Evaluation of Selected MRI Parameters in the Differentiation of Mucinous Ovarian Carcinomas and Metastatic Ovarian Tumors
Simple Summary
Abstract
1. Introduction
2. Materials and Methods
2.1. Study Protocol
2.2. MRI Protocol
2.3. Statistical Analysis
3. Results
4. Discussion
5. Conclusions
Author Contributions
Funding
Institutional Review Board Statement
Informed Consent Statement
Data Availability Statement
Conflicts of Interest
References
- Kim, D.D.; Park, I.J.; Kim, H.C.; Yu, C.S.; Kim, J.C. Ovarian metastases from colorectal cancer: A clinicopathological analysis of 103 patients. Color. Dis. 2009, 11, 32–38. [Google Scholar] [CrossRef] [PubMed]
- Roseland, M.E.; Millet, J.D.; Wasnik, A.P. Imaging of Metastatic Disease to the Ovary/Adnexa. Magn. Reson. Imaging Clin. N. Am. 2023, 31, 93–107. [Google Scholar] [CrossRef] [PubMed]
- Alvarado-Cabrero, I.; Rodriguez-Gomez, A.; Castelan-Pedraza, J.; Valencia-Cedillo, R. Metastatic ovarian tumors: A clinicopathologic study of 150 cases. Anal. Quant. Cytopathol. Histpathol. 2013, 35, 241–248. [Google Scholar] [PubMed]
- Willmott, F.; Allouni, K.A.; Rockall, A. Radiological manifestations of metastasis to the ovary. J. Clin. Pathol. 2012, 65, 585–590. [Google Scholar] [CrossRef] [PubMed]
- Babaier, A.; Ghatage, P. Mucinous Cancer of the Ovary: Overview and Current Status. Diagnostics 2020, 10, 52. [Google Scholar] [CrossRef]
- Vogel, J.D.; Eskicioglu, C.; Weiser, M.R.; Feingold, D.L.; Steele, S.R. The American Society of colon and rectal surgeons clinical practice guidelines for the treatment of colon cancer. Dis. Colon. Rectum. 2017, 60, 999–1017. [Google Scholar] [CrossRef]
- Ledermann, J.A.; Raja, F.A.; Fotopoulou, C.; Gonzales-Martín, A.; Colombo, N.; Sessa, C.; ESMO Guidelines Working Group. Newly diagnosed and relapsed epithelial ovarian carcinoma: ESMO Clinical Practice Guidelines for diagnosis, treatment and follow-up. Ann. Oncol. 2013, 24 (Suppl. S6), vi24–vi32. [Google Scholar] [CrossRef]
- Kurokawa, R.; Nakai, Y.; Gonoi, W.; Mori, H.; Tsuruga, T.; Makise, N.; Ushiku, T.; Abe, O. Differentiation between ovarian metastasis from colorectal carcinoma and primary ovarian carcinoma: Evaluation of tumour markers and “mille-feuille sign” on computed tomography/magnetic resonance imaging. Eur. J. Radiol. 2020, 124, 108823. [Google Scholar] [CrossRef]
- Chen, Z.; Liu, Z.; Yang, J.; Sun, J.; Wang, P. The clinicopathological characteristics, prognosis, and CT features of ovary metastasis from colorectal carcinoma. Transl. Cancer Res. 2021, 10, 3248–3258. [Google Scholar] [CrossRef]
- Mukuda, N.; Fujii, S.; Inoue, C.; Fukunaga, T.; Oishi, T.; Harada, T.; Ogawa, T. Bilateral Ovarian Tumors on MRI: How Should We Differentiate the Lesions? Yonago Acta Med. 2018, 61, 110–116. [Google Scholar] [CrossRef]
- McCluggage, W.G. Immunohistochemistry in the distinction between primary and metastatic ovarian mucinous neoplasms. J. Clin. Pathol. 2012, 65, 596–600. [Google Scholar] [CrossRef] [PubMed]
- Kubecek, O.; Laco, J.; Spacek, J.; Petera, J.; Kopecky, J.; Kubeckova, A.; Filip, S. The pathogenesis, diagnosis, and management of metastatic tumors to the ovary: A comprehensive review Clin. Exp. Metastasis 2017, 34, 295–307. [Google Scholar] [CrossRef] [PubMed]
- Seidman, J.D.; Kurman, R.J.; Ronnett, B.M. Primary and metastatic mucinous adenocarcinomas in the ovaries: Incidence in routine practice with a new approach to improve intraoperative diagnosis. Am. J. Surg. Pathol. 2003, 27, 985–993. [Google Scholar] [CrossRef] [PubMed]
- Lindgren, A.; Anttila, M.; Rautiainen, S.; Arponen, O.; Kivelä, A.; Mäkinen, P.; Härmä, K.; Hämäläinen, K.; Kosma, V.M.; Ylä-Herttuala, S.; et al. Primary metastaic ovarian cancer: Characterization by 30T diffusion-weighted MRI. Eur. Radiol. 2017, 27, 4002–4012. [Google Scholar] [CrossRef] [PubMed]
- Lindgren, A.; Anttila, M.; Arponen, O.; Rautiainen, S.; Könönen, M.; Vanninen, R.; Sallinen, H. Prognosti value of preoperative dynamic contrast-enhancement magnetic resonance imaging in epithelial ovarian cancer. Eur. J. Radiol. 2019, 115, 66–73. [Google Scholar] [CrossRef]
- Derlatka, P.; Grabowska-Derlatka, L.; Halaburda-Rola, M.; Szeszkowski, W.; Czajkowski, K. The Value of Magnetic Resonance Diffusion-Weighted Imaging and Dynamic Contrast Enhancement in the Diagnosis and Prognosis of Treatment Response in Patients with Epithelial Serous Ovarian Cancer. Cancers 2022, 14, 2464. [Google Scholar] [CrossRef]
- Grabowska-Derlatka, L.; Derlatka, P.; Hałaburda-Rola, M. Characterization of Primary Mucinous Ovarian Cancer by Diffusion-Weighted and Dynamic Contrast Enhancement MRI in Comparison with Serous Ovarian Cancer. Cancers 2023, 15, 1453. [Google Scholar] [CrossRef]
- Elsherif, S.B.; Bhosale, P.R.; Lall, C.; Menias, C.O.; Itani, M.; Butler, K.A.; Ganeshan, D. Current update on malignant epithelial ovarian tumors. Abdom. Radiol. 2021, 46, 2264–2280. [Google Scholar] [CrossRef]
- Köbel, M.; Rahimi, K.; Rambau, P.F.; Naugler, C.; Le Page, C.; Meunier, L.; De Ladurantaye, M.; Lee, S.; Leung, S.; Goode, E.L.; et al. An Immunohistochemical Algorithm for Ovarian Carcinoma Typing. Int. J. Gynecol. Pathol. 2016, 35, 430–441. [Google Scholar] [CrossRef]
- Taylor, E.C.; Irshaid, L.; Mathur, M. Multimodality Imaging Approach to Ovarian Neoplasms with Pathologic Correlation. Radiographics 2021, 41, 289–315. [Google Scholar] [CrossRef]
- Hamasaki, S.; Fukunaga, Y.; Nagayama, S.; Fujimoto, Y.; Akiyoshi, T.; Nagasaki, T.; Ueno, M. Decision-making in postoperative chemotherapy for ovarian metastasis from colorectal cancer: A retrospective single-center study. World J. Surg. Oncol. 2022, 20, 28. [Google Scholar] [CrossRef] [PubMed]
- Morice, P.; Gouy, S.; Leary, A. Mucinous ovarian carcinoma. N. Engl. J. Med. 2019, 380, 1256–1266. [Google Scholar] [CrossRef] [PubMed]
- Matsumoto, J.; Yoshida, K.; Inoue, D.; Yoneda, N.; Ikeda, H.; Mizumoto, Y.; Gabata, T. Solidified mucinous tumor of the ovary presenting characteristic MRI finding. Eur. J. Radiol. Open 2019, 6, 68–71. [Google Scholar] [CrossRef] [PubMed]
- Zulfiqar, M.; Koen, J.; Nougaret, S.; Bolan, C.; VanBuren, W.; McGettigan, M.; Menias, C. Krukenberg Tumors: Update on Imaging and Clinical Features. AJR Am. J. Roentgenol. 2020, 215, 1020–1029. [Google Scholar] [CrossRef] [PubMed]
- Yang, L.; Yu, J.; Zhang, S.; Shan, Y.; Li, Y.; Xu, L.; Zhang, J.; Zhang, J. A prognostic model of patients with ovarian mucinous adenocarcinoma: A population-based analysis. J. Ovarian Res. 2022, 15, 26. [Google Scholar] [CrossRef]
- Cai, S.Q.; Wu, M.R.; Ma, X.L.; Lu, J.J.; Qiang, J.W.; Guan, Y.Y.; Zeng, M.S.; Zhou, J.J. Mucin-producing tumors of the ovary--preoperative differentiation between metastatic ovarian mucinous carcinoma and primary mucinous malignant tumors. J. Ovarian Res. 2024, 17, 59. [Google Scholar] [CrossRef]
- Yemelyanova, A.V.; Vang, R.; Judson, K.; Wu, L.S.; Ronnett, B.M. Distinction of primary and metastatic mucinous tumors involving the ovary: Analysis of size and laterality data by primary site with reevaluation of an algorithm for tumor classification. Am. J. Surg. Pathol. 2008, 32, 128–138. [Google Scholar] [CrossRef]
- Hu, J.; Khalifa, R.D.; Roma, A.A.; Fadare, O. The pathologic distinction of primary and metastatic mucinous tumors involving the ovary: A re-evaluation of algorithms based on gross features. Ann. Diagn. Pathol. 2018, 37, 1–6. [Google Scholar] [CrossRef]
- Kato, M.K.; Shida, D.; Yoneoka, Y.; Yoshida, H.; Miyasaka, N.; Kanemitsu, Y.; Kato, T. Novel classification of ovarian metastases originating from colorectal cancer by radiological imaging and macroscopic appearance. Int. J. Clin. Oncol. 2020, 25, 1663–1671. [Google Scholar] [CrossRef]
- Qian, L.D.; Ren, J.L.; Liu, A.S.; Gao, Y.; Hao, F.E.; Zhao, L.; Wu, H.; Niu, G.M. MR imaging of epithelial ovarian cancer: A combined model to predict histologic subtypes. Eur. Radiol. 2020, 30, 5815–5825. [Google Scholar] [CrossRef]
- Li, H.M.; Zhang, R.; Gu, W.Y.; Zhao, S.H.; Lu, N.; Zhang, G.F.; Peng, W.J.; Qiang, J.W. Whole solid tumour volume histogram analysis of the apparent diffusion coefficient for differentiating high-grade from low-grade serous ovarian carcinoma: Correlation with Ki-67 proliferation status. Clin. Radiol. 2019, 74, 918–925. [Google Scholar] [CrossRef] [PubMed]
- Jian, J.; Li, Y.; Pickhardt, P.J.; Xia, W.; He, Z.; Zhang, R.; Zhao, S.; Zhao, X.; Cai, S.; Zhang, J.; et al. MR image-based radiomics to differentiate type Ι and type ΙΙ epithelial ovarian cancers. Eur. Radiol. 2021, 31, 403–410. [Google Scholar] [CrossRef] [PubMed]
- Laurent, P.E.; Thomassin-Piana, J.; Jalaguier-Coudray, A. Mucin-producing tumors of the ovary: MR imaging appearance. Diagn. Interv. Imaging. 2015, 96, 1125–1132. [Google Scholar] [CrossRef] [PubMed]
- Xu, Y.; Yang, J.; Zhang, Z.; Zhang, G. MRI for discriminating metastatic ovarian tumors from primary epithelial ovarian cancers. J. Ovarian Res. 2015, 8, 61. [Google Scholar] [CrossRef]



















| Parameter | T2 TSE | T2 TSE Fat-Sat | DW EPI | T2 TIRM | Vibe 3D T1 GRE | T1 GRE (In- and Outphase) | T1 TSE Fat-Sat | T2 TSE (BLADE) Fat-Sat (SPAIR) |
|---|---|---|---|---|---|---|---|---|
| Repetition time [ms] | 4250 | 2110 | 3800 | 6100 | 3.05 | 125 | 510 | 2300 |
| Echo time [ms] | 117 | 123 | 73 | 39 | 1.13 | 1:2.22 2:4.92 | 9.6 | 116 |
| Flip angle [deg.] | 137 | 150 | 90 | 150 | 10 | 70 | 150 | 150 |
| iPAT factor | - | 2 | 2 | - | 2 | 2 | - | 2 |
| Plane | Axial, sagital, coronal | Axial | Axial | Axial | Axial | Axial | Axial, sagital, coronal | Axial, coronal |
| Number of signal averages | 1 | 1 | 4 | 1 | 1 | 1 | 1 | 1 |
| Field of view—FOV [mm] | 360 | 360 | 360 | 360 | 360 | 360 | 360 | 360 |
| Rectangular FOV [%] | 75, 100, 100 | 100 | 75 | 75 | 75 | 75 | 75 | 100 |
| Breath-hold | No | No | No | No | No | No | No | Yes |
| Resolution (mm) | 0.7 × 0.7 × 5 | 1.4 × 1.4 × 5 | B value: 0, 50, 500, 1000, 1500 | 0.9 × 0.9 × 5 | 1.7 × 1.3 × 3 | 1.3 × 1.3 × 5 | 0.9 × 0.9 × 5 | 1.4 × 1 × 4 × 6 |
| Characteristic | Total | Group 1 MOC | Group 2 MOT | p Value |
|---|---|---|---|---|
| N = 35 | N = 10 | N = 25 | ||
| Age (y) | 56 ± 12.3 | 49.3 ± 12.1 | 58.7 ± 11.5 | 0.04 |
| Stage | FIGO I—7 FIGO II—2 FIGO III—1 | |||
| Histopathology/origin | Mucinous ovarian Carcinoma—10 | Colrectal cancer—22 Gastric cancer—3 | ||
| CA 125 (n: 35 U/mL) CA 19.9 (n: 37 U/mL) CEA (n: 2.5 ng.mL) median/range | 35.5/10–345 28/6–378 7.0/2.0–31.8 | 81.5/23–345 69/10–169 2.85/2.0–3.4 | 32.0/10–200 23/6–378 10.1/3.0–31.8 | 0.01 0.4 0.0007 |
| 10 cm Criterion | Bilateral | The Seidman Criterion |
|---|---|---|
| ≥10 cm | One-sided | MOC 82% |
| <10 cm | One-sided | meta 87% |
| ≥10 cm | Two-sided | meta 95% |
| <10 cm | Two-sided | meta 92% |
| Parameter | Total | Primary Ovarian Cancer | Metastatic Ovarian Tumor | p Value | |
|---|---|---|---|---|---|
| N = 57 | N = 10 | N = 47 | |||
| Bilateral | One-sided [n (%)] | 13 (23%) | 10 (100%) | 3 (6%) | <0.000001 |
| Two-sided [n (%)] | 44 (77%) | 0 (0%) | 44 (94%) | ||
| 10 cm criterion | <10 cm [n (%)] | 39 (68%) | 2 (20%) | 37 (79%) | 0.0003 |
| ≥10 cm [n (%)] | 18 (32%) | 8 (80%) | 10 (21%) | ||
| The Seidman criterion | MOC 82% [n (%)] | 8 (14%) | 8 (80%) | 0 (0%) | <0.000001 |
| meta 87% [n (%)] | 5 (9%) | 2 (20%) | 3 (6%) | ||
| meta 95% [n (%)] | 10 (18%) | 0 (0%) | 10 (21%) | ||
| meta 92% [n (%)] | 34 (60%) | 0 (0%) | 34 (72%) |
| Parameter | Statistic | Total | Primary Ovarian Cancer | Metastatic Ovarian Tumor | p Value |
|---|---|---|---|---|---|
| N = 57 | N = 10 | N = 47 | |||
| ADC 1 | Median | 851 | 1465.5 | 842 | 0.0001 |
| Q1–Q3 | 814–888 | 1430.5–1537.25 | 810.5–875 | ||
| ADC 2 | Median | 843 | 1434 | 821 | 0.0001 |
| Q1–Q3 | 800–890 | 1345.75–1643 | 800–872 | ||
| ADC 3 | Median | 846 | 1631.75 | 824 | 0.0001 |
| Q1–Q3 | 808–899 | 1400.5–1678.25 | 806–871.5 | ||
| ADC 4 | Median | 865 | 1442 | 845 | 0.0002 |
| Q1–Q3 | 811–998 | 1230.25–1627.35 | 809–895 |
| Parameter | Statistic | Total | Primary Ovarian Cancer | Metastatic Ovarian Tumor | p Value |
|---|---|---|---|---|---|
| N = 57 | N = 10 | N = 47 | |||
| TTP | Median | 157 | 410 | 154 | 0.0001 |
| Q1–Q3 | 149–171 | 370–465 | 147.5–161 | ||
| Perf.Max En. | Median | 167 | 141 | 167 | 0.5 |
| Q1–Q3 | 143–193 | 135.25–198.25 | 145–189.5 |
| Category | Fleiss’ kappa (k) | 95% CI | SE | p Value |
|---|---|---|---|---|
| Overall | 0.64 | 0.38–0.9 | 0.132 | 0.000002 |
| Absence | 0.64 | 0.38–0.9 | 0.132 | 0.000002 |
| Occurence | 0.64 | 0.38–0.9 | 0.132 | 0.000002 |
| Parameter | ICC | 95% CI | p Value |
|---|---|---|---|
| ADC | 0.84 | 0.73–0.91 | <0.000001 |
| Parameters | Range | Sensitivity | Specificity | Cutoff Value | AUC | p Value |
|---|---|---|---|---|---|---|
| ADC | 798–1733.5 | 98% | 100% | ≤912.75 | 0.996 | 0.000001 |
| TTP | 117–500 | 100% | 100% | ≤191 | 1 | 0.000001 |
| Perf. Max. En. | 120–350 | 83% | 60% | ≥143 | 0.57 | 0.475625 |
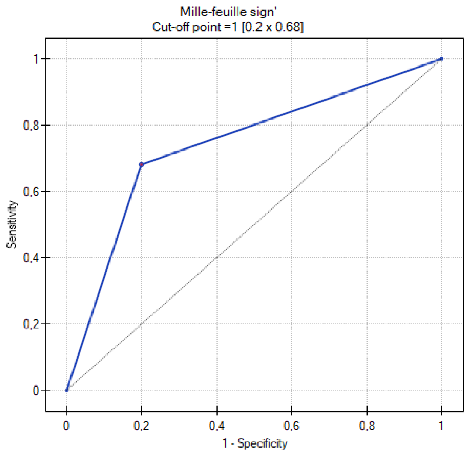
| Mille-feuille sign | 0–1 | 68% | 80% | =1 | 0.74 | 0.017747 |
| 10 cm criterion | 0–1 | 79% | 80% | =0 | 0.79 | 0.003787 |
| The Seidman criterion | 1–4 | 94% | 100% | ≥3 | 0.994 | 0.000001 |
Disclaimer/Publisher’s Note: The statements, opinions and data contained in all publications are solely those of the individual author(s) and contributor(s) and not of MDPI and/or the editor(s). MDPI and/or the editor(s) disclaim responsibility for any injury to people or property resulting from any ideas, methods, instructions or products referred to in the content. |
© 2024 by the authors. Licensee MDPI, Basel, Switzerland. This article is an open access article distributed under the terms and conditions of the Creative Commons Attribution (CC BY) license (https://creativecommons.org/licenses/by/4.0/).
Share and Cite
Halaburda-Rola, M.; Grabowska-Derlatka, L.; Kraj, L.; Stec, R.; Derlatka, P. Evaluation of Selected MRI Parameters in the Differentiation of Mucinous Ovarian Carcinomas and Metastatic Ovarian Tumors. Cancers 2024, 16, 3569. https://doi.org/10.3390/cancers16213569
Halaburda-Rola M, Grabowska-Derlatka L, Kraj L, Stec R, Derlatka P. Evaluation of Selected MRI Parameters in the Differentiation of Mucinous Ovarian Carcinomas and Metastatic Ovarian Tumors. Cancers. 2024; 16(21):3569. https://doi.org/10.3390/cancers16213569
Chicago/Turabian StyleHalaburda-Rola, Marta, Laretta Grabowska-Derlatka, Leszek Kraj, Rafal Stec, and Pawel Derlatka. 2024. "Evaluation of Selected MRI Parameters in the Differentiation of Mucinous Ovarian Carcinomas and Metastatic Ovarian Tumors" Cancers 16, no. 21: 3569. https://doi.org/10.3390/cancers16213569
APA StyleHalaburda-Rola, M., Grabowska-Derlatka, L., Kraj, L., Stec, R., & Derlatka, P. (2024). Evaluation of Selected MRI Parameters in the Differentiation of Mucinous Ovarian Carcinomas and Metastatic Ovarian Tumors. Cancers, 16(21), 3569. https://doi.org/10.3390/cancers16213569

