Comparative Efficacy of Adagrasib and Sotorasib in KRAS G12C-Mutant NSCLC: Insights from Pivotal Trials
Simple Summary
Abstract
1. Introduction
2. Methods
2.1. Study Selection and Data Extraction
2.2. Endpoints and Statistical Analysis
3. Results
3.1. Overview of Selected Clinical Trials
3.2. Inclusion and Exclusion Criteria Across Trials
3.3. Comparative Analysis and Survival Outcomes
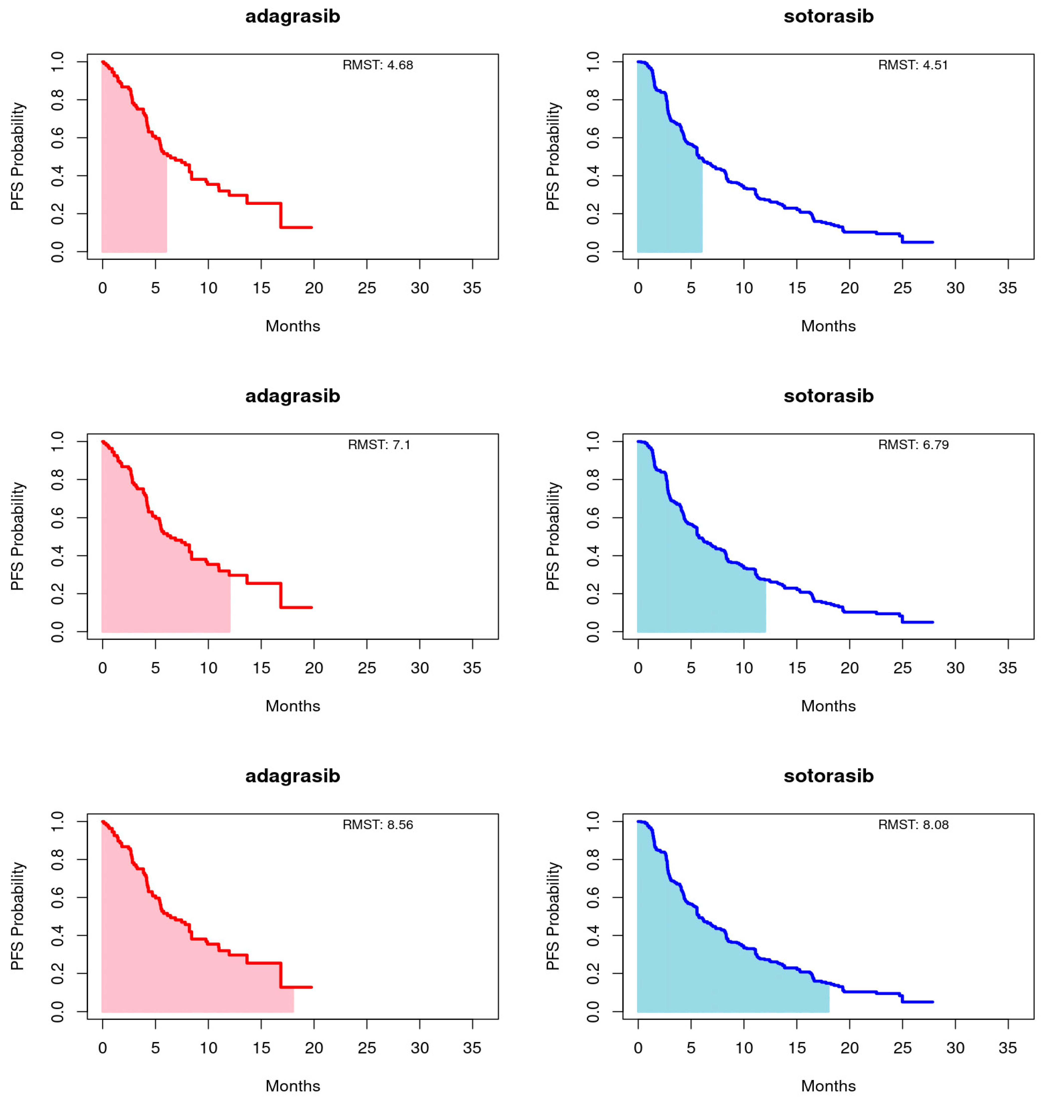
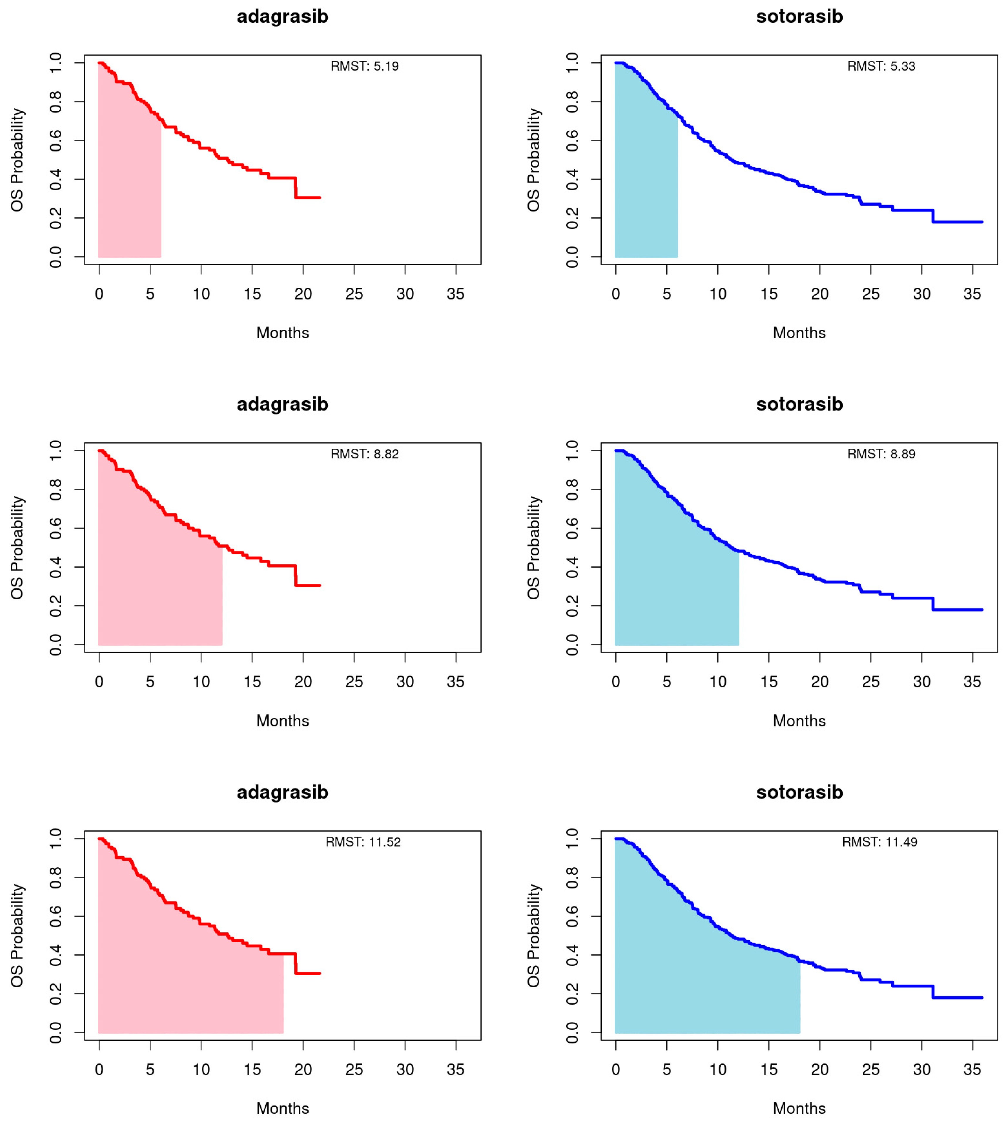
3.4. Restricted Mean Survival Time Analysis
3.5. Clinical Relevance of Adverse Events
4. Discussion
5. Conclusions
Supplementary Materials
Author Contributions
Funding
Institutional Review Board Statement
Informed Consent Statement
Data Availability Statement
Conflicts of Interest
References
- Sheffels, E.; Kortum, R.L. The Role of Wild-Type RAS in Oncogenic RAS Transformation. Genes 2021, 12, 662. [Google Scholar] [CrossRef] [PubMed]
- Huang, L.; Guo, Z.; Wang, F.; Fu, L. KRAS mutation: From undruggable to druggable in cancer. Signal Transduct. Target. Ther. 2021, 6, 386. [Google Scholar] [CrossRef] [PubMed]
- Chatani, P.D.; Yang, J.C. Mutated RAS: Targeting the “Untargetable” with T Cells. Clin. Cancer Res. 2020, 26, 537–544. [Google Scholar] [CrossRef]
- Liu, S.Y.; Sun, H.; Zhou, J.Y.; Jie, G.L.; Xie, Z.; Shao, Y.; Zhang, X.; Ye, J.Y.; Chen, C.X.; Zhang, X.C.; et al. Clinical characteristics and prognostic value of the KRAS G12C mutation in Chinese non-small cell lung cancer patients. Biomark. Res. 2020, 8, 22. [Google Scholar] [CrossRef]
- Patricelli, M.P.; Janes, M.R.; Li, L.S.; Hansen, R.; Peters, U.; Kessler, L.; Chen, Y.; Kucharski, J.; Feng, J.; Ely, T.; et al. Selective Inhibition of Oncogenic KRAS Output with Small Molecules Targeting the Inactive State. Cancer Discov. 2016, 6, 316–329. [Google Scholar] [CrossRef]
- Sunaga, N.; Miura, Y.; Kasahara, N.; Sakurai, R. Targeting Oncogenic KRAS in Non-Small-Cell Lung Cancer. Cancers 2021, 13, 5956. [Google Scholar] [CrossRef] [PubMed]
- Ryan, M.B.; Fece De La Cruz, F.; Phat, S.; Myers, D.; Wong, E.; Shahzade, H.; Hong, C.; Corcoran, R. Vertical Pathway Inhibition Overcomes Adaptive Feedback Resistance to KRASG12C Inhibition. Clin. Cancer Res. 2020, 26, 1633–1643. [Google Scholar] [CrossRef]
- Liu, Y.; Li, H.; Zhu, J.; Zhang, Y.; Liu, X.; Li, R.; Zhang, Q.; Cheng, Y. The Prevalence and Concurrent Pathogenic Mutations of KRASG12C in Northeast Chinese Non-small-cell Lung Cancer Patients. Cancer Manag. Res. 2021, 13, 2447–2454. [Google Scholar] [CrossRef]
- Tanaka, N.; Lin, J.J.; Li, C.; Ryan, M.; Zhang, J.; Kiedrowski, L.; Michel, A.; Syed, M.; Fella, K.; Sakhi, M.; et al. Clinical Acquired Resistance to KRASG12C Inhibition through a Novel KRAS Switch-II Pocket Mutation and Polyclonal Alterations Converging on RAS–MAPK Reactivation. Cancer Discov. 2021, 11, 1913–1922. [Google Scholar] [CrossRef]
- Tsiouda, T.; Domvri, K.; Boutsikou, E.; Bikos, V.; Kyrka, K.; Papadaki, K.; Pezirkianidou, P.; Porpodis, K.; Cheva, A. Prognostic Value of KRAS Mutations in Relation to PDL1 Expression and Immunotherapy Treatment in Adenocarcinoma and Squamous Cell Carcinoma Patients: A Greek Cohort Study. J. Pers. Med. 2024, 14, 457. [Google Scholar] [CrossRef]
- Heim, L.; Yang, Z.; Tausche, P.; Hohenberger, K.; Chiriac, M.; Koelle, J.; Geppert, C.; Kachler, K.; Miksch, S.; Graser, A.; et al. IL-9 Producing Tumor-Infiltrating Lymphocytes and Treg Subsets Drive Immune Escape of Tumor Cells in Non-Small Cell Lung Cancer. Front. Immunol. 2022, 13, 859738. [Google Scholar] [CrossRef]
- Naei, V.; Monkman, J.; Sadeghirad, H.; Mehdi, A.; Blick, T.; Mullally, W.; O’Byrne, K.; Warkiani, M.; Kulasinghe, A. Spatial proteomic profiling of tumor and stromal compartments in non-small-cell lung cancer identifies signatures associated with overall survival. Clin. Trans. Immunol. 2024, 13, e1522. [Google Scholar] [CrossRef] [PubMed]
- Xia, W.; Mao, W.; Chen, R.; Lu, R.; Liu, F.; He, Y.; Wang, S.; Li, X.; Zheng, M. Epidermal Growth Factor Receptor Mutations in Resectable Non-Small Cell Lung Cancer Patients and their Potential Role in the Immune Landscape. Med. Sci. Monit. 2019, 25, 8764–8776. [Google Scholar] [CrossRef]
- Tang, M.; Xu, M.; Wang, J.; Liu, Y.; Liang, K.; Jin, Y.; Duan, W.; Xia, S.; Li, G.; Chu, H.; et al. Brain Metastasis from EGFR-Mutated Non-Small Cell Lung Cancer: Secretion of IL11 from Astrocytes Up-Regulates PDL1 and Promotes Immune Escape. Adv. Sci. 2024, 11, 2306348. [Google Scholar] [CrossRef]
- Liu, N.; Zhou, Y.; Lee, J.J. IPDfromKM: Reconstruct individual patient data from published Kaplan-Meier survival curves. BMC Med. Res. Methodol. 2021, 21, 111. [Google Scholar] [CrossRef]
- Messori, A.; Damuzzo, V.; Rivano, M.; Cancanelli, L.; Di Spazio, L.; Ossato, A.; Chiumente, M.; Mengato, D. Application of the IPDfromKM-Shiny Method to Compare the Efficacy of Novel Treatments Aimed at the Same Disease Condition: A Report of 14 Analyses. Cancers 2023, 15, 1633. [Google Scholar] [CrossRef] [PubMed]
- Kim, D.H.; Uno, H.; Wei, L.J. Restricted Mean Survival Time as a Measure to Interpret Clinical Trial Results. JAMA Cardiol. 2017, 2, 1179–1180. [Google Scholar] [CrossRef]
- Jänne, P.A.; Riely, G.J.; Gadgeel, S.M.; Heist, R.S.; Ou, S.H.; Pacheco, J.M.; Johnson, M.L.; Sabari, J.K.; Leventakos, K.; Yau, E.; et al. Adagrasib in Non-Small-Cell Lung Cancer Harboring a KRAS G12C Mutation. N. Engl. J. Med. 2022, 387, 120–131. [Google Scholar] [CrossRef] [PubMed]
- Dy, G.K.; Govindan, R.; Velcheti, V.; Falchook, G.S.; Italiano, A.; Wolf, J.; Sacher, A.G.; Takahashi, T.; Ramalingam, S.S.; Dooms, C.; et al. Long-Term Outcomes and Molecular Correlates of Sotorasib Efficacy in Patients With Pretreated KRAS G12C-Mutated Non–Small-Cell Lung Cancer: 2-Year Analysis of CodeBreaK 100. J. Clin. Oncol. 2023, 41, 3311–3317. [Google Scholar] [CrossRef]
- De Langen, A.J.; Johnson, M.L.; Mazieres, J.; Dingemans, A.M.; Mountzios, G.; Pless, M.; Wolf, J.; Schuler, M.; Lena, H.; Skoulidis, F.; et al. Sotorasib versus docetaxel for previously treated non-small-cell lung cancer with KRASG12C mutation: A randomised, open-label, phase 3 trial. Lancet 2023, 401, 733–746. [Google Scholar] [CrossRef]
- Skoulidis, F.; Li, B.T.; Dy, G.K.; Price, T.J.; Falchook, G.S.; Wolf, J.; Italiano, A.; Schuler, M.; Borghaei, H.; Barlesi, F.; et al. Sotorasib for Lung Cancers with KRAS p.G12C Mutation. N. Engl. J. Med. 2021, 384, 2371–2381. [Google Scholar] [CrossRef] [PubMed]
- Huang, B. Some statistical considerations in the clinical development of cancer immunotherapies. Pharm. Stat. 2018, 17, 49–60. [Google Scholar] [CrossRef] [PubMed]



| Study | Janne 2022 | Dy 2023 | De Langen 2023 |
|---|---|---|---|
| Trial name | KRYSTAL-1 | CodeBreak100 | CodeBreak200 |
| NCT number | NCT03785249 | NCT03600883 | NCT04303780 |
| Trial phase | Phase II | Phase I/II | Phase III |
| Published arm(s) | One arm adagrasib 600 mg orally twice daily | One arm sotorasib 960 mg orally once daily | Two arms sotorasib 960 mg orally once daily docetaxel 75 mg/m2 intravenously once every 3 weeks |
| Inclusion criteria | 1. Patients must be 18 years or older. 2. Must have a histologically confirmed diagnosis of unresectable or metastatic NSCLC with the KRASG12C mutation. 1. Must have previously received treatment with at least one platinum-containing chemotherapy regimen and checkpoint inhibitor line of therapy. 2. Must have measurable tumor lesions according to RECIST, version 1.1. 3. Must have an ECOG performance status score of 0 or 1. | 1. Patients must be 18 years or older. 2. Must have pathologically documented, locally advanced, or metastatic NSCLC with the KRAS p.G12C mutation. 1. Disease progression after the receipt of anti-PD–1 or anti-PD-L1 immunotherapy, platinum-based chemotherapy, or both. 2. Must have an ECOG performance status score of 0 to 1. 3. Must have measurable disease according to RECIST, version 1.1. | 1. Patients must be aged at least 18 years. 2. Must have histologically or cytologically documented, locally advanced, and unresectable or metastatic NSCLC, with the KRASG12C mutation. 1. Must have had tumor progression after receiving at least one previous systemic line of therapy for advanced disease. 2. Must have an ECOG performance status of 0–1. 3. Must have measurable disease according to RECIST, version 1.1. 4. Patients with treated, stable brain metastases were eligible. |
| Exclusion criteria | 1. Active CNS metastases (eligible if adequately treated and neurologically stable). 2. Carcinomatous meningitis. 3. The receipt of systemic therapy or radiation therapy within 2 weeks before the first dose of adagrasib. 4. Previous treatment with a KRASG12C inhibitor. | 1. Active untreated brain metastases. 2. The receipt of more than three previous lines of therapy. 3. The receipt of systemic anticancer therapy within 28 days before the initiation of sotorasib therapy. 4. The receipt of therapeutic or palliative radiation therapy within 2 weeks before the initiation of sotorasib therapy. 5. Previous treatment with a direct KRASG12C inhibitor. | 1. New or progressing untreated brain lesions or symptomatic brain lesions. 2. A previously identified oncogenic driver mutation other than KRASG12C for which an approved therapy is available. 3. Previous treatment with docetaxel (neoadjuvant or adjuvant docetaxel allowed if no progression within 6 months after therapy termination). 4. Previous treatment with a direct KRASG12C inhibitor. 5. Systemic anticancer therapy within 28 days of study day 1. 6. Therapeutic or palliative radiation therapy within 2 weeks of treatment initiation. |
| Study | Janne 2022 | Dy 2023 | DeLangen 2023 (a) |
|---|---|---|---|
| Sample size—no. | 116 | 174 | 171 |
| Age, years—median (range) | 64 (25 to 89) | 65 (37 to 86) | 64 (32 to 88) |
| Female sex—no. (%) | 65 (56.0) | 91 (52.3) | 62 (36.3) |
| Race—no. (%) | |||
| White | 97 (83.6) | 141 (81.0) | 142 (83.0) |
| Asian | 5 (4.3) | 25 (14.4) | 21 (12.3) |
| Black | 9 (7.8) | 4 (2.3) | 2 (1.2) |
| Others | 5 (4.3) | 4 (2.3) | 6 (3.5) |
| ECOG PS—no. (%) | |||
| 0 | 18 (15.5) | 49 (28.2) | 59 (34.5) |
| 1 | 97 (83.6) | 125 (71.8) | 112 (65.5) |
| Data missing | 1 (0.9) | 0 (0.0) | 0 (0.0) |
| Previous lines of therapy—no. (%) | |||
| 1 | 50 (43.1) | 73 (41.9) (b) | 77 (45.0) |
| 2 | 40 (34.5) | 58 (33.3) | 65 (38.0) |
| ≥2 | 26 (22.4) | 43 (24.7) | 29 (17.0) |
| Disease stage—no. (%) | |||
| Locally advanced | 13 (11.2) | 6 (3.4) | 9 (5.3) |
| Metastatic | 103 (88.8) | 168 (96.6) | 162 (94.7) |
| Metastasis burden—no. (%) | |||
| Bone | 46 (39.7) | 81 (46.6) | na |
| CNS | 24 (20.7) | 40 (23.0) | 58 (33.9) |
| Liver | 19 (16.4) | 38 (21.8) | 30 (17.5) |
| PD-L1 TPS/protein expression—no. (%) | |||
| <1% | 47 (40.5) | 46 (26.4) | 57 (33.3) |
| ≥1% to <50% | 27 (23.3) | 42 (24.1) | 46 (26.9) |
| ≥50% | 12 (10.3) | 44 (25.3) | 60 (35.1) |
| Data not available | 30 (25.9) | 42 (24.1) | 8 (4.7) |
| (a) PFS | |||
| PFS | MRST | Lower | Upper |
| 6-month end | |||
| adagrasib | 4.677 | 4.331 | 5.022 |
| sotorasib | 4.514 | 4.317 | 4.711 |
| adagrasib—sotorasib | 0.163 | −0.235 | 0.561 |
| adagrasib/sotorasib | 1.036 | 0.951 | 1.129 |
| 12-month end | |||
| adagrasib | 7.104 | 6.273 | 7.934 |
| sotorasib | 6.785 | 6.322 | 7.248 |
| adagrasib—sotorasib | 0.319 | −0.632 | 1.270 |
| adagrasib/sotorasib | 1.047 | 0.914 | 1.199 |
| 18-month end | |||
| adagrasib | 8.556 | 7.257 | 9.854 |
| sotorasib | 8.077 | 7.397 | 8.757 |
| adagrasib—sotorasib | 0.479 | −0.987 | 1.945 |
| adagrasib/sotorasib | 1.059 | 0.891 | 1.260 |
| (b) OS | |||
| OS | MRST | Lower | Upper |
| 6-month end | |||
| adagrasib | 5.190 | 4.901 | 5.478 |
| sotorasib | 5.332 | 5.19 | 5.474 |
| adagrasib—sotorasib | −0.143 | −0.464 | 0.178 |
| adagrasib/sotorasib | 0.973 | 0.915 | 1.035 |
| 12-month end | |||
| adagrasib | 8.818 | 8.073 | 9.563 |
| sotorasib | 8.895 | 8.497 | 9.293 |
| adagrasib—sotorasib | −0.077 | −0.922 | 0.768 |
| adagrasib/sotorasib | 0.991 | 0.901 | 1.091 |
| 18-month end | |||
| adagrasib | 11.519 | 10.298 | 12.741 |
| sotorasib | 11.491 | 10.822 | 12.159 |
| adagrasib—sotorasib | 0.029 | −1.364 | 1.421 |
| adagrasib/sotorasib | 1.002 | 0.888 | 1.131 |
Disclaimer/Publisher’s Note: The statements, opinions and data contained in all publications are solely those of the individual author(s) and contributor(s) and not of MDPI and/or the editor(s). MDPI and/or the editor(s) disclaim responsibility for any injury to people or property resulting from any ideas, methods, instructions or products referred to in the content. |
© 2024 by the authors. Licensee MDPI, Basel, Switzerland. This article is an open access article distributed under the terms and conditions of the Creative Commons Attribution (CC BY) license (https://creativecommons.org/licenses/by/4.0/).
Share and Cite
Peng, T.-R.; Wu, T.-W.; Yi, T.-Y.; Wu, A.-J. Comparative Efficacy of Adagrasib and Sotorasib in KRAS G12C-Mutant NSCLC: Insights from Pivotal Trials. Cancers 2024, 16, 3676. https://doi.org/10.3390/cancers16213676
Peng T-R, Wu T-W, Yi T-Y, Wu A-J. Comparative Efficacy of Adagrasib and Sotorasib in KRAS G12C-Mutant NSCLC: Insights from Pivotal Trials. Cancers. 2024; 16(21):3676. https://doi.org/10.3390/cancers16213676
Chicago/Turabian StylePeng, Tzu-Rong, Ta-Wei Wu, Tai-Yung Yi, and An-Jan Wu. 2024. "Comparative Efficacy of Adagrasib and Sotorasib in KRAS G12C-Mutant NSCLC: Insights from Pivotal Trials" Cancers 16, no. 21: 3676. https://doi.org/10.3390/cancers16213676
APA StylePeng, T.-R., Wu, T.-W., Yi, T.-Y., & Wu, A.-J. (2024). Comparative Efficacy of Adagrasib and Sotorasib in KRAS G12C-Mutant NSCLC: Insights from Pivotal Trials. Cancers, 16(21), 3676. https://doi.org/10.3390/cancers16213676

