Immune-Modified Glasgow Prognostic Score Predicts Therapeutic Effect of Pembrolizumab in Recurrent and Metastatic Head and Neck Cancer
Simple Summary
Abstract
1. Introduction
2. Materials and Methods
2.1. Patients
2.2. Data Collection and Endpoints
2.3. Statistical Analysis
3. Results
3.1. Patient Characteristics
3.2. A Predictive Marker for the Therapeutic Effect of Pembrolizumab
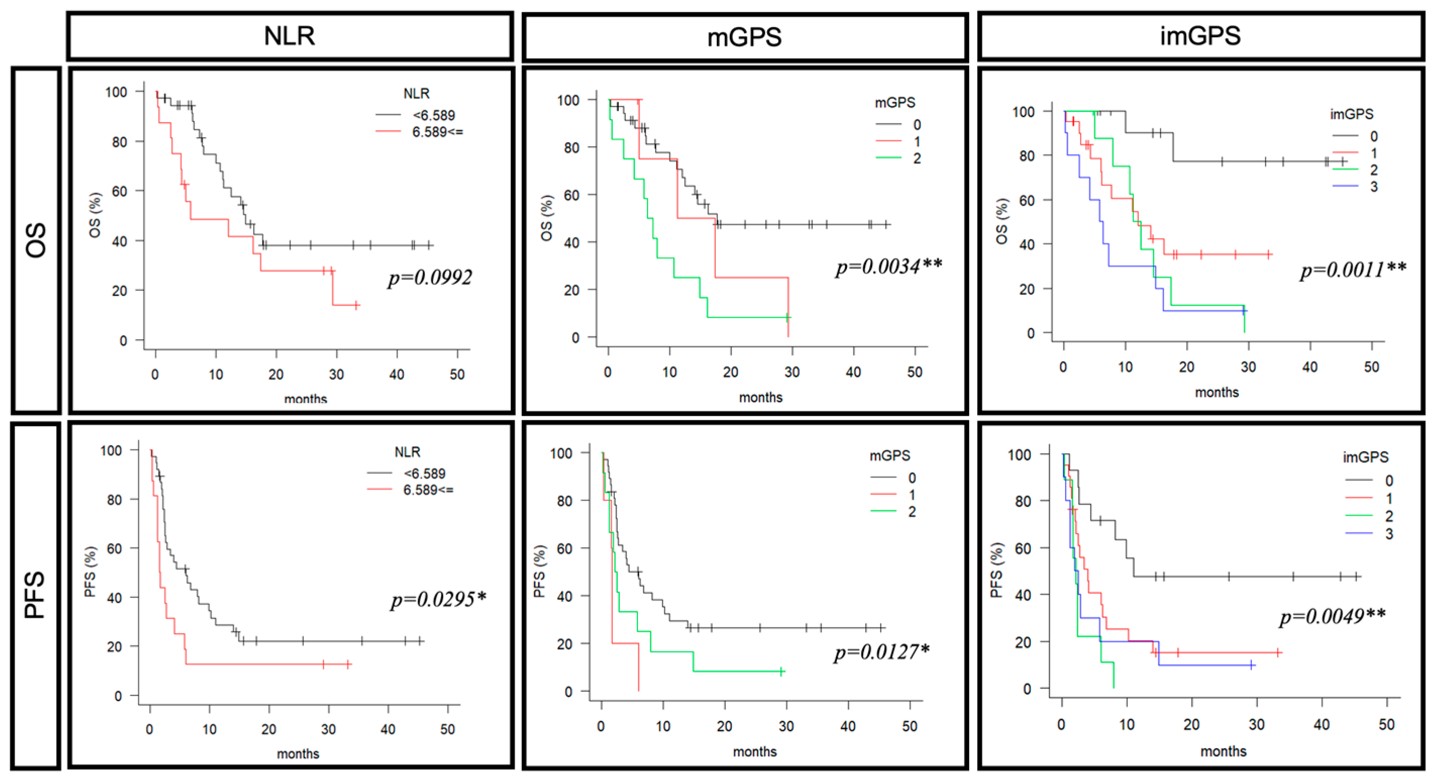
3.3. A Predictive Marker for Prognosis of Pembrolizumab
4. Discussion
5. Conclusions
Supplementary Materials
Author Contributions
Funding
Institutional Review Board Statement
Informed Consent Statement
Data Availability Statement
Conflicts of Interest
References
- Vermorken, J.B.; Mesia, R.; Rivera, F.; Remenar, E.; Kawecki, A.; Rottey, S.; Erfan, J.; Zabolotnyy, D.; Kienzer, H.R.; Cupissol, D.; et al. Platinum-based chemotherapy plus cetuximab in head and neck cancer. N. Engl. J. Med. 2008, 359, 1116–1127. [Google Scholar] [CrossRef] [PubMed]
- Cohen, E.E.W.; Soulières, D.; Le Tourneau, C.; Dinis, J.; Licitra, L.; Ahn, M.J.; Soria, A.; Machiels, J.P.; Mach, N.; Mehra, R.; et al. Pembrolizumab versus methotrexate, docetaxel, or cetuximab for recurrent or metastatic head-and-neck squamous cell carcinoma (KEYNOTE-040): A randomised, open-label, phase 3 study. Lancet 2019, 393, 156–167. [Google Scholar] [CrossRef] [PubMed]
- Burtness, B.; Rischin, D.; Greil, R.; Soulières, D.; Tahara, M.; de Castro, G., Jr.; Psyrri, A.; Brana, I.; Basté, N.; Neupane, P.; et al. Pembrolizumab Alone or With Chemotherapy for Recurrent/Metastatic Head and Neck Squamous Cell Carcinoma in KEYNOTE-048: Subgroup Analysis by Programmed Death Ligand-1 Combined Positive Score. J. Clin. Oncol. 2022, 40, 2321–2332. [Google Scholar] [CrossRef]
- Frampton, G.M.; Fichtenholtz, A.; Otto, G.A.; Wang, K.; Downing, S.R.; He, J.; Schnall-Levin, M.; White, J.; Sanford, E.M.; An, P.; et al. Development and validation of a clinical cancer genomic profiling test based on massively parallel DNA sequencing. Nat. Biotechnol. 2013, 31, 1023–1031. [Google Scholar] [CrossRef]
- Chalmers, Z.R.; Connelly, C.F.; Fabrizio, D.; Gay, L.; Ali, S.M.; Ennis, R.; Schrock, A.; Campbell, B.; Shlien, A.; Chmielecki, J.; et al. Analysis of 100,000 human cancer genomes reveals the landscape of tumor mutational burden. Genome Med. 2017, 9, 34. [Google Scholar] [CrossRef]
- Marabelle, A.; Fakih, M.; Lopez, J.; Shah, M.; Shapira-Frommer, R.; Nakagawa, K.; Chung, H.C.; Kindler, H.L.; Lopez-Martin, J.A.; Miller, W.H., Jr.; et al. Association of tumour mutational burden with outcomes in patients with advanced solid tumours treated with pembrolizumab: Prospective biomarker analysis of the multicohort, open-label, phase 2 KEYNOTE-158 study. Lancet Oncol. 2020, 21, 1353–1365. [Google Scholar] [CrossRef]
- Kuroki, M.; Iinuma, R.; Okuda, H.; Terazawa, K.; Shibata, H.; Mori, K.I.; Ohashi, T.; Makiyama, A.; Futamura, M.; Miyazaki, T.; et al. Comprehensive Genome profile testing in head and neck cancer. Auris Nasus Larynx 2023, 50, 952–959. [Google Scholar] [CrossRef]
- Templeton, A.J.; McNamara, M.G.; Šeruga, B.; Vera-Badillo, F.E.; Aneja, P.; Ocaña, A.; Leibowitz-Amit, R.; Sonpavde, G.; Knox, J.J.; Tran, B.; et al. Prognostic role of neutrophil-to-lymphocyte ratio in solid tumors: A systematic review and meta-analysis. J. Natl. Cancer Inst. 2014, 106, dju124. [Google Scholar] [CrossRef]
- Guthrie, G.J.; Charles, K.A.; Roxburgh, C.S.; Horgan, P.G.; McMillan, D.C.; Clarke, S.J. The systemic inflammation-based neutrophil-lymphocyte ratio: Experience in patients with cancer. Crit. Rev. Oncol. Hematol. 2013, 88, 218–230. [Google Scholar] [CrossRef]
- Forrest, L.M.; McMillan, D.C.; McArdle, C.S.; Angerson, W.J.; Dunlop, D.J. Evaluation of cumulative prognostic scores based on the systemic inflammatory response in patients with inoperable non-small-cell lung cancer. Br. J. Cancer 2003, 89, 1028–1030. [Google Scholar] [CrossRef]
- Forrest, L.M.; McMillan, D.C.; McArdle, C.S.; Angerson, W.J.; Dunlop, D.J. Comparison of an inflammation-based prognostic score (GPS) with performance status (ECOG) in patients receiving platinum-based chemotherapy for inoperable non-small-cell lung cancer. Br. J. Cancer 2004, 90, 1704–1706. [Google Scholar] [CrossRef] [PubMed]
- Proctor, M.J.; Morrison, D.S.; Talwar, D.; Balmer, S.M.; O’Reilly, D.S.; Foulis, A.K.; Horgan, P.G.; McMillan, D.C. An inflammation-based prognostic score (mGPS) predicts cancer survival independent of tumour site: A Glasgow Inflammation Outcome Study. Br. J. Cancer 2011, 104, 726–734. [Google Scholar] [CrossRef] [PubMed]
- McMillan, D.C.; Crozier, J.E.; Canna, K.; Angerson, W.J.; McArdle, C.S. Evaluation of an inflammation-based prognostic score (GPS) in patients undergoing resection for colon and rectal cancer. Int. J. Color. Dis. 2007, 22, 881–886. [Google Scholar] [CrossRef]
- McMillan, D.C. The systemic inflammation-based Glasgow Prognostic Score: A decade of experience in patients with cancer. Cancer Treat. Rev. 2013, 39, 534–540. [Google Scholar] [CrossRef]
- Terazawa, K.; Ohashi, T.; Shibata, H.; Ishihara, T.; Ogawa, T. Immune-modified Glasgow prognostic score: A new prognostic marker for head and neck cancer. Head Neck 2022, 44, 2555–2563. [Google Scholar] [CrossRef]
- Wu, T.D.; Madireddi, S.; de Almeida, P.E.; Banchereau, R.; Chen, Y.J.; Chitre, A.S.; Chiang, E.Y.; Iftikhar, H.; O’Gorman, W.E.; Au-Yeung, A.; et al. Peripheral T cell expansion predicts tumour infiltration and clinical response. Nature 2020, 579, 274–278. [Google Scholar] [CrossRef]
- Lee, Y.J.; Park, Y.S.; Lee, H.W.; Park, T.Y.; Lee, J.K.; Heo, E.Y. Peripheral lymphocyte count as a surrogate marker of immune checkpoint inhibitor therapy outcomes in patients with non-small-cell lung cancer. Sci. Rep. 2022, 12, 626. [Google Scholar] [CrossRef]
- Tanizaki, J.; Haratani, K.; Hayashi, H.; Chiba, Y.; Nakamura, Y.; Yonesaka, K.; Kudo, K.; Kaneda, H.; Hasegawa, Y.; Tanaka, K.; et al. Peripheral Blood Biomarkers Associated with Clinical Outcome in Non-Small Cell Lung Cancer Patients Treated with Nivolumab. J. Thorac. Oncol. 2018, 13, 97–105. [Google Scholar] [CrossRef]
- Goldschmidt, J.H.; Chou, L.N.; Chan, P.K.; Chen, L.; Robert, N.; Kinsey, J.; Pitts, K.; Nestor, M.; Rock, E.P.; Lazarus, H.M. Real-world outcomes of 18,186 metastatic solid tumor outpatients: Baseline blood cell counts correlate with survival after immune checkpoint inhibitor therapy. Cancer Med. 2023, 12, 20783–20797. [Google Scholar] [CrossRef]
- Lee, K.H.; Kim, E.Y.; Yun, J.S.; Park, Y.L.; Do, S.I.; Chae, S.W.; Park, C.H. The prognostic and predictive value of tumor-infiltrating lymphocytes and hematologic parameters in patients with breast cancer. BMC Cancer 2018, 18, 938. [Google Scholar] [CrossRef]
- Matsuki, T.; Okamoto, I.; Fushimi, C.; Sawabe, M.; Kawakita, D.; Sato, H.; Tsukahara, K.; Kondo, T.; Okada, T.; Tada, Y.; et al. Hematological predictive markers for recurrent or metastatic squamous cell carcinomas of the head and neck treated with nivolumab: A multicenter study of 88 patients. Cancer Med. 2020, 9, 5015–5024. [Google Scholar] [CrossRef] [PubMed]
- Ueki, Y.; Takahashi, T.; Ota, H.; Shodo, R.; Yamazaki, K.; Horii, A. Predicting the treatment outcome of nivolumab in recurrent or metastatic head and neck squamous cell carcinoma: Prognostic value of combined performance status and modified Glasgow prognostic score. Eur. Arch. Otorhinolaryngol. 2020, 277, 2341–2347. [Google Scholar] [CrossRef] [PubMed]
- Niwa, K.; Kawakita, D.; Nagao, T.; Takahashi, H.; Saotome, T.; Okazaki, M.; Yamazaki, K.; Okamoto, I.; Hirai, H.; Saigusa, N.; et al. Multicentre, retrospective study of the efficacy and safety of nivolumab for recurrent and metastatic salivary gland carcinoma. Sci. Rep. 2020, 10, 16988. [Google Scholar] [CrossRef]
- Minohara, K.; Matoba, T.; Kawakita, D.; Takano, G.; Oguri, K.; Murashima, A.; Nakai, K.; Iwaki, S.; Hojo, W.; Matsumura, A.; et al. Novel Prognostic Score for recurrent or metastatic head and neck cancer patients treated with Nivolumab. Sci. Rep. 2021, 11, 16992. [Google Scholar] [CrossRef]
- Matsuo, M.; Yasumatsu, R.; Masuda, M.; Toh, S.; Wakasaki, T.; Hashimoto, K.; Jiromaru, R.; Manako, T.; Nakagawa, T. Inflammation-Based Prognostic Score as a Prognostic Biomarker in Patients with Recurrent and/or Metastatic Head and Neck Squamous Cell Carcinoma Treated with Nivolumab Therapy. In Vivo 2022, 36, 907–917. [Google Scholar] [CrossRef]
- Morimoto, H.; Tsujikawa, T.; Miyagawa-Hayashino, A.; Kimura, A.; Saburi, S.; Murakami, N.; Kitamoto, K.; Mukudai, S.; Nagao, H.; Saya, S.; et al. Neutrophil-to-lymphocyte ratio associates with nutritional parameters, intratumoral immune profiles, and clinical outcomes of pembrolizumab in head and neck squamous cell carcinoma. Head Neck 2024, 46, 1956–1964. [Google Scholar] [CrossRef]
- Lee, R.H.; Truong, A.; Wu, X.; Kang, H.; Algazi, A.P.; El-Sayed, I.H.; George, J.R.; Heaton, C.M.; Ryan, W.R.; Ha, P.K.; et al. The neutrophil-to-lymphocyte ratio in salivary gland cancers treated with pembrolizumab. Head Neck 2024, 46, 129–137. [Google Scholar] [CrossRef]
- Sakai, A.; Ebisumoto, K.; Iijima, H.; Yamauchi, M.; Teramura, T.; Yamazaki, A.; Watanabe, T.; Inagi, T.; Maki, D.; Okami, K. Chemotherapy following immune checkpoint inhibitors in recurrent or metastatic head and neck squamous cell carcinoma: Clinical effectiveness and influence of inflammatory and nutritional factors. Discov. Oncol. 2023, 14, 158. [Google Scholar] [CrossRef]
- Haas, M.; Lein, A.; Fuereder, T.; Schnoell, J.; Brkic, F.F.; Liu, D.T.; Kadletz-Wanke, L.; Heiduschka, G.; Jank, B.J. Early on-treatment C-reactive protein and its kinetics predict survival and response in recurrent and/or metastatic head and neck cancer patients receiving first-line pembrolizumab. Invest. New Drugs 2023, 41, 727–736. [Google Scholar] [CrossRef]
- Ho, W.J.; Yarchoan, M.; Hopkins, A.; Mehra, R.; Grossman, S.; Kang, H. Association between pretreatment lymphocyte count and response to PD1 inhibitors in head and neck squamous cell carcinomas. J. Immunother. Cancer 2018, 6, 84. [Google Scholar] [CrossRef]
- Park, J.C.; Durbeck, J.; Clark, J.R. Predictive value of peripheral lymphocyte counts for immune checkpoint inhibitor efficacy in advanced head and neck squamous cell carcinoma. Mol. Clin. Oncol. 2020, 13, 87. [Google Scholar] [CrossRef] [PubMed]




| mGPS | 0 | 1 | 2 | |||
|---|---|---|---|---|---|---|
| CRP | ≤1.0 | <1 | ||||
| ALB | - | ≦3.5 | <3.5 | |||
| imGPS | 0 | 1 | 2 | 3 | ||
| CRP | ≤1.0 | <1 | ||||
| ALB | - | ≦3.5 | <3.5 | |||
| Lymphocytes | ≦1250 | <1250 | ≦1250 | <1250 | ≦1250 | <1250 |
| Patient Characteristics | n = 54 | % | |
|---|---|---|---|
| Age | median (range) | 70 (37–91) | |
| Sex | Male | 44 | 81.5 |
| Female | 10 | 18.5 | |
| Pathology | SCC | 45 | 83.3 |
| Other | 9 | 16.7 | |
| Primary | Nasopharynx | 2 | 3.7 |
| Oropharynx | 9 | 16.7 | |
| Hypopharynx | 15 | 27.8 | |
| Larynx | 5 | 9.3 | |
| Oral cavity | 9 | 16.7 | |
| Nose/Sinus | 10 | 18.5 | |
| Salivary glands | 3 | 5.6 | |
| Other | 1 | 1.6 | |
| CPS | <1 | 5 | 9.3 |
| ≦1, <20 | 30 | 55.6 | |
| ≦20 | 15 | 27.8 | |
| Regimen | alone | 26 | 48.1 |
| combo | 28 | 51.9 | |
| mGPS | 0 | 37 | 68.5 |
| 1 | 5 | 9.6 | |
| 2 | 12 | 22.2 | |
| imGPS | 0 | 14 | 25.9 |
| 1 | 21 | 38.9 | |
| 2 | 9 | 16.7 | |
| 3 | 10 | 18.5 | |
| HR | 95%CI | p-Value | ||
|---|---|---|---|---|
| ORR | Age | 0.899 | 0.1810–4.460 | p = 0.8960 |
| Chemo | 0.722 | 0.1290–4.060 | p = 0.7110 | |
| CRP | 1.000 | 0.1530–6.550 | p = 0.9980 | |
| ALB | 1.600 | 0.3170–8.080 | p = 0.5690 | |
| Lymphocytes | 0.149 | 0.0297–0.752 | p = 0.0211 * |
| HR | 95%CI | p-Value | ||
|---|---|---|---|---|
| OS | age | 1.730 | 0.3840–7.800 | p = 0.470 |
| chemo | 1.180 | 0.2600–5.330 | p = 0.8330 | |
| CRP | 6.670 | 10.200–44.900 | p = 0.0478 * | |
| ALB | 0.816 | 0.1930–3.450 | p = 0.7830 | |
| Lymphocytes | 4.830 | 1.1300–20.600 | p = 0.0331 * | |
| PFS | age | 0.582 | 0.0930–3.64 | p = 0.5630 |
| chemo | 3.010 | 0.4640–19.60 | p = 0.2480 | |
| CRP | 12.600 | 0.6410–247.00 | p = 0.0955 | |
| ALB | 0.341 | 0.0485–2.40 | p = 0.2790 | |
| Lymphocytes | 9.010 | 1.5400–52.70 | p = 0.0146 * |
| OS | PFS | ||||
|---|---|---|---|---|---|
| AUC | 95%CI | AUC | 95%CI | ||
| alone | NLR | 0.456 | 0.173–0.738 | 0.533 | 0.182–0.885 |
| mGPS | 0.6 | 0.469–0.731 | 0.567 | 0.478–0.656 | |
| imGPS | 0.678 | 0.463–0.892 | 0.65 | 0.371–0.929 | |
| combo | NLR | 0.609 | 0.393–0.826 | 0.653 | 0.381–0.925 |
| mGPS | 0.74 | 0.575–0.904 | 0.677 | 0.480–0.873 | |
| imGPS | 0.833 | 0.670–0.997 | 0.786 | 0.548–1.000 | |
| total | NLR | 0.585 | 0.430–0.739 | 0.577 | 0.390–0.765 |
| mGPS | 0.703 | 0.597–0.810 | 0.644 | 0.527–0.760 | |
| imGPS | 0.795 | 0.682–0.909 | 0.754 | 0.599–0.909 | |
| Reference No. | Author | Year | n | Target | Predictor | Cut-Off Value | Conclusion |
|---|---|---|---|---|---|---|---|
| [26] | Morimoto, H. | 2024 | 29 | R/M HNSCC | NLR | 4.5 | NLR < 4.5 is associated with better OS and PFS2 No significant difference in PFS |
| [27] | Lee, R.H. | 2024 | 20 | R/M SGC | NLR | 5 | NLR > 5 is associated with poor PFS and OS |
| [28] | Sakai, A. | 2023 | 51 (Pembro:15) | R/M HNSCC | NLR | 4.5 | NLR correlates only with OS No correlation with ORR/DCR or PFS |
| [29] | Haas, M. | 2023 | 87 | R/M HNSCC | CRP | 3 | No significant difference in response rate (significant difference in CRP during treatment) |
| NLR | 6 | No significant difference in response rate (significant difference in NLR during treatment) | |||||
| [30] | Ho, W.J. | 2023 | 34 (Pembro:18) | R/M HNSCC | Lymphocytes | 600 | Lympho < 600 is poor PFS |
| NLR | 7 | NLR ≧ 7 is poor PFS | |||||
| [31] | Park, J.C. | 2020 | 108 (Pembro:76) | R/M HNSCC | Lymphocytes | 700 | No significant difference in PFS and ORR (significant difference in lymphocytes during treatment) |
| NLR | 6.7 | No significant difference in PFS and ORR (significant difference in NLR during treatment) |
Disclaimer/Publisher’s Note: The statements, opinions and data contained in all publications are solely those of the individual author(s) and contributor(s) and not of MDPI and/or the editor(s). MDPI and/or the editor(s) disclaim responsibility for any injury to people or property resulting from any ideas, methods, instructions or products referred to in the content. |
© 2024 by the authors. Licensee MDPI, Basel, Switzerland. This article is an open access article distributed under the terms and conditions of the Creative Commons Attribution (CC BY) license (https://creativecommons.org/licenses/by/4.0/).
Share and Cite
Ueda, N.; Kuroki, M.; Shibata, H.; Matsubara, M.; Akita, S.; Yamada, T.; Kato, R.; Iinuma, R.; Kawaura, R.; Okuda, H.; et al. Immune-Modified Glasgow Prognostic Score Predicts Therapeutic Effect of Pembrolizumab in Recurrent and Metastatic Head and Neck Cancer. Cancers 2024, 16, 4056. https://doi.org/10.3390/cancers16234056
Ueda N, Kuroki M, Shibata H, Matsubara M, Akita S, Yamada T, Kato R, Iinuma R, Kawaura R, Okuda H, et al. Immune-Modified Glasgow Prognostic Score Predicts Therapeutic Effect of Pembrolizumab in Recurrent and Metastatic Head and Neck Cancer. Cancers. 2024; 16(23):4056. https://doi.org/10.3390/cancers16234056
Chicago/Turabian StyleUeda, Natsuko, Masashi Kuroki, Hirofumi Shibata, Manato Matsubara, Saki Akita, Tatsuhiko Yamada, Rina Kato, Ryota Iinuma, Ryo Kawaura, Hiroshi Okuda, and et al. 2024. "Immune-Modified Glasgow Prognostic Score Predicts Therapeutic Effect of Pembrolizumab in Recurrent and Metastatic Head and Neck Cancer" Cancers 16, no. 23: 4056. https://doi.org/10.3390/cancers16234056
APA StyleUeda, N., Kuroki, M., Shibata, H., Matsubara, M., Akita, S., Yamada, T., Kato, R., Iinuma, R., Kawaura, R., Okuda, H., Terazawa, K., Mori, K., Saijo, K., Ohashi, T., & Ogawa, T. (2024). Immune-Modified Glasgow Prognostic Score Predicts Therapeutic Effect of Pembrolizumab in Recurrent and Metastatic Head and Neck Cancer. Cancers, 16(23), 4056. https://doi.org/10.3390/cancers16234056

