Interleukin-6: A New Marker of Advanced-Sarcopenic HCC Cirrhotic Patients
Abstract
Simple Summary
Abstract
1. Introduction
2. Materials and Methods
2.1. IL-6 Assay
2.2. Study of Muscle Mass
2.3. Statistical Analysis
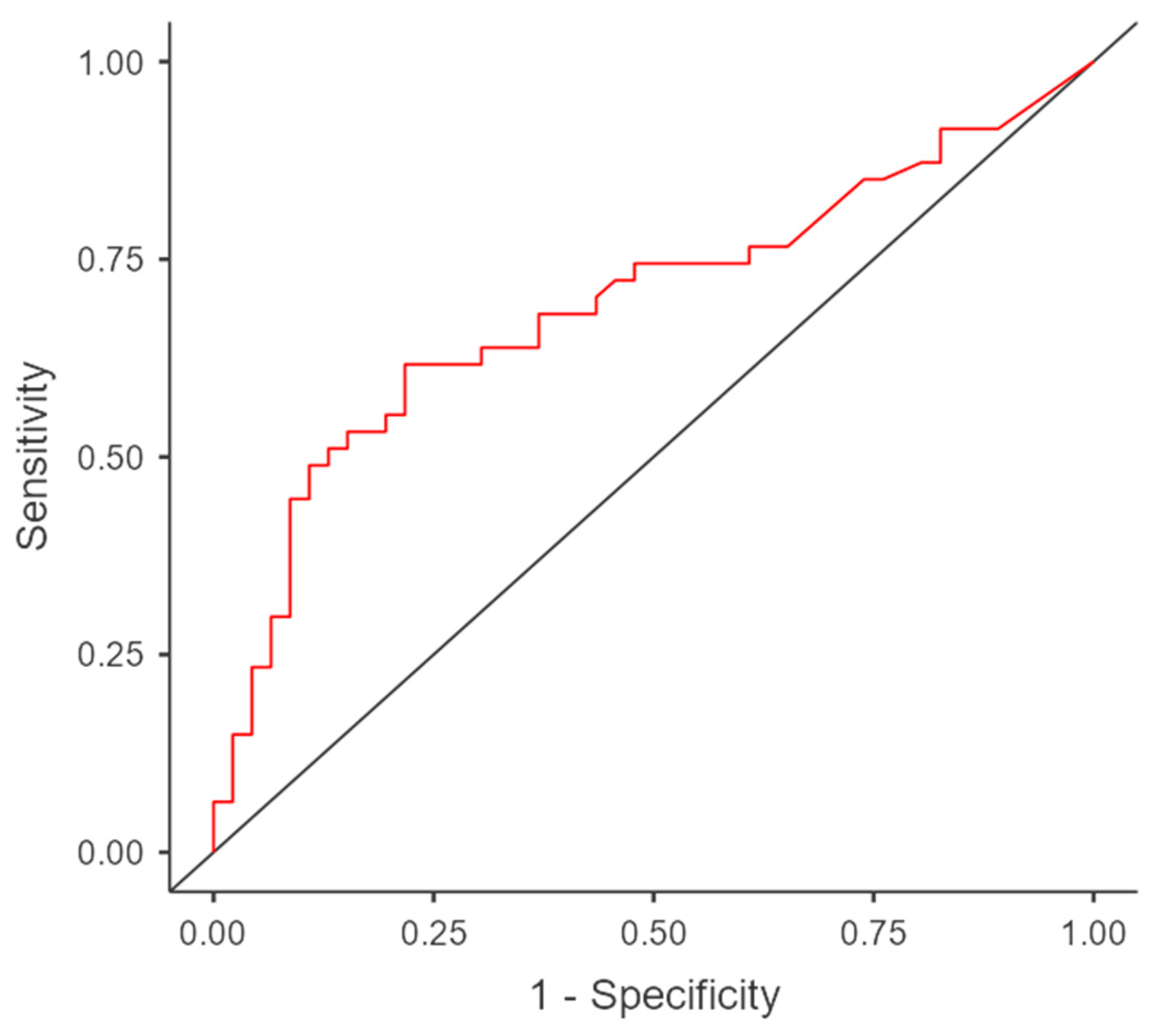
3. Results
3.1. General Characteristics and IL-6
3.2. Sarcopenia Analysis
4. Discussion
5. Conclusions
Author Contributions
Funding
Institutional Review Board Statement
Informed Consent Statement
Data Availability Statement
Acknowledgments
Conflicts of Interest
References
- Chidambaranathan-Reghupaty, S.; Fisher, P.B.; Sarkar, D. Hepatocellular carcinoma (HCC): Epidemiology, etiology and molecular classification. Adv. Cancer Res. 2021, 149, 1–61. [Google Scholar] [CrossRef]
- O’Rourke, J.M.; Sagar, V.M.; Shah, T.; Shetty, S. Carcinogenesis on the background of liver fibrosis: Implications for the management of hepatocellular cancer. World J. Gastroenterol. 2018, 24, 4436–4447. [Google Scholar] [CrossRef]
- Reig, M.; Forner, A.; Rimola, J.; Ferrer-Fàbrega, J.; Burrel, M.; Garcia-Criado, Á.; Kelley, R.K.; Galle, P.R.; Mazzaferro, V.; Salem, R.; et al. BCLC strategy for prognosis prediction and treatment recommendation: The 2022 update. J. Hepatol. 2022, 76, 681–693. [Google Scholar] [CrossRef]
- Perisetti, A.; Goyal, H.; Yendala, R.; Chandan, S.; Tharian, B.; Thandassery, R.B. Sarcopenia in hepatocellular carcinoma: Current knowledge and future directions. World J. Gastroenterol. 2022, 28, 432–448. [Google Scholar] [CrossRef] [PubMed]
- Landi, F.; Calvani, R.; Cesari, M.; Tosato, M.; Martone, A.M.; Ortolani, E.; Savera, G.; Salini, S.; Sisto, A.; Picca, A.; et al. Sarcopenia: An Overview on Current Definitions, Diagnosis and Treatment. Curr. Protein Pept. Sci. 2018, 19, 633–638. [Google Scholar] [CrossRef]
- Kim, S.E.; Kim, D.J. Sarcopenia as a prognostic indicator of liver cirrhosis. J. Cachexia Sarcopenia Muscle 2022, 13, 8–10. [Google Scholar] [CrossRef]
- Tandon, P.; Montano-Loza, A.J.; Lai, J.C.; Dasarathy, S.; Merli, M. Sarcopenia and frailty in decompensated cirrhosis. J Hepatol. 2021, 75, S147–S162. [Google Scholar] [CrossRef] [PubMed]
- Bano, G.; Trevisan, C.; Carraro, S.; Solmi, M.; Luchini, C.; Stubbs, B.; Manzato, E.; Sergi, G.; Veronese, N. Inflammation and sarcopenia: A systematic review and meta-analysis. Maturitas 2017, 96, 10–15. [Google Scholar] [CrossRef] [PubMed]
- Heinrich, P.C.; Castell, J.V.; Andus, T. Interleukin-6 and the acute phase response. Biochem. J. 1990, 265, 621–636. [Google Scholar] [CrossRef] [PubMed]
- Tanaka, T.; Narazaki, M.; Kishimoto, T. IL-6 in inflammation, immunity, and disease. Cold Spring Harb. Perspect. Biol. 2014, 6, a016295. [Google Scholar] [CrossRef]
- Malaguarnera, M.; Di Fazio, I.; Laurino, A.; Romeo, M.A.; Giugno, I.; Trovato, B.A. Role de l’interleukine 6 dans le carcinome hépatocellulaire [Role of interleukin 6 in hepatocellular carcinoma]. Bull Cancer 1996, 83, 379–384. [Google Scholar]
- Bergmann, J.; Müller, M.; Baumann, N.; Reichert, M.; Heneweer, C.; Bolik, J.; Lücke, K.; Gruber, S.; Carambia, A.; Boretius, S.; et al. IL-6 trans-signaling is essential for the development of hepatocellular carcinoma in mice. Hepatology 2017, 65, 89–103. [Google Scholar] [CrossRef]
- Manuela, M.; Berzigotti, A.; Zelber-Sagi, S.; Dasarathy, S.; Montagnese, S.; Genton, L.; Plauth, M.; Parés, A. EASL Clinical Practice Guidelines on nutrition in chronic liver disease. J. Hepatol. 2019, 70, 172–193. [Google Scholar] [CrossRef]
- Paolo, A.; Bernardi, M.; Villanueva, C.; Francoz, C.; Mookerjee, R.P.; Trebicka, J.; Krag, A.; Laleman, W.; Gines, P. EASL Clinical Practice Guidelines for the management of patients with decompensated cirrhosis. J. Hepatol. 2018, 69, 406–460. [Google Scholar] [CrossRef]
- Galle, P.R.; Forner, A.; Llovet, J.M.; Mazzaferro, V.; Piscaglia, F.; Raoul, J.L.; Schirmacher, P.; Vilgrain, V. EASL Clinical Practice Guidelines: Management of hepatocellular carcinoma. J. Hepatol. 2018, 69, 182–236. [Google Scholar] [CrossRef] [PubMed]
- European Association for the Study of The Liver; European Association for the Study of Diabetes. EASL-EASD-EASO Clinical Practice Guidelines for the management of non-alcoholic fatty liver disease. Diabetologia 2016, 59, 1121–1140. [Google Scholar] [CrossRef]
- Human IL-6 ELISA Kit (ab46027)|Abcam. Available online: https://www.abcam.com/human-il-6-elisa-kit-ab46027.html (accessed on 1 January 2020).
- CT Images Using Slice-O-Matic ® Medical Imaging Software|Download Scientific Diagram. Available online: https://www.researchgate.net/figure/CT-images-using-Slice-O-Matic-R-medical-imaging-software-Representative-abdominal-CT_fig1_286395627 (accessed on 1 January 2020).
- Segmentation and Linear Measurement for Body Composition Analysis using Slice-O-Matic and Horos Protocol (Translated to Italian). Available online: https://www.jove.com/it/t/61674?language=Italian (accessed on 1 January 2020).
- Son, S.W.; Song, D.S.; Chang, U.I.; Yang, J.M. Definition of Sarcopenia in Chronic Liver Disease. Life 2021, 11, 349. [Google Scholar] [CrossRef] [PubMed]
- Choi, K.; Jang, H.Y.; Ahn, J.M.; Hwang, S.H.; Chung, J.W.; Choi, Y.S.; Kim, J.-W.; Jang, E.S.; Choi, G.H.; Jeong, S.-H. The association of the serum levels of myostatin, follistatin, and interleukin-6 with sarcopenia, and their impacts on survival in patients with hepatocellular carcinoma. Clin. Mol. Hepatol. 2020, 26, 492–505. [Google Scholar] [CrossRef]
- Xu, J.; Lin, H.; Wu, G.; Zhu, M.; Li, M. IL-6/STAT3 Is a Promising Therapeutic Target for Hepatocellular Carcinoma. Front. Oncol. 2021, 11, 760971. [Google Scholar] [CrossRef] [PubMed]
- Myojin, Y.; Kodama, T.; Sakamori, R.; Maesaka, K.; Matsumae, T.; Sawai, Y.; Imai, Y.; Ohkawa, K.; Miyazaki, M.; Tanaka, S.; et al. Interleukin-6 Is a Circulating Prognostic Biomarker for Hepatocellular Carcinoma Patients Treated with Combined Immunotherapy. Cancers 2022, 14, 883. [Google Scholar] [CrossRef] [PubMed]
- Shao, Y.Y.; Lin, H.; Li, Y.S.; Lee, Y.-H.; Chen, H.-M.; Cheng, A.-L.; Hsu, C.-H. High plasma interleukin-6 levels associated with poor prognosis of patients with advanced hepatocellular carcinoma. Jpn. J. Clin. Oncol. 2017, 47, 949–953. [Google Scholar] [CrossRef] [PubMed]
- Carson, J.A.; Baltgalvis, K.A. Interleukin 6 as a key regulator of muscle mass during cachexia. Exerc. Sport Sci. Rev. 2010, 38, 168–176. [Google Scholar] [CrossRef]
- Kumari, N.; Dwarakanath, B.S.; Das, A.; Bhatt, A.N. Role of interleukin-6 in cancer progression and therapeutic resistance. Tumor Biol. 2016, 37, 11553–11572. [Google Scholar] [CrossRef] [PubMed]
- White, P.J. IL-6, cancer and cachexia: Metabolic dysfunction creates the perfect storm. Transl. Cancer Res. 2017, 6, S280–S285. [Google Scholar] [CrossRef] [PubMed]
- Bayliss, T.J.; Smith, J.T.; Schuster, M.; Dragne, K.H.; Rigas, J.R. A humanized anti-IL-6 antibody (ALD518) in non-small cell lung cancer. Expert Opin. Biol. 2011, 11, 1663–1668. [Google Scholar] [CrossRef] [PubMed]
- Ando, K.; Takahashi, F.; Motojima, S.; Nakashima, K.; Kaneko, N.; Hoshi, K.; Takahashi, K. Possible role for tocilizumab, an anti-interleukin-6 receptor antibody, in treating cancer cachexia. J. Clin. Oncol. 2013, 31, e69–e72. [Google Scholar] [CrossRef] [PubMed]
- Hirata, H.; Tetsumoto, S.; Kijima, T.; Kida, H.; Kumagai, T.; Takahashi, R.; Otani, Y.; Inoue, K.; Kuhara, H.; Shimada, K.; et al. Favorable responses to tocilizumab in two patients with cancer-related cachexia. J. Pain Symptom Manag. 2013, 46, e9–e13. [Google Scholar] [CrossRef]
- Liu, J.H. Sarcopenia and menopause. Menopause 2023, 30, 119–120. [Google Scholar] [CrossRef] [PubMed]
- Belizário, J.E.; Fontes-Oliveira, C.C.; Borges, J.P.; Kashiabara, J.A.; Vannier, E. Skeletal muscle wasting and renewal: A pivotal role of myokine IL-6. SpringerPlus 2016, 5, 619. [Google Scholar] [CrossRef]
- Picca, A.; Coelho-Junior, H.J.; Calvani, R.; Marzetti, E.; Vetrano, D.L. Biomarkers shared by frailty and sarcopenia in older adults: A systematic review and meta-analysis. Ageing Res. Rev. 2022, 73, 101530. [Google Scholar] [CrossRef]




| Variable | Total Population (n = 93) | Early-Intermediate Stage (BCLC A-B) HCC Patients (n = 45) | Advanced Stage (BCLC C) HCC Patients (n = 48) | p Value |
|---|---|---|---|---|
| Sex (M) | 83.8% | 86.7% | 83.3% | ns |
| Age (±SD) | 70.0 ± 15.0 | 69.0 ± 17.0 | 72.0 ± 12.3 | ns |
| BMI kg/m2 (±SD) | 26.2 ± 6.5 | 27.2 ± 5.6 | 26.2 ± 5.9 | ns |
| BMI > 30 | 37.1% | 38.4% | 36.0% | ns |
| Etiopathogenesis | ns | |||
| Viral | 29.2% | 28.9% | 33.3% | |
| Alcoholic | 27.5% | 28.9% | 18.7% | |
| Metabolic | 14.2% | 13.3% | 16.7% | |
| Overlap | 26.4% | 26.7% | 27.1% | |
| Other | 3.6% | 2.2% | 4.2% | |
| BCLC Stages | ||||
| BCLC 0 | 0% | - | - | |
| BCLC A | 19.3% | 40% | - | <0.001 |
| BCLC B | 29% | 60% | - | |
| BCLC C | 51.6% | - | 100% | |
| BCLC D | 0% | - | - | |
| Child-Pugh class | <0.001 | |||
| A | 60.3% | 91.1% | 31.3% | |
| B | 31.3% | 6.7% | 54.2% | |
| C | 8.4% | 2.2% | 14.5% | |
| MELD score | 9 ± 5.1 | 9 ± 5.0 | 9.5 ± 5.3 | ns |
| IL-6 (pg/mL) | 7.7 (8.3) | 7.7 (0.7) | 21.4 (14.4) | 0.042 |
| log IL-6 | 1.1 ± 0.3 | 0.9 ± 0.2 | 1.4 ± 0.5 | 0.042 |
| AFP (kU/L) | 5.0 (33.1) | 5.5 (10.8) | 717 (1272) | 0.005 |
| Log AFP | 1.3 ± 1.1 | 1.1 ± 0.9 | 1.5 ± 2.0 | 0.005 |
| PMN (109/L) | 3.2 ± 2.4 | 3.7 ± 2.2 | 2.9 ± 1.7 | ns |
| Lymphocytes (109/L) | 1.1 ± 0.7 | 1.4 ± 0.8 | 1.0 ± 0.7 | ns |
| PLTs (109/L) | 128 ± 85 | 129 ± 99 | 121 ± 72.3 | ns |
| WBC (109/L) | 5.6 ± 3 | 5.7 ± 2.4 | 5.1 ± 2.4 | ns |
| Hb (g/L) | 125 ± 30.5 | 134 ± 28 | 126 ± 26.3 | <0.001 |
| Creatinine (mg/dL) | 0.8 ± 0.4 | 0.8 ± 0.3 | 0.8 ± 0.4 | ns |
| PMNs/Lymphocytes | 2.7 ± 2.2 | 2.7 ± 1.5 | 2.8 ± 2.3 | ns |
| Skeletal muscle index (SMI) (cm2/m2) | 46.5 ± 12.9 | 48.4 ± 16.1 | 46.0 ± 10.7 | ns |
| Sarcopenia * | 59.7% | 50.0% | 68.7% | 0.05 |
| Estimate | t | p | |
|---|---|---|---|
| Age | 0.60 | 1.54 | ns |
| Gender | −9.31 | −1.04 | ns |
| HCC stages | 26.39 | 2.04 | 0.044 |
| CP score | 7.37 | 3.58 | <0.001 |
| BMI | 0.85 | 1.62 | ns |
| Variable | Non-Sarcopenic Patients (n = 37) | Sarcopenic Patients (n = 55) | p Value |
|---|---|---|---|
| Sex (M) | 36.1% | 45.8% | ns |
| Age | 68.0 ± 11.8 | 72.0 ± 15.0 | ns |
| BMI, (kg/m2) | 28.5 ± 7.0 | 24.7 ± 5.3 | 0.004 |
| BMI > 30 | 50% | 28% | ns |
| Child–Pugh score A | 70% | 67% | ns |
| MELD score | 8.0 ± 3.0 | 9.0 ± 4.0 | ns |
| HCC early-intermediate stage | 59.5% | 40% | ns |
| HCC advance stage | 40.5% | 60% | <0.005 |
| IL-6 (pg/mL) | 7.7 (8.3) | 10.4 (28) | <0.05 |
| log IL-6 | 1.1 ± 0.3 | 1.3 ± 0.6 | 0.031 |
| AFP (kU/L) | 7.5 (77) | 7.0 (40) | ns |
| PMNs (×109/L) | 2.9 ± 1.8 | 3.2 ± 2.5 | ns |
| Lymphocytes (×109/L) | 1.4 ± 0.9 | 1.0 ± 0.5 | 0.005 |
| PLTs (×109/L) | 131.0 ± 65.0 | 128.0 ± 83.0 | ns |
| WBC (×109/L) | 5.4 ± 2.5 | 5.3 ± 3.5 | ns |
| Hb (g/L) | 132.0 ± 21.5 | 130.0 ± 30.0 | ns |
| Creatinine (mg/dL) | 0.9 ± 0.3 | 0.8 ± 0.3 | ns |
| PMNs/Lymphocytes ratio | 2.3 ± 1.2 | 2.9 ± 2.4 | 0.017 |
| Univariate Analysis | Multivariate Analysis | |||||
|---|---|---|---|---|---|---|
| Estimate | t | p | Estimate | t | p | |
| BMI > 30 | −0.91 | −1.27 | 0.20 | −1.74 | −1.85 | ns |
| Log (IL-6) | 2.7 | 2.0 | 0.044 | 3.63 | 1.89 | 0.05 |
| PMNs/Lymphocytes | 0.18 | 1.42 | 0.15 | 0.13 | 0.79 | ns |
| HCC stages | −0.41 | −0.57 | 0.56 | −0.36 | −0.41 | ns |
| CP score | −0.38 | −0.55 | 0.58 | −0.73 | −0.42 | ns |
| Univariate Analysis | Multivariate Analysis | |||||
|---|---|---|---|---|---|---|
| Estimate | t | p | Estimate | t | p | |
| Sex (females) | −7.85 | −1.85 | 0.07 | −10.26 | 11.69 | 0.02 |
| BMI | 0.60 | 1.94 | 0.06 | −0.90 | −0.20 | ns |
| Log (IL-6) | −2.27 | −1.43 | 0.16 | −7.58 | −2.13 | 0.04 |
| PMNs/Lymphocytes | −0.39 | −1.39 | 0.17 | −0.07 | −0.18 | ns |
| HCC stages | 0.67 | 0.23 | 0.82 | −1.20 | −0.40 | ns |
| CP score | 3.18 | 1.14 | 0.26 | −0.20 | −0.27 | ns |
Disclaimer/Publisher’s Note: The statements, opinions and data contained in all publications are solely those of the individual author(s) and contributor(s) and not of MDPI and/or the editor(s). MDPI and/or the editor(s) disclaim responsibility for any injury to people or property resulting from any ideas, methods, instructions or products referred to in the content. |
© 2023 by the authors. Licensee MDPI, Basel, Switzerland. This article is an open access article distributed under the terms and conditions of the Creative Commons Attribution (CC BY) license (https://creativecommons.org/licenses/by/4.0/).
Share and Cite
Dalbeni, A.; Natola, L.A.; Garbin, M.; Zoncapè, M.; Cattazzo, F.; Mantovani, A.; Vella, A.; Canè, S.; Kassem, J.; Bevilacqua, M.; et al. Interleukin-6: A New Marker of Advanced-Sarcopenic HCC Cirrhotic Patients. Cancers 2023, 15, 2406. https://doi.org/10.3390/cancers15092406
Dalbeni A, Natola LA, Garbin M, Zoncapè M, Cattazzo F, Mantovani A, Vella A, Canè S, Kassem J, Bevilacqua M, et al. Interleukin-6: A New Marker of Advanced-Sarcopenic HCC Cirrhotic Patients. Cancers. 2023; 15(9):2406. https://doi.org/10.3390/cancers15092406
Chicago/Turabian StyleDalbeni, Andrea, Leonardo Antonio Natola, Marta Garbin, Mirko Zoncapè, Filippo Cattazzo, Anna Mantovani, Antonio Vella, Stefania Canè, Jasmin Kassem, Michele Bevilacqua, and et al. 2023. "Interleukin-6: A New Marker of Advanced-Sarcopenic HCC Cirrhotic Patients" Cancers 15, no. 9: 2406. https://doi.org/10.3390/cancers15092406
APA StyleDalbeni, A., Natola, L. A., Garbin, M., Zoncapè, M., Cattazzo, F., Mantovani, A., Vella, A., Canè, S., Kassem, J., Bevilacqua, M., Conci, S., Campagnaro, T., Ruzzenente, A., Auriemma, A., Drudi, A., Zanoni, G., Guglielmi, A., Milella, M., & Sacerdoti, D. (2023). Interleukin-6: A New Marker of Advanced-Sarcopenic HCC Cirrhotic Patients. Cancers, 15(9), 2406. https://doi.org/10.3390/cancers15092406

