lord, A.; Stevenson, K.; Bar-Natan, M.; Pérez-Ladaga, A.; Zaneveld, J.; Wang, H.; Caughey, B.; Stojanov, P.; Getz, G.; et al. TET2 mutations predict response to hypomethylating agents in myelodysplastic syndrome patients. Blood 2014, 124, 2705–2712. [Google Scholar] [CrossRef] [PubMed]
- Kulasekararaj, A.G.; Smith, A.E.; Mian, S.A.; Mohamedali, A.M.; Krishnamurthy, P.; Lea, N.C.; Gäken, J.; Pennaneach, C.; Ireland, R.; Czepulkowski, B.; et al. TP53 mutations in myelodysplastic syndrome are strongly correlated with aberrations of chromosome 5, and correlate with adverse prognosis. Br. J. Haematol. 2013, 160, 660–672. [Google Scholar] [CrossRef] [PubMed]
- Bally, C.; Adès, L.; Renneville, A.; Sebert, M.; Eclache, V.; Preudhomme, C.; Mozziconacci, M.J.; de The, H.; Lehmann-Che, J.; Fenaux, P. Prognostic value of TP53 gene mutations in myelodysplastic syndromes and acute myeloid leukemia treated with azacitidine. Leuk. Res. 2014, 38, 751–755. [Google Scholar] [CrossRef] [PubMed]
- Müller-Thomas, C.; Thomas, C.; Rudelius, M.; Rondak, I.C.; Haferlach, T.; Schanz, J.; Huberle, C.; Schmidt, B.; Blaser, R.; Kremer, M.; et al. Response to azacitidine is independent of p53 expression in higher-risk myelodysplastic syndromes and secondary acute myeloid leukemia. Haematologica 2014, 99, e179–e181. [Google Scholar] [CrossRef] [PubMed]
- Coombs, C.C.; Sallman, D.A.; Devlin, S.M.; Dixit, S.; Mohanty, A.; Knapp, K.; Al Ali, N.H.; Lancet, J.E.; List, A.F.; Komrokji, R.S.; et al. Mutational correlates of response to hypomethylating agent therapy in acute myeloid leukemia. Haematologica 2016, 101, e457–e460. [Google Scholar] [CrossRef]
- Kulasekararaj, A.G.; Mohamedali, A.M.; Smith, A.E.; Lea, N.C.; Kizilors, A.; Abdallah, A.; Nasser, E.E.; Mian, S.; You, R.; Gaken, J.; et al. Polycomb complex group gene mutations and their prognostic relevance in 5-azacitidine treated myelodysplastic syndrome patients. Blood 2010, 116, 125. [Google Scholar] [CrossRef]
- Tobiasson, M.; McLornan, D.P.; Karimi, M.; Dimitriou, M.; Jansson, M.; Ben Azenkoud, A.; Jädersten, M.; Lindberg, G.; Abdulkadir, H.; Kulasekararaj, A.; et al. Mutations in histone modulators are associated with prolonged survival during azacitidine therapy. Oncotarget 2016, 7, 22103–22115. [Google Scholar] [CrossRef] [PubMed]
- Kuendgen, A.; Müller-Thomas, C.; Lauseker, M.; Haferlach, T.; Urbaniak, P.; Schroeder, T.; Brings, C.; Wulfert, M.; Meggendorfer, M.; Hildebrandt, B.; et al. Efficacy of azacitidine is independent of molecular and clinical characteristics—An analysis of 128 patients with myelodysplastic syndromes or acute myeloid leukemia and a review of the literature. Oncotarget 2018, 9, 27882–27894. [Google Scholar] [CrossRef] [PubMed]
- Cheson, B.D.; Greenberg, P.L.; Bennett, J.M.; Lowenberg, B.; Wijermans, P.W.; Nimer, S.D.; Pinto, A.; Beran, M.; de Witte, T.M.; Stone, R.M.; et al. Clinical application and proposal for modification of the International Working Group (IWG) response criteria in myelodysplasia. Blood 2006, 108, 419–425. [Google Scholar] [CrossRef] [PubMed]
- Greenberg, P.; Cox, C.; LeBeau, M.M.; Fenaux, P.; Morel, P.; Sanz, G.; Sanz, M.; Vallespi, T.; Hamblin, T.; Oscier, D.; et al. International scoring system for evaluating prognosis in myelodysplastic syndromes. Blood 1997, 89, 2079–2088. [Google Scholar] [CrossRef]
- Greenberg, P.L.; Tuechler, H.; Schanz, J.; Sanz, G.; Garcia-Manero, G.; Solé, F.; Bennett, J.M.; Bowen, D.; Fenaux, P.; Dreyfus, F.; et al. Revised International Prognostic Scoring System (IPSS-R) for Myelodysplastic Syndrome. Blood 2012, 120, 2454–2465. [Google Scholar] [CrossRef] [PubMed]
- Arber, D.A.; Orazi, A.; Hasserjian, R.; Thiele, J.; Borowitz, M.J.; Le Beau, M.M.; Bloomfield, C.D.; Cazzola, M.; Vardiman, J.W. The 2016 revision to the World Health Organization (WHO) classification of myeloid neoplasms and acute leukemia. Blood 2016, 127, 2391–2405. [Google Scholar] [CrossRef]
- Common Terminology Criteria for Adverse Events (CTCAE) Version 5; US Department of Health and Human Services: Washington, DC, USA; National Institutes of Health; National Cancer Institute: Bethesda, MD, USA, 2017.
- Helbig, G.; Chromik, K.; Woźniczka, K.; Kopińska, A.J.; Boral, K.; Dworaczek, M.; Koclęga, A.; Armatys, A.; Panz-Klapuch, M.; Markiewicz, M. Real Life Data on Efficacy and Safety of Azacitidine Therapy for Myelodysplastic Syndrome, Chronic Myelomonocytic Leukemia and Acute Myeloid Leukemia. Pathol. Oncol. Res. 2019, 25, 1175–1180. [Google Scholar] [CrossRef] [PubMed]
- Gore, S.D.; Fenaux, P.; Santini, V.; Bennett, J.M.; Silverman, L.R.; Seymour, J.F.; Hellström-Lindberg, E.; Swern, A.S.; Beach, C.L.; List, A.F. A multivariate analysis of the relationship between response and survival among patients with higher-risk myelodysplastic syndromes treated within azacitidine or conventional care regimens in the randomized AZA-001 trial. Haematologica 2013, 98, 1067–1072. [Google Scholar] [CrossRef] [PubMed]
- Beguin, Y.; Selleslag, D.; Meers, S.; Graux, C.; Bries, G.; Deeren, D.; Vrelust, I.; Ravoet, C.; Theunissen, K.; Voelter, V.; et al. Safety and efficacy of azacitidine in Belgian patients with high-risk myelodysplastic syndromes, acute myeloid leukaemia, or chronic myelomonocytic leukaemia: Results of a real-life, non-interventional post-marketing survey. Acta Clin. Belg. 2015, 70, 34–43. [Google Scholar] [CrossRef]
- Pleyer, L.; Burgstaller, S.; Girschikofsky, M.; Linkesch, W.; Stauder, R.; Pfeilstocker, M.; Schreder, M.; Tinchon, C.; Sliwa, T.; Lang, A.; et al. Azacitidine in 302 patients with WHO-defined acute myeloid leukemia: Results from the Austrian Azacitidine Registry of theAGMT-Study Group. Ann. Hematol. 2014, 93, 1825–1838. [Google Scholar] [CrossRef]
- Almeida, A.; Ferreira, A.R.; Costa, M.J.; Silva, S.; Alnajjar, K.; Bogalho, I.; Pierdomenico, F.; Esteves, S.; Alpoim, M.; Braz, G.; et al. Clinical outcomes of AML patients treated with Azacitidine in Portugal: A retrospective multicenter study. Leuk. Res. Rep. 2016, 7, 6–10. [Google Scholar] [CrossRef]
- Bernal, T.; Martínez-Camblor, P.; Sánchez-García, J.; de Paz, R.; Luño, E.; Nomdedeu, B.; Ardanaz, M.T.; Pedro, C.; Amigo, M.L.; Xicoy, B.; et al. Spanish Group on Myelodysplastic Syndromes; PETHEMA Foundation; Spanish Society of Hematology. Effectiveness of azacitidine in unselected high-risk myelodysplastic syndromes: Results from the Spanish registry. Leukemia 2015, 29, 1875–1881. [Google Scholar] [CrossRef] [PubMed]
- Fenaux, P.; Bowen, D.; Gattermann, N.; Hellström-Lindberg, E.; Hofmann, W.K.; Pfeilstöcker, M.; Sanz, G.; Santini, V. Practical use of azacitidine in higher-risk myelodysplastic syndromes: An expert panel opinion. Leuk. Res. 2010, 34, 1410–1416. [Google Scholar] [CrossRef] [PubMed]
- Lamarque, M.; Raynaud, S.; Itzykson, R.; Thepot, S.; Quesnel, B.; Dreyfus, F.; Rauzy, O.B.; Turlure, P.; Vey, N.; Recher, C.; et al. Revised-IPSS (IPSS-R) is a powerful tool to evaluate the outcome of MDS patient treated with azacitidine (AZA): The Groupe Francophone Des Myelodysplasies (GFM) Experience. Blood 2012, 120, 422. [Google Scholar] [CrossRef] [PubMed][Green Version]
- Zeidan, A.M.; Lee, J.W.; Prebet, T.; Greenberg, P.; Sun, Z.; Juckett, M.; Smith, M.R.; Paietta, E.; Gabrilove, J.; Erba, H.P.; et al. Comparison of the prognostic utility of the revised International Prognostic Scoring System and the French Prognostic Scoring System in azacitidine-treated patients with myelodysplastic syndromes. Br. J. Haematol. 2014, 166, 352–359. [Google Scholar] [CrossRef] [PubMed]
- Cluzeau, T.; Mounier, N.; Karsenti, J.M.; Richez, V.; Legros, L.; Gastaud, L.; Garnier, G.; Re, D.; Montagne, N.; Gutnecht, J.; et al. Monosomal karyotype improves IPSS-R stratification in MDS and AML patients treated with Azacitidine. Am. J. Hematol. 2013, 88, 780–783. [Google Scholar] [CrossRef]
- Hwang, K.L.; Song, M.K.; Shin, H.J.; Na, H.J.; Shin, D.H.; Kim, J.K.; Moon, J.H.; Ahn, J.S.; Song, I.C.; Hong, J.; et al. Monosomal and complex karyotypes as prognostic parameters in patients with International Prognostic Scoring System higher risk myelodysplastic syndrome treated with azacitidine. Blood Res. 2014, 49, 234–240. [Google Scholar] [CrossRef] [PubMed][Green Version]
- Scalzulli, E.; Molica, M.; Alunni Fegatelli, D.; Colafigli, G.; Rizzo, L.; Mancini, M.; Efficace, F.; Latagliata, R.; Foà, R.; Breccia, M. Identification of predictive factors for overall survival at baseline and during azacitidine treatment in high-risk myelodysplastic syndrome patients treated in the clinical practice. Ann. Hematol. 2019, 98, 1919–1925. [Google Scholar] [CrossRef] [PubMed]
- Gattermann, N. Iron overload in myelodysplastic syndromes (MDS). Int. J. Hematol. 2018, 107, 55–63. [Google Scholar] [CrossRef] [PubMed]
- Laribi, K.; Bolle, D.; Alani, M.; Ghnaya, H.; Le Bourdelles, S.; Besançon, A.; Farhi, J.; Denizon, N.; Baugier de Materre, A. Prognostic impact of elevated pretreatment serum ferritin in patients with high-risk MDS treated with azacitidine. Exp. Hematol. 2018, 65, 34–37. [Google Scholar] [CrossRef]
- Mądry, K.; Lis, K.; Biecek, P.; Młynarczyk, M.; Rytel, J.; Górka, M.; Kacprzyk, P.; Dutka, M.; Rodzaj, M.; Bołkun, Ł.; et al. Predictive Model for Infection Risk in Myelodysplastic Syndromes, Acute Myeloid Leukemia, and Chronic Myelomonocytic Leukemia Patients Treated With Azacitidine; Azacitidine Infection Risk Model: The Polish Adult Leukemia Group Study. Clin. Lymphoma Myeloma Leuk. 2019, 19, 264–274.e4. [Google Scholar] [CrossRef] [PubMed]
- Schuck, A.; Goette, M.C.; Neukirchen, J.; Kuendgen, A.; Gattermann, N.; Schroeder, T.; Kobbe, G.; Germing, U.; Haas, R. A retrospective study evaluating the impact of infectious complications during azacitidine treatment. Ann. Hematol. 2017, 96, 1097–1104. [Google Scholar] [CrossRef] [PubMed]
- Merkel, D.; Filanovsky, K.; Gafter-Gvili, A.; Vidal, L.; Aviv, A.; Gatt, M.E.; Silbershatz, I.; Herishanu, Y.; Arad, A.; Tadmor, T.; et al. Predicting infections in high-risk patients with myelodysplastic syndrome/acute myeloid leukemia treated with azacitidine: A retrospective multicenter study. Am. J. Hematol. 2013, 88, 130–134. [Google Scholar] [CrossRef] [PubMed]
- Trubiano, J.A.; Dickinson, M.; Thursky, K.A.; Spelman, T.; Seymour, J.F.; Slavin, M.A. Incidence, etiology and timing of infections following azacitidine therapy for myelodysplastic syndromes. Leuk. Lymphoma 2017, 58, 2379–2386. [Google Scholar] [CrossRef] [PubMed]

| Parameter | Value |
|---|---|
| Median age (range) in years | 69 (42–89) |
| Gender | |
| Female | 34 (43%) |
| Male | 45 (57%) |
| WHO diagnosis | |
| MDS-MLD | 6 (7.6%) |
| MDS-RS | 1 (1.3%) |
| MDS-EB1 | 26 (32.9%) |
| MDS-EB2 | 40 (50.6%) |
| MDS 5q− | 1 (1.3%) |
| t-MDS | 5 (6.3%) |
| WBC (G/L) | |
| Median (range) | 2.25 (0.1–17.7) |
| ANC (G/L) | |
| Median (range) | 0.88 (0.01–10.8) |
| PLT (G/L) | |
| Median (range) | 63 (7–343) |
| HGB (g/dL) | |
| Median (range) | 7.8 (4.2–13.8) |
| LDH (U/L) | |
| Median (range) | 402.5 (162–1426) |
| Serum ferritin (ng/mL) | |
| Median (range) | 480 (12.3–10,410) |
| Transfusion dependence | |
| RBC-TD | 42 (53.2%) |
| RBC-TD + PLT-TD | 14 (17.7%) |
| Transfusion independent | 23 (29.1%) |
| Bone marrow blasts | |
| Median (range) | 9.9 (0.6–19) |
| Peripheral blood blasts | |
| Present | 28 (35.4%) |
| Absent | 42 (53.2%) |
| Unknown | 9 (11.4%) |
| IPSS risk group | |
| Intermediate-1 | 20 (25.3%) |
| Intermediate-2 | 45 (57%) |
| High | 14 (17.7%) |
| IPSS-R risk group | |
| Intermediate-2 | 16 (20.3%) |
| High | 29 (36.7%) |
| Very high | 34 (43%) |
| Cytogenetic risk (IPSS) | |
| Good | 37 (46.8%) |
| Intermediate | 9 (11.4%) |
| Poor | 27 (34.2%) |
| Unknown | 6 (7.6%) |
| Cytogenetic risk (IPSS-R) | |
| Very good | 1 (1.3%) |
| Good | 36 (45.6%) |
| Intermediate | 9 (11.4%) |
| Poor | 6 (7.6%) |
| Very poor | 21 (26.6%) |
| Unknown | 6 (7.6%) |
| Complex karyotype | |
| Yes | 22 (27.9%) |
| No | 51 (64.6%) |
| Unknown | 6 (7.6%) |
| Monosomal karyotype | |
| Yes | 17 (21.5%) |
| No | 56 (70.9%) |
| Unknown | 6 (7.6%) |
| HCT-CI | |
| Median (range) | 1 (0–7) |
| BMI | 25.7 |
| Median (range) | (18.0–36.1) |
| Parameter | Value |
|---|---|
| Time to treatment onset (months) | |
| Median (range) | 1 (0–69) |
| Number of cycles | |
| Median (range) | 6 (1–34) |
| Treatment duration (months) | |
| Median (range) | 6 (1–37) |
| Time to best response (AZA cycles) | |
| Median (range) | 6 (1–12) |
| Response status, n (%) | |
| ORR (CR + PR + HI) | 19 (24%) |
| CR | 11 (13.9%) |
| PR | 2 (2.5%) |
| HI | 6 (7.6%) |
| SD | 32 (40.5%) |
| PD | 16 (20.3%) |
| Unknown | 12 (15.2%) |
| HI, n (%) | 6 (7.6%) |
| HI-E | 5 (6.3%) |
| HI-P | 2 (2.5%) |
| HI-N | 1 (1.3%) |
| Transfusion independence | |
| Yes | 14 (25%) |
| No | 42 (75%) |
| Variable, n (%) | Total Events | Grade 1–2 | Grade 3–4 |
|---|---|---|---|
| Hematological toxicity | 28 (35.4%) | 3 (3.8%) | 25 (31.2%) |
| Neutropenia | 16 (20.3%) | 0 (0%) | 16 (20.3%) |
| Thrombocytopenia | 9 (11.4%) | 2 (2.5%) | 7 (8.9%) |
| Anemia | 3 (3.8%) | 1 (1.3%) | 2 (2.5%) |
| Non-hematological toxicity | 30 (38%) | 23 (29.1%) | 7 (8.9%) |
| Injection site reaction | 17 (21.5%) | 17 (21.5%) | 0 (0%) |
| Gastrointestinal | 6 (7.6%) | 6 (7.6%) | 0 (0%) |
| Bleeding events | 6 (7.6%) | 2 (2.5%) | 4 (5.1%) |
| Heart arrhythmias | 4 (5.1%) | 4 (5.1%) | 0 (0%) |
| Acute kidney injury | 3 (3.8%) | 3 (3.8%) | 0 (0%) |
| Transaminases increase | 2 (2.5%) | 0 (0%) | 2 (2.5%) |
| Other | 3 (3.8%) | 1 (1.3%) | 2 (2.5%) |
| Infectious complications | Total events | Grade 3–5 | |
| Total | 55 (69.6%) | 38 (48.1%) | |
| Pneumonia | 23 (29.1%) | 21 (26.6%) | |
| Upper respiratory tract infection | 15 (19%) | 5 (6.3%) | |
| Neutropenic fever | 14 (17.7%) | 11 (13.9%) | |
| Skin and soft tissue infection | 12 (15.2%) | 5 (6.3%) | |
| Diarrhea | 8 (10.1%) | 3 (3.8%) | |
| Urinary tract infection | 7 (8.9%) | 3 (3.8%) | |
| Sepsis | 3 (3.8%) | 3 (3.8%) | |
| Bacteriemia | 2 (2.5%) | 0 (0%) | |
| Other | 10 (12.7%) | 5 (6.3%) | |
| Parameter | OS | PFS | ||||
|---|---|---|---|---|---|---|
| Median (Months) | 95% CI | p | Median (Months) | 95% CI | p | |
| Gender | 0.29 | 0.36 | ||||
| Male | 17.6 | 11.5–28.1 | 15.0 | 6.8–28.1 | ||
| Female | 17.3 | 10.2–23.8 | 13.6 | 6.1–19.8 | ||
| Age | 0.099 | 0.0099 | ||||
| <65 | 28.1 | 19–38.3 | 24.4 | 9.0–34.5 | ||
| 65–74 | 13.6 | 9.0–15.7 | 12.5 | 5.6–15.0 | ||
| ≥75 | 17.9 | 3.4–30.6 | 16.0 | 2.5–22.8 | ||
| WHO diagnosis | 0.89 | 0.96 | ||||
| MDS-MLD | 24.7 | 3.4–NE | 18.8 | 3.4–NE | ||
| MDS-RS | 15.7 | NE | 15.7 | NE | ||
| MDS EB-1 | 14.8 | 10.2–23.8 | 13.3 | 5.7–21.0 | ||
| MDS-EB-2 | 19.4 | 9.0–25.3 | 12.8 | 6.3–20.7 | ||
| MDS 5q− | 18.8 | NE | 17.1 | NE | ||
| t-MDS | 15.8 | 4.0–NE | 15.1 | 4.0–NE | ||
| IPSS risk group | 0.001 | 0.0005 | ||||
| Intermediate-1 | 30.6 | 12.5–35.2 | 29.7 | 12.5–34.5 | ||
| Intermediate-2 | 19.0 | 11.5–25.3 | 15.1 | 7.7–20.7 | ||
| High | 8.6 | 5.5–15.0 | 6.6 | 1.0–12.5 | ||
| IPSS-R risk group | 0.01 | 0.0069 | ||||
| Intermediate | 25.0 | 10.2–35.2 | 23.4 | 6.1–32.0 | ||
| High | 28.1 | 14.3–35.4 | 22.8 | 13.8–32.0 | ||
| Very high | 12.0 | 5.8–15.8 | 7.3 | 3.9–13.8 | ||
| Cytogenetic risk (IPSS) | 0.0014 | 0.016 | ||||
| Good | 30.6 | 19.0–35.4 | 29.7 | 13.8–32.0 | ||
| Intermediate | 19.8 | 0.3–NE | 12.5 | 0.3–NE | ||
| Poor | 11.5 | 5.6–15.7 | 6.8 | 3.4–15.0 | ||
| Cytogenetic risk (IPSS-R) | 0.0023 | 0.012 | ||||
| Very good | 36.7 | NE | 32.0 | NE | ||
| Good | 29.4 | 18.8–35.4 | 28.1 | 13.8–33.3 | ||
| Intermediate | 23.8 | 5.5–NE | 7.0 | 3.9–NE | ||
| Poor | 6.2 | 0.3–NE | 6.0 | 0.3–NE | ||
| Very poor | 13.6 | 3.4–15.7 | 11.3 | 3.3–15.1 | ||
| Complex karyotype | 0.003 | 0.017 | ||||
| Yes | 12.7 | 3.4–15.8 | 11.4 | 3.3–15.2 | ||
| No | 24.3 | 13.8–35.0 | 17.1 | 11.3–31.0 | ||
| Monosomal karyotype | <0.001 | 0.006 | ||||
| Yes | 6.8 | 2.6–15.7 | 6.8 | 1.1–15.1 | ||
| No | 24.0 | 15.0–32.0 | 17.1 | 12.5–29.7 | ||
| Peripheral blood blasts | 0.71 | 0.54 | ||||
| Present | 18.9 | 9.1–24.3 | 11.0 | 5.7–17.1 | ||
| Absent | 20.4 | 13.8–30.6 | 15.3 | 12.8–281 | ||
| BMI | 0.49 | 0.36 | ||||
| 18.50< | 19.3 | NE | 12.8 | NE | ||
| 18.50–24.99 | 20.2 | 10.2–34.4 | 16.7 | 6.3–29.7 | ||
| 25–29.99 | 18.2 | 13.6–28.1 | 15.2 | 9.1–28.1 | ||
| >30 | 12.5 | 6.1–19.0 | 7.7 | 3.3–13.8 | ||
| Transfusion dependence | 0.54 | 0.6 | ||||
| RBC-TD | 14.6 | 10.4–21.0 | 13.8 | 7.0–17.1 | ||
| RBC-TD + PLT-TD | 14.1 | 2.3–38.3 | 14.1 | 2.3–38.3 | ||
| TI | 24.3 | 15.0–30.8 | 16.3 | 6.0–30.6 | ||
| Serum ferritin (ng/mL) | 0.07 | 0.007 | ||||
| <500 | 19.3 | 9.7–28.1 | 15.0 | 6.8–21.3 | ||
| 500–750 | 20.1 | 2.5–42.3 | 15.4 | 2.5–31.0 | ||
| 750–1000 | 6.4 | 0.8–18.8 | 4.4 | 0.8–17.1 | ||
| 1000–2000 | 24.4 | 5.6–NE | 21.8 | 5.6.–NE | ||
| >2000 | 5.7 | 0.3–NE | 4.9 | 0.3–NE | ||
| Parameter | PFS | ||
|---|---|---|---|
| HR | 95% CI | p | |
| Age (years) | 1.05 | 1.02–1.08 | 0.001 |
| IPSS risk | 1.77 | 1.08–2.9 | 0.02 |
| Cytogenetic risk (IPSS) | 1.76 | 1.23–2.51 | 0.002 |
| Serum ferritin (ng/mL) | 1.00025 | 1.00006–1.0004 | 0.008 |
| OS | |||
| Age (years) | 1.02 | 1–1.05 | 0.047 |
| IPSS risk | 1.71 | 1.11–2.63 | 0.014 |
| Cytogenetic risk (IPSS-R) | 1.41 | 1.12–1.78 | 0.004 |
Disclaimer/Publisher’s Note: The statements, opinions and data contained in all publications are solely those of the individual author(s) and contributor(s) and not of MDPI and/or the editor(s). MDPI and/or the editor(s) disclaim responsibility for any injury to people or property resulting from any ideas, methods, instructions or products referred to in the content. |
© 2024 by the authors. Licensee MDPI, Basel, Switzerland. This article is an open access article distributed under the terms and conditions of the Creative Commons Attribution (CC BY) license (https://creativecommons.org/licenses/by/4.0/).
Share and Cite
Wiśniewski, K.; Pruszczyk-Matusiak, K.; Puła, B.; Lech-Marańda, E.; Góra-Tybor, J. Real-World Outcome and Prognostic Factors in MDS Patients Treated with Azacitidine—A Retrospective Analysis. Cancers 2024, 16, 1333. https://doi.org/10.3390/cancers16071333
Wiśniewski K, Pruszczyk-Matusiak K, Puła B, Lech-Marańda E, Góra-Tybor J. Real-World Outcome and Prognostic Factors in MDS Patients Treated with Azacitidine—A Retrospective Analysis. Cancers. 2024; 16(7):1333. https://doi.org/10.3390/cancers16071333
Chicago/Turabian StyleWiśniewski, Kamil, Katarzyna Pruszczyk-Matusiak, Bartosz Puła, Ewa Lech-Marańda, and Joanna Góra-Tybor. 2024. "Real-World Outcome and Prognostic Factors in MDS Patients Treated with Azacitidine—A Retrospective Analysis" Cancers 16, no. 7: 1333. https://doi.org/10.3390/cancers16071333
APA StyleWiśniewski, K., Pruszczyk-Matusiak, K., Puła, B., Lech-Marańda, E., & Góra-Tybor, J. (2024). Real-World Outcome and Prognostic Factors in MDS Patients Treated with Azacitidine—A Retrospective Analysis. Cancers, 16(7), 1333. https://doi.org/10.3390/cancers16071333

