Detection of Mismatch Repair Deficiency in Endometrial Cancer: Assessment of IHC, Fragment Length Analysis, and Amplicon Sequencing Based MSI Testing
Simple Summary
Abstract
1. Introduction
2. Materials and Methods
2.1. Sample Details
2.2. DNA Extraction, MSI Marker Panels, and MIP Amplification and Sequencing
2.3. Sequence Analysis and MSI Classification
2.4. Comparison of Tumour Cell Content with MSI Classification
2.5. Statistical Analyses
3. Results
3.1. NCL_MSI Is Highly Concordant with Ohio Assay Results
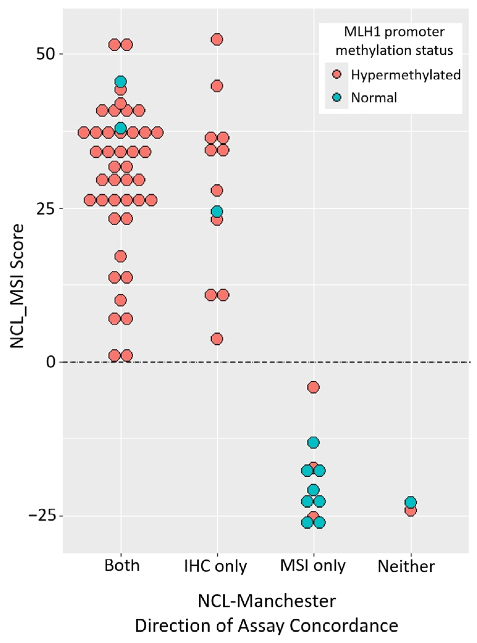
3.2. NCL_MSI Increases Assay Concordance and Sensitivity in the Manchester Cohort
3.3. Increasing Marker Number and Classifier Retraining Do Not Improve Assay Concordance
3.4. Improved Concordance Mostly Affects IHC MMRd and Promega MSS Classifications
3.5. Manchester Discordance Suggests Promega MSI False Negatives and IHC False Positives
3.6. Sample Tumour Cell Content Differs Between Cohorts and Impacts MSI Classification
3.7. Germline Cases Are Not Identified Efficiently by Either MSI Assay in Manchester Cohort
3.8. Variant Allele Frequencies Are Lower in Tumours from MMR Germline Defect Carriers
3.9. Variant Allele Frequency Is Reduced in ECs with Isolated Loss of MSH6 Expression
4. Discussion
5. Conclusions
Supplementary Materials
Author Contributions
Funding
Institutional Review Board Statement
Informed Consent Statement
Data Availability Statement
Conflicts of Interest
References
- Le, D.T.; Durham, J.N.; Smith, K.N.; Wang, H.; Bartlett, B.R.; Aulakh, L.K.; Lu, S.; Kemberling, H.; Wilt, C.; Luber, B.S.; et al. Mismatch repair deficiency predicts response of solid tumors to PD-1 blockade. Science 2017, 357, 409–413. [Google Scholar] [CrossRef] [PubMed] [PubMed Central]
- Andre, T.; Shiu, K.K.; Kim, T.W.; Jensen, B.V.; Jensen, L.H.; Punt, C.; Smith, D.; Garcia-Carbonero, R.; Benavides, M.; Gibbs, P.; et al. Pembrolizumab in Microsatellite-Instability-High Advanced Colorectal Cancer. N. Engl. J. Med. 2020, 383, 2207–2218. [Google Scholar] [CrossRef] [PubMed]
- Burn, J.; Sheth, H.; Elliott, F.; Reed, L.; Macrae, F.; Mecklin, J.P.; Moslein, G.; McRonald, F.E.; Bertario, L.; Evans, D.G.; et al. Cancer prevention with aspirin in hereditary colorectal cancer (Lynch syndrome), 10-year follow-up and registry-based 20-year data in the CAPP2 study: A double-blind, randomised, placebo-controlled trial. Lancet 2020, 395, 1855–1863. [Google Scholar] [CrossRef] [PubMed] [PubMed Central]
- Monahan, K.J.R.N.; Monje-Garcia, L.; Armstrong, R.; Church, D.N.; Cook, J.; Elghobashy, A.; Lalloo, F.; Lane, S.; Frank, D.; McDermott, F.D.; et al. The English National Lynch Syndrome transformation project: An NHS Genomic Medicine Service Alliance (GMSA) programme. BMJ Oncol. 2023, 2, e000124. [Google Scholar] [CrossRef]
- Lynch, H.T.; Lynch, P.M.; Lanspa, S.J.; Snyder, C.L.; Lynch, J.F.; Boland, C.R. Review of the Lynch syndrome: History, molecular genetics, screening, differential diagnosis, and medicolegal ramifications. Clin. Genet. 2009, 76, 1–18. [Google Scholar] [CrossRef] [PubMed] [PubMed Central]
- Duraturo, F.; Liccardo, R.; De Rosa, M.; Izzo, P. Genetics, diagnosis and treatment of Lynch syndrome: Old lessons and current challenges. Oncol. Lett. 2019, 17, 3048–3054. [Google Scholar] [CrossRef] [PubMed] [PubMed Central]
- Battaglin, F.; Naseem, M.; Lenz, H.J.; Salem, M.E. Microsatellite instability in colorectal cancer: Overview of its clinical significance and novel perspectives. Clin. Adv. Hematol. Oncol. 2018, 16, 735–745. [Google Scholar] [PubMed] [PubMed Central]
- Latham, A.; Srinivasan, P.; Kemel, Y.; Shia, J.; Bandlamudi, C.; Mandelker, D.; Middha, S.; Hechtman, J.; Zehir, A.; Dubard-Gault, M.; et al. Microsatellite Instability Is Associated With the Presence of Lynch Syndrome Pan-Cancer. J. Clin. Oncol. 2019, 37, 286–295. [Google Scholar] [CrossRef] [PubMed] [PubMed Central]
- Dominguez-Valentin, M.; Haupt, S.; Seppala, T.T.; Sampson, J.R.; Sunde, L.; Bernstein, I.; Jenkins, M.A.; Engel, C.; Aretz, S.; Nielsen, M.; et al. Mortality by age, gene and gender in carriers of pathogenic mismatch repair gene variants receiving surveillance for early cancer diagnosis and treatment: A report from the prospective Lynch syndrome database. EClinicalMedicine 2023, 58, 101909. [Google Scholar] [CrossRef] [PubMed] [PubMed Central]
- Moller, P.; Seppala, T.T.; Ahadova, A.; Crosbie, E.J.; Holinski-Feder, E.; Scott, R.; Haupt, S.; Moslein, G.; Winship, I.; Broeke, S.W.B.; et al. Dominantly inherited micro-satellite instable cancer—The four Lynch syndromes—An EHTG, PLSD position statement. Hered. Cancer Clin. Pract. 2023, 21, 19. [Google Scholar] [CrossRef] [PubMed] [PubMed Central]
- Gallon, R.; Gawthorpe, P.; Phelps, R.L.; Hayes, C.; Borthwick, G.M.; Santibanez-Koref, M.; Jackson, M.S.; Burn, J. How Should We Test for Lynch Syndrome? A Review of Current Guidelines and Future Strategies. Cancers 2021, 13, 406. [Google Scholar] [CrossRef] [PubMed] [PubMed Central]
- Shia, J. Immunohistochemistry versus microsatellite instability testing for screening colorectal cancer patients at risk for hereditary nonpolyposis colorectal cancer syndrome. Part I. The utility of immunohistochemistry. J. Mol. Diagn. 2008, 10, 293–300. [Google Scholar] [CrossRef] [PubMed] [PubMed Central]
- Zhang, L. Immunohistochemistry versus microsatellite instability testing for screening colorectal cancer patients at risk for hereditary nonpolyposis colorectal cancer syndrome. Part II. The utility of microsatellite instability testing. J. Mol. Diagn. 2008, 10, 301–307. [Google Scholar] [CrossRef] [PubMed] [PubMed Central]
- De’ Angelis, G.L.; Bottarelli, L.; Azzoni, C.; De’ Angelis, N.; Leandro, G.; Di Mario, F.; Gaiani, F.; Negri, F. Microsatellite instability in colorectal cancer. Acta Biomed. 2018, 89, 97–101. [Google Scholar] [CrossRef] [PubMed] [PubMed Central]
- Berg, K.D.; Glaser, C.L.; Thompson, R.E.; Hamilton, S.R.; Griffin, C.A.; Eshleman, J.R. Detection of microsatellite instability by fluorescence multiplex polymerase chain reaction. J. Mol. Diagn. 2000, 2, 20–28. [Google Scholar] [CrossRef] [PubMed] [PubMed Central]
- Ukkola, I.; Nummela, P.; Pasanen, A.; Kero, M.; Lepisto, A.; Kytola, S.; Butzow, R.; Ristimaki, A. Detection of microsatellite instability with Idylla MSI assay in colorectal and endometrial cancer. Virchows Arch. 2021, 479, 471–479. [Google Scholar] [CrossRef] [PubMed] [PubMed Central]
- Renault, V.; Tubacher, E.; How-Kit, A. Assessment of Microsatellite Instability from Next-Generation Sequencing Data. Adv. Exp. Med. Biol. 2022, 1361, 75–100. [Google Scholar] [CrossRef] [PubMed]
- Vanderwalde, A.; Spetzler, D.; Xiao, N.; Gatalica, Z.; Marshall, J. Microsatellite instability status determined by next-generation sequencing and compared with PD-L1 and tumor mutational burden in 11,348 patients. Cancer Med. 2018, 7, 746–756. [Google Scholar] [CrossRef] [PubMed] [PubMed Central]
- Hechtman, J.F.; Rana, S.; Middha, S.; Stadler, Z.K.; Latham, A.; Benayed, R.; Soslow, R.; Ladanyi, M.; Yaeger, R.; Zehir, A.; et al. Retained mismatch repair protein expression occurs in approximately 6% of microsatellite instability-high cancers and is associated with missense mutations in mismatch repair genes. Mod. Pathol. 2020, 33, 871–879. [Google Scholar] [CrossRef] [PubMed] [PubMed Central]
- Snowsill, T.; Huxley, N.; Hoyle, M.; Jones-Hughes, T.; Coelho, H.; Cooper, C.; Frayling, I.; Hyde, C. A systematic review and economic evaluation of diagnostic strategies for Lynch syndrome. Health Technol. Assess. 2014, 18, 1–406. [Google Scholar] [CrossRef] [PubMed] [PubMed Central]
- Snowsill, T.M.; Ryan, N.A.J.; Crosbie, E.J. Cost-Effectiveness of the Manchester Approach to Identifying Lynch Syndrome in Women with Endometrial Cancer. J. Clin. Med. 2020, 9, 1664. [Google Scholar] [CrossRef] [PubMed]
- Bartley, A.N.; Mills, A.M.; Konnick, E.; Overman, M.; Ventura, C.B.; Souter, L.; Colasacco, C.; Stadler, Z.K.; Kerr, S.; Howitt, B.E.; et al. Mismatch Repair and Microsatellite Instability Testing for Immune Checkpoint Inhibitor Therapy: Guideline From the College of American Pathologists in Collaboration With the Association for Molecular Pathology and Fight Colorectal Cancer. Arch. Pathol. Lab. Med. 2022, 146, 1194–1210. [Google Scholar] [CrossRef] [PubMed]
- Luchini, C.; Bibeau, F.; Ligtenberg, M.J.L.; Singh, N.; Nottegar, A.; Bosse, T.; Miller, R.; Riaz, N.; Douillard, J.Y.; Andre, F.; et al. ESMO recommendations on microsatellite instability testing for immunotherapy in cancer, and its relationship with PD-1/PD-L1 expression and tumour mutational burden: A systematic review-based approach. Ann. Oncol. 2019, 30, 1232–1243. [Google Scholar] [CrossRef] [PubMed]
- Guyot D’Asnieres De Salins, A.; Tachon, G.; Cohen, R.; Karayan-Tapon, L.; Junca, A.; Frouin, E.; Godet, J.; Evrard, C.; Randrian, V.; Duval, A.; et al. Discordance between immunochemistry of mismatch repair proteins and molecular testing of microsatellite instability in colorectal cancer. ESMO Open 2021, 6, 100120. [Google Scholar] [CrossRef] [PubMed] [PubMed Central]
- Hampel, H.; Pearlman, R.; Beightol, M.; Zhao, W.; Jones, D.; Frankel, W.L.; Goodfellow, P.J.; Yilmaz, A.; Miller, K.; Bacher, J.; et al. Assessment of Tumor Sequencing as a Replacement for Lynch Syndrome Screening and Current Molecular Tests for Patients With Colorectal Cancer. JAMA Oncol. 2018, 4, 806–813. [Google Scholar] [CrossRef] [PubMed] [PubMed Central]
- Crosbie, E.J.; Ryan, N.A.J.; Arends, M.J.; Bosse, T.; Burn, J.; Cornes, J.M.; Crawford, R.; Eccles, D.; Frayling, I.M.; Ghaem-Maghami, S.; et al. The Manchester International Consensus Group recommendations for the management of gynecological cancers in Lynch syndrome. Genet. Med. 2019, 21, 2390–2400. [Google Scholar] [CrossRef] [PubMed] [PubMed Central]
- Berends, M.J.; Wu, Y.; Sijmons, R.H.; van der Sluis, T.; Ek, W.B.; Ligtenberg, M.J.; Arts, N.J.; ten Hoor, K.A.; Kleibeuker, J.H.; de Vries, E.G.; et al. Toward new strategies to select young endometrial cancer patients for mismatch repair gene mutation analysis. J. Clin. Oncol. 2003, 21, 4364–4370. [Google Scholar] [CrossRef] [PubMed]
- Lu, K.H.; Schorge, J.O.; Rodabaugh, K.J.; Daniels, M.S.; Sun, C.C.; Soliman, P.T.; White, K.G.; Luthra, R.; Gershenson, D.M.; Broaddus, R.R. Prospective determination of prevalence of lynch syndrome in young women with endometrial cancer. J. Clin. Oncol. 2007, 25, 5158–5164. [Google Scholar] [CrossRef] [PubMed]
- Rubio, I.; Ibanez-Feijoo, E.; Andres, L.; Aguirre, E.; Balmana, J.; Blay, P.; Llort, G.; Gonzalez-Santiago, S.; Maortua, H.; Tejada, M.I.; et al. Analysis of Lynch Syndrome Mismatch Repair Genes in Women with Endometrial Cancer. Oncology 2016, 91, 171–176. [Google Scholar] [CrossRef] [PubMed]
- Wang, Y.; Shi, C.; Eisenberg, R.; Vnencak-Jones, C.L. Differences in Microsatellite Instability Profiles between Endometrioid and Colorectal Cancers: A Potential Cause for False-Negative Results? J. Mol. Diagn. 2017, 19, 57–64. [Google Scholar] [CrossRef] [PubMed] [PubMed Central]
- Wu, X.; Snir, O.; Rottmann, D.; Wong, S.; Buza, N.; Hui, P. Minimal microsatellite shift in microsatellite instability high endometrial cancer: A significant pitfall in diagnostic interpretation. Mod. Pathol. 2019, 32, 650–658. [Google Scholar] [CrossRef] [PubMed]
- Gallon, R.; Phelps, R.; Hayes, C.; Brugieres, L.; Guerrini-Rousseau, L.; Colas, C.; Muleris, M.; Ryan, N.A.J.; Evans, D.G.; Grice, H.; et al. Constitutional Microsatellite Instability, Genotype, and Phenotype Correlations in Constitutional Mismatch Repair Deficiency. Gastroenterology 2023, 164, 579–592.e8. [Google Scholar] [CrossRef] [PubMed]
- Gallon, R.; Sheth, H.; Hayes, C.; Redford, L.; Alhilal, G.; O’Brien, O.; Spiewak, H.; Waltham, A.; McAnulty, C.; Izuogu, O.G.; et al. Sequencing-based microsatellite instability testing using as few as six markers for high-throughput clinical diagnostics. Hum. Mutat. 2020, 41, 332–341. [Google Scholar] [CrossRef] [PubMed] [PubMed Central]
- Levine, M.D.; Pearlman, R.; Hampel, H.; Cosgrove, C.; Cohn, D.; Chassen, A.; Suarez, A.; Barrington, D.A.; McElroy, J.P.; Waggoner, S.; et al. Up-Front Multigene Panel Testing for Cancer Susceptibility in Patients with Newly Diagnosed Endometrial Cancer: A Multicenter Prospective Study. JCO Precis. Oncol. 2021, 5, 1588–1602. [Google Scholar] [CrossRef] [PubMed] [PubMed Central]
- Pearlman, R.; Frankel, W.L.; Swanson, B.J.; Jones, D.; Zhao, W.; Yilmaz, A.; Miller, K.; Bacher, J.; Bigley, C.; Nelsen, L.; et al. Prospective Statewide Study of Universal Screening for Hereditary Colorectal Cancer: The Ohio Colorectal Cancer Prevention Initiative. JCO Precis. Oncol. 2021, 5, 779–791. [Google Scholar] [CrossRef] [PubMed] [PubMed Central]
- Ryan, N.A.J.; McMahon, R.; Tobi, S.; Snowsill, T.; Esquibel, S.; Wallace, A.J.; Bunstone, S.; Bowers, N.; Mosneag, I.E.; Kitson, S.J.; et al. The proportion of endometrial tumours associated with Lynch syndrome (PETALS): A prospective cross-sectional study. PLoS Med. 2020, 17, e1003263. [Google Scholar] [CrossRef] [PubMed] [PubMed Central]
- Ryan, N.; Wall, J.; Crosbie, E.J.; Arends, M.; Bosse, T.; Arif, S.; Faruqi, A.; Frayling, I.; Ganesan, R.; Hock, Y.L.; et al. Lynch syndrome screening in gynaecological cancers: Results of an international survey with recommendations for uniform reporting terminology for mismatch repair immunohistochemistry results. Histopathology 2019, 75, 813–824. [Google Scholar] [CrossRef] [PubMed]
- Halford, S.; Sasieni, P.; Rowan, A.; Wasan, H.; Bodmer, W.; Talbot, I.; Hawkins, N.; Ward, R.; Tomlinson, I. Low-level microsatellite instability occurs in most colorectal cancers and is a nonrandomly distributed quantitative trait. Cancer Res. 2002, 62, 53–57. [Google Scholar] [PubMed]
- Redford, L.; Alhilal, G.; Needham, S.; O’Brien, O.; Coaker, J.; Tyson, J.; Amorim, L.M.; Middleton, I.; Izuogu, O.; Arends, M.; et al. A novel panel of short mononucleotide repeats linked to informative polymorphisms enabling effective high volume low cost discrimination between mismatch repair deficient and proficient tumours. PLoS ONE 2018, 13, e0203052. [Google Scholar] [CrossRef] [PubMed] [PubMed Central]
- Hiatt, J.B.; Pritchard, C.C.; Salipante, S.J.; O’Roak, B.J.; Shendure, J. Single molecule molecular inversion probes for targeted, high-accuracy detection of low-frequency variation. Genome Res. 2013, 23, 843–854. [Google Scholar] [CrossRef] [PubMed] [PubMed Central]
- Li, H.; Durbin, R. Fast and accurate short read alignment with Burrows-Wheeler transform. Bioinformatics 2009, 25, 1754–1760. [Google Scholar] [CrossRef] [PubMed] [PubMed Central]
- McConechy, M.K.; Talhouk, A.; Li-Chang, H.H.; Leung, S.; Huntsman, D.G.; Gilks, C.B.; McAlpine, J.N. Detection of DNA mismatch repair (MMR) deficiencies by immunohistochemistry can effectively diagnose the microsatellite instability (MSI) phenotype in endometrial carcinomas. Gynecol. Oncol. 2015, 137, 306–310. [Google Scholar] [CrossRef] [PubMed]
- Goodfellow, P.J.; Billingsley, C.C.; Lankes, H.A.; Ali, S.; Cohn, D.E.; Broaddus, R.J.; Ramirez, N.; Pritchard, C.C.; Hampel, H.; Chassen, A.S.; et al. Combined Microsatellite Instability, MLH1 Methylation Analysis, and Immunohistochemistry for Lynch Syndrome Screening in Endometrial Cancers From GOG210: An NRG Oncology and Gynecologic Oncology Group Study. J. Clin. Oncol. 2015, 33, 4301–4308. [Google Scholar] [CrossRef] [PubMed]
- Longacre, T.A.; Broaddus, R.; Chuang, L.T.; Cohen, M.B.; Jarboe, E.A.; Mutter, G.L.; Otis, C.N.; Zaino, R.J.; Members of the Cancer Biomarker Reporting Committee, C.o.A.P. Template for Reporting Results of Biomarker Testing of Specimens From Patients With Carcinoma of the Endometrium. Arch. Pathol. Lab. Med. 2017, 141, 1508–1512. [Google Scholar] [CrossRef] [PubMed]
- Pai, R.K.; Plesec, T.P.; Abdul-Karim, F.W.; Yang, B.; Marquard, J.; Shadrach, B.; Roma, A.R. Abrupt loss of MLH1 and PMS2 expression in endometrial carcinoma: Molecular and morphologic analysis of 6 cases. Am. J. Surg. Pathol. 2015, 39, 993–999. [Google Scholar] [CrossRef] [PubMed]
- McCarthy, A.J.; Capo-Chichi, J.M.; Spence, T.; Grenier, S.; Stockley, T.; Kamel-Reid, S.; Serra, S.; Sabatini, P.; Chetty, R. Heterogenous loss of mismatch repair (MMR) protein expression: A challenge for immunohistochemical interpretation and microsatellite instability (MSI) evaluation. J. Pathol. Clin. Res. 2019, 5, 115–129. [Google Scholar] [CrossRef] [PubMed] [PubMed Central]
- Mendoza, R.P.; Wang, P.; Schulte, J.J.; Tjota, M.Y.; Jani, I.; Martinez, A.C.; Haridas, R.; Wanjari, P.; Steinhardt, G.; Brown, N.; et al. Endometrial Carcinomas With Subclonal Loss of Mismatch Repair Proteins: A Clinicopathologic and Genomic Study. Am. J. Surg. Pathol. 2023, 47, 589–598. [Google Scholar] [CrossRef] [PubMed]
- Scheiderer, A.; Riedinger, C.; Kimball, K.; Kilgore, L.; Orucevic, A. Reporting Subclonal Immunohistochemical Staining of Mismatch Repair Proteins in Endometrial Carcinoma in the Times of Ever-Changing Guidelines. Arch. Pathol. Lab. Med. 2022, 146, 1114–1121. [Google Scholar] [CrossRef] [PubMed]
- Riedinger, C.J.; Esnakula, A.; Haight, P.J.; Suarez, A.A.; Chen, W.; Gillespie, J.; Villacres, A.; Chassen, A.; Cohn, D.E.; Goodfellow, P.J.; et al. Characterization of mismatch-repair (MMR)/microsatellite instability (MSI)-discordant endometrial cancers. Cancer 2024, 130, 385–399. [Google Scholar] [CrossRef] [PubMed]
- Nagabhushana, P.; Kumari, S.; Rohilla, M.; Srinivasan, R.; Arora, A.; Rastogi, P. Discordant immunohistochemistry in an unusual MLH1 gene variant in a case of Lynch syndrome. Gynecol. Oncol. Rep. 2021, 37, 100854. [Google Scholar] [CrossRef] [PubMed] [PubMed Central]
- Gallon, R.; Herrero-Belmonte, P.; Phelps, R.; Hayes, C.; Sollars, E.; Egan, D.; Spiewak, H.; Nalty, S.; Mills, S.; Loo, P.S.; et al. A novel colorectal cancer test combining microsatellite instability and BRAF/RAS analysis: Clinical validation and impact on Lynch syndrome screening. BJC Rep. 2024, 2, 48. [Google Scholar] [CrossRef] [PubMed] [PubMed Central]
- Lin, J.H.; Chen, S.; Pallavajjala, A.; Guedes, L.B.; Lotan, T.L.; Bacher, J.W.; Eshleman, J.R. Validation of Long Mononucleotide Repeat Markers for Detection of Microsatellite Instability. J. Mol. Diagn. 2022, 24, 144–157. [Google Scholar] [CrossRef] [PubMed]
- Rios-Doria, E.; Momeni-Boroujeni, A.; Friedman, C.F.; Selenica, P.; Zhou, Q.; Wu, M.; Marra, A.; Leitao, M.M., Jr.; Iasonos, A.; Alektiar, K.M.; et al. Integration of clinical sequencing and immunohistochemistry for the molecular classification of endometrial carcinoma. Gynecol. Oncol. 2023, 174, 262–272. [Google Scholar] [CrossRef] [PubMed] [PubMed Central]
- Rodriguez, I.V.; Strickland, S.; Wells, D.; Manhardt, E.; Konnick, E.Q.; Garcia, R.; Swisher, E.; Kilgore, M.; Norquist, B. Adoption of Universal Testing in Endometrial Cancers for Microsatellite Instability Using Next-Generation Sequencing. JCO Precis. Oncol. 2023, 7, e2300033. [Google Scholar] [CrossRef] [PubMed] [PubMed Central]
- Berends, M.J.; Wu, Y.; Sijmons, R.H.; Mensink, R.G.; van der Sluis, T.; Hordijk-Hos, J.M.; de Vries, E.G.; Hollema, H.; Karrenbeld, A.; Buys, C.H.; et al. Molecular and clinical characteristics of MSH6 variants: An analysis of 25 index carriers of a germline variant. Am. J. Hum. Genet. 2002, 70, 26–37. [Google Scholar] [CrossRef] [PubMed] [PubMed Central]
- Acharya, S.; Wilson, T.; Gradia, S.; Kane, M.F.; Guerrette, S.; Marsischky, G.T.; Kolodner, R.; Fishel, R. hMSH2 forms specific mispair-binding complexes with hMSH3 and hMSH6. Proc. Natl. Acad. Sci. USA 1996, 93, 13629–13634. [Google Scholar] [CrossRef] [PubMed] [PubMed Central]
- Marsischky, G.T.; Filosi, N.; Kane, M.F.; Kolodner, R. Redundancy of Saccharomyces cerevisiae MSH3 and MSH6 in MSH2-dependent mismatch repair. Genes. Dev. 1996, 10, 407–420. [Google Scholar] [CrossRef] [PubMed]
- Hampel, H.; Frankel, W.; Panescu, J.; Lockman, J.; Sotamaa, K.; Fix, D.; Comeras, I.; La Jeunesse, J.; Nakagawa, H.; Westman, J.A.; et al. Screening for Lynch syndrome (hereditary nonpolyposis colorectal cancer) among endometrial cancer patients. Cancer Res. 2006, 66, 7810–7817. [Google Scholar] [CrossRef] [PubMed]
- Bennett, J.A.; Pesci, A.; Morales-Oyarvide, V.; Da Silva, A.; Nardi, V.; Oliva, E. Incidence of Mismatch Repair Protein Deficiency and Associated Clinicopathologic Features in a Cohort of 104 Ovarian Endometrioid Carcinomas. Am. J. Surg. Pathol. 2019, 43, 235–243. [Google Scholar] [CrossRef] [PubMed]
- Gatius, S.; Velasco, A.; Varela, M.; Cuatrecasas, M.; Jares, P.; Setaffy, L.; Bonhomme, B.; Santon, A.; Lindemann, K.; Croce, S.; et al. Comparison of the Idylla MSI assay with the Promega MSI Analysis System and immunohistochemistry on formalin-fixed paraffin-embedded tissue of endometrial carcinoma: Results from an international, multicenter study. Virchows Arch. 2022, 480, 1031–1039. [Google Scholar] [CrossRef] [PubMed]
- You, J.F.; Buhard, O.; Ligtenberg, M.J.; Kets, C.M.; Niessen, R.C.; Hofstra, R.M.; Wagner, A.; Dinjens, W.N.; Colas, C.; Lascols, O.; et al. Tumours with loss of MSH6 expression are MSI-H when screened with a pentaplex of five mononucleotide repeats. Br. J. Cancer 2010, 103, 1840–1845. [Google Scholar] [CrossRef] [PubMed] [PubMed Central]
- Helderman, N.C.; Van Der Werf-‘t Lam, A.S.; Msh6 Tumor, G.; Morreau, H.; Boot, A.; Van Wezel, T.; Nielsen, M. Molecular Profile of MSH6-Associated Colorectal Carcinomas Shows Distinct Features From Other Lynch Syndrome-Associated Colorectal Carcinomas. Gastroenterology 2023, 165, 271–274.e2. [Google Scholar] [CrossRef] [PubMed]
- Young, J.; Simms, L.A.; Biden, K.G.; Wynter, C.; Whitehall, V.; Karamatic, R.; George, J.; Goldblatt, J.; Walpole, I.; Robin, S.A.; et al. Features of colorectal cancers with high-level microsatellite instability occurring in familial and sporadic settings: Parallel pathways of tumorigenesis. Am. J. Pathol. 2001, 159, 2107–2116. [Google Scholar] [CrossRef] [PubMed] [PubMed Central]
- Bohaumilitzky, L.; von Knebel Doeberitz, M.; Kloor, M.; Ahadova, A. Implications of Hereditary Origin on the Immune Phenotype of Mismatch Repair-Deficient Cancers: Systematic Literature Review. J. Clin. Med. 2020, 9, 1741. [Google Scholar] [CrossRef] [PubMed] [PubMed Central]
- Schwitalle, Y.; Kloor, M.; Eiermann, S.; Linnebacher, M.; Kienle, P.; Knaebel, H.P.; Tariverdian, M.; Benner, A.; von Knebel Doeberitz, M. Immune response against frameshift-induced neopeptides in HNPCC patients and healthy HNPCC mutation carriers. Gastroenterology 2008, 134, 988–997. [Google Scholar] [CrossRef] [PubMed]
- Shia, J.; Ellis, N.A.; Paty, P.B.; Nash, G.M.; Qin, J.; Offit, K.; Zhang, X.M.; Markowitz, A.J.; Nafa, K.; Guillem, J.G.; et al. Value of histopathology in predicting microsatellite instability in hereditary nonpolyposis colorectal cancer and sporadic colorectal cancer. Am. J. Surg. Pathol. 2003, 27, 1407–1417. [Google Scholar] [CrossRef] [PubMed]
- Janikovits, J.; Muller, M.; Krzykalla, J.; Korner, S.; Echterdiek, F.; Lahrmann, B.; Grabe, N.; Schneider, M.; Benner, A.; Doeberitz, M.V.K.; et al. High numbers of PDCD1 (PD-1)-positive T cells and B2M mutations in microsatellite-unstable colorectal cancer. Oncoimmunology 2018, 7, e1390640. [Google Scholar] [CrossRef] [PubMed] [PubMed Central]
- Koornstra, J.J.; de Jong, S.; Boersma-van Eck, W.; Zwart, N.; Hollema, H.; de Vries, E.G.; Kleibeuker, J.H. Fas ligand expression in lynch syndrome-associated colorectal tumours. Pathol. Oncol. Res. 2009, 15, 399–406. [Google Scholar] [CrossRef] [PubMed] [PubMed Central][Green Version]
- Pakish, J.B.; Zhang, Q.; Chen, Z.; Liang, H.; Chisholm, G.B.; Yuan, Y.; Mok, S.C.; Broaddus, R.R.; Lu, K.H.; Yates, M.S. Immune Microenvironment in Microsatellite-Instable Endometrial Cancers: Hereditary or Sporadic Origin Matters. Clin. Cancer Res. 2017, 23, 4473–4481. [Google Scholar] [CrossRef] [PubMed] [PubMed Central]
- Ramchander, N.C.; Ryan, N.A.J.; Walker, T.D.J.; Harries, L.; Bolton, J.; Bosse, T.; Evans, D.G.; Crosbie, E.J. Distinct Immunological Landscapes Characterize Inherited and Sporadic Mismatch Repair Deficient Endometrial Cancer. Front. Immunol. 2019, 10, 3023. [Google Scholar] [CrossRef] [PubMed] [PubMed Central]
- Staffa, L.; Echterdiek, F.; Nelius, N.; Benner, A.; Werft, W.; Lahrmann, B.; Grabe, N.; Schneider, M.; Tariverdian, M.; von Knebel Doeberitz, M.; et al. Mismatch repair-deficient crypt foci in Lynch syndrome--molecular alterations and association with clinical parameters. PLoS ONE 2015, 10, e0121980. [Google Scholar] [CrossRef] [PubMed] [PubMed Central]
- Weyand, C.M.; Goronzy, J.J. Aging of the Immune System. Mechanisms and Therapeutic Targets. Ann. Am. Thorac. Soc. 2016, 13 (Suppl. S5), S422–S428. [Google Scholar] [CrossRef] [PubMed] [PubMed Central]
- Stelloo, E.; Jansen, A.M.L.; Osse, E.M.; Nout, R.A.; Creutzberg, C.L.; Ruano, D.; Church, D.N.; Morreau, H.; Smit, V.; van Wezel, T.; et al. Practical guidance for mismatch repair-deficiency testing in endometrial cancer. Ann. Oncol. 2017, 28, 96–102. [Google Scholar] [CrossRef] [PubMed]
- Li, X.; Zhang, S.; Zeng, J.; Song, S.S.; Liu, X.; Kang, W.; Liang, M.; Yang, R.; Li, H.; Liang, L. Heterogeneous expression of mismatch repair proteins and interpretation of immunohistochemical results in colorectal cancer and endometrial cancer. Pathol. Res. Pract. 2023, 248, 154647. [Google Scholar] [CrossRef] [PubMed]
- Committee HaSC. Clearing the Backlog Caused by the Pandemic; HC: London, UK, 2021; p. 43. [Google Scholar]
- Aldridge JobotRCoP. Written Evidence Submitted by the Royal College of Pathologists (CBP0011). 2021. Available online: https://committees.parliament.uk/writtenevidence/38399/html/ (accessed on 24 September 2024).




| % Ohio (n/Total) | % Man (n/Total) | |||
|---|---|---|---|---|
| MMRd | 49% | (97/196) | 56% | (93/165) |
| MSI-H | 48% | (95/196) | 39% | (64/165) |
| Concordance | 96% | (188/196) | 78% | (129/165) |
| Cohort | Ohio | Manchester | ||||
|---|---|---|---|---|---|---|
| Dataset | Train | Val | Merged | Train | Val | Merged |
| IHC Result | (45/51) | (52/48) | (97/99) | (42/38) | (51/34) | (93/72) |
| A. Original Analyses | ||||||
| Concordance MSI v IHC | 95% | 97% | 96% | 73% | 82% | 78% |
| Sensitivity MSI v IHC | 96% | 94% | 95% | 57% | 71% | 65% |
| Specificity MSI v IHC | 94% | 100% | 97% | 89% | 100% | 94% |
| B. NCL 24 Marker Panel | ||||||
| Concordance NCL_MSI v MSI | 97% | 98% | 97% | 83% | 89% | 86% |
| Concordance NCL_MSI v IHC | 94% | 95% | 94% | 85% | 84% | 84% |
| Sensitivity NCL_MSI v IHC | 93% | 92% | 93% | 76% | 76% | 76% |
| Specificity NCL_MSI v IHC | 94% | 98% | 96% | 95% | 94% | 94% |
| Sample | Cohort | IHC Loss | Promega MSI | NCL_MSI Score | NCL_MSI Status | Indicates Germline Testing IHC Promega NCL | ||
|---|---|---|---|---|---|---|---|---|
| ECT176 | OT | MSH6 | MSI-H | 13.1 | MSI-H | Y | Y | Y |
| ECT184 | OT | MSH2/MSH6 | MSI-H | 15.7 | MSI-H | Y | Y | Y |
| ECV69 | OV | MSH6 | MSI-H | 17.7 | MSI-H | Y | Y | Y |
| ECV100 | OV | MSH2/MSH6 | MSI-H | 16.9 | MSI-H | Y | Y | Y |
| ECT192 | OV | No Loss | MSI-H | 39.2 | MSI-H | N | Y | Y |
| ECT102 | OV | MSH6 | MSS | −1.1 | MSS | Y | N | N |
| PET256 | MV | MLH1/PMS2 | MSI-H | 10.2 | MSI-H | Y | Y | Y |
| PET16 | MT | MLH1/PMS2 | MSI-H | 37.2 | MSI-H | Y | Y | Y |
| PET61 | MV | MSH6/MSH2 | MSI-H | 45.7 | MSI-H | Y | Y | Y |
| PET215 | MV | MSH6 | MSI-H | 26.2 | MSI-H | Y | Y | Y |
| PET173 | MV | PMS2 | MSI-H | 28.2 | MSI-H | Y | Y | Y |
| PET213 | MV | MSH6 | MSI-H | 30.3 | MSI-H | Y | Y | Y |
| PET255 | MT | MSH6 | MSS | 11.4 | MSI-H | Y | N | Y |
| PET31 | MT | MSH6 | MSS | −19.1 | MSS | Y | N | N |
| PET128 | MT | MSH6 | MSI-L | −24.6 | MSS | Y | N | N |
| 165BRC | MT | MSH6/MSH2 | MSS | 53.0 | MSI-H | Y | N | Y |
| 882BRC | MT | PMS2 | MSS | −15.6 | MSS | Y | N | N |
| PET241 | MV | MSH6 | MSI-H | −14.8 | MSS | Y | Y | N |
| PRE011 | MV | MSH6 | MSS | −21.0 | MSS | Y | N | N |
| PET96 | MV | MSH6 | MSS | −20.0 | MSS | Y | N | N |
Disclaimer/Publisher’s Note: The statements, opinions and data contained in all publications are solely those of the individual author(s) and contributor(s) and not of MDPI and/or the editor(s). MDPI and/or the editor(s) disclaim responsibility for any injury to people or property resulting from any ideas, methods, instructions or products referred to in the content. |
© 2024 by the authors. Licensee MDPI, Basel, Switzerland. This article is an open access article distributed under the terms and conditions of the Creative Commons Attribution (CC BY) license (https://creativecommons.org/licenses/by/4.0/).
Share and Cite
Sowter, P.; Gallon, R.; Hayes, C.; Phelps, R.; Borthwick, G.; Prior, S.; Combe, J.; Buist, H.; Pearlman, R.; Hampel, H.; et al. Detection of Mismatch Repair Deficiency in Endometrial Cancer: Assessment of IHC, Fragment Length Analysis, and Amplicon Sequencing Based MSI Testing. Cancers 2024, 16, 3970. https://doi.org/10.3390/cancers16233970
Sowter P, Gallon R, Hayes C, Phelps R, Borthwick G, Prior S, Combe J, Buist H, Pearlman R, Hampel H, et al. Detection of Mismatch Repair Deficiency in Endometrial Cancer: Assessment of IHC, Fragment Length Analysis, and Amplicon Sequencing Based MSI Testing. Cancers. 2024; 16(23):3970. https://doi.org/10.3390/cancers16233970
Chicago/Turabian StyleSowter, Peter, Richard Gallon, Christine Hayes, Rachel Phelps, Gillian Borthwick, Shaun Prior, Jenny Combe, Holly Buist, Rachel Pearlman, Heather Hampel, and et al. 2024. "Detection of Mismatch Repair Deficiency in Endometrial Cancer: Assessment of IHC, Fragment Length Analysis, and Amplicon Sequencing Based MSI Testing" Cancers 16, no. 23: 3970. https://doi.org/10.3390/cancers16233970
APA StyleSowter, P., Gallon, R., Hayes, C., Phelps, R., Borthwick, G., Prior, S., Combe, J., Buist, H., Pearlman, R., Hampel, H., Goodfellow, P., Evans, D. G., Crosbie, E. J., Ryan, N., Burn, J., Santibanez-Koref, M., & Jackson, M. S. (2024). Detection of Mismatch Repair Deficiency in Endometrial Cancer: Assessment of IHC, Fragment Length Analysis, and Amplicon Sequencing Based MSI Testing. Cancers, 16(23), 3970. https://doi.org/10.3390/cancers16233970

