Patient Selection and Outcomes of Laparoscopic Microwave Ablation of Hepatocellular Carcinoma
Abstract
Simple Summary
Abstract
1. Introduction
2. Materials and Methods
2.1. Patient Population
2.2. Operative Details and MWA Technique
2.3. Statistical Analysis
3. Results
4. Discussion
5. Conclusions
Author Contributions
Funding
Institutional Review Board Statement
Informed Consent Statement
Data Availability Statement
Conflicts of Interest
References
- Llovet, J.M.; Kelley, R.K.; Villanueva, A.; Singal, A.G.; Pikarsky, E.; Roayaie, S.; Lencioni, R.; Koike, K.; Zucman-Rossi, J.; Finn, R.S. Hepatocellular carcinoma. Nat. Rev. Dis. Prim. 2021, 7, 6. [Google Scholar] [CrossRef]
- Wong, V.W.-S.; Chitturi, S.; Wong, G.L.-H.; Yu, J.; Chan, H.L.-Y.; Farrell, G.C. Pathogenesis and novel treatment options for non-alcoholic steatohepatitis. Lancet Gastroenterol. Hepatol. 2016, 1, 56–67. [Google Scholar] [CrossRef] [PubMed]
- Levrero, M.; Zucman-Rossi, J. Mechanisms of HBV-induced hepatocellular carcinoma. J. Hepatol. 2016, 64, S84–S101. [Google Scholar] [CrossRef] [PubMed]
- Liver EAFTSOT. EASL–EORTC clinical practice guidelines: Management of hepatocellular carcinoma. J. Hepatol. 2012, 56, 908–943. [Google Scholar] [CrossRef] [PubMed]
- Wang, T.; Zhang, X.-Y.; Lu, X.; Zhai, B. Laparoscopic Microwave Ablation of Hepatocellular Carcinoma at Liver Surface: Technique Effectiveness and Long-Term Outcomes. Technol. Cancer Res. Treat. 2019, 18, 1533033818824338. [Google Scholar] [CrossRef]
- Kim, C. Understanding the nuances of microwave ablation for more accurate post-treatment assessment. Future Oncol. 2018, 14, 1755–1764. [Google Scholar] [CrossRef]
- Martin, R.C.; Scoggins, C.R.; McMasters, K.M. Safety and efficacy of microwave ablation of hepatic tumors: A prospective review of a 5-year experience. Ann. Surg. Oncol. 2010, 17, 171–178. [Google Scholar] [CrossRef]
- Martin, R.C. Microwave ablation and irreversible electroporation. In Blumgart’s Surgery of the Liver, Biliary Tract and Pancreas, 6th ed.; Jarnagin, W.R., Ed.; Elsevier: Amsterdam, The Netherlands, 2017; pp. 1448–1458. [Google Scholar]
- Liang, P.; Wang, Y. Microwave Ablation of Hepatocellular Carcinoma. Oncology 2007, 72, 124–131. [Google Scholar] [CrossRef] [PubMed]
- Ido, K.; Isoda, N.; Sugano, K. Microwave coagulation therapy for liver cancer: Laparoscopic microwave coagulation. J. Gastroenterol. 2001, 36, 145–152. [Google Scholar] [CrossRef]
- Simo, K.A.; Sereika, S.E.; Newton, K.N.; Gerber, D.A. Laparoscopic-assisted microwave ablation for hepatocellular carcinoma: Safety and efficacy in comparison with radiofrequency ablation. J. Surg. Oncol. 2011, 104, 822–829. [Google Scholar] [CrossRef]
- Yamashita, Y.; Sakai, T.; Maekawa, T.; Watanabe, K.; Iwasaki, A.; Shirakusa, T. Thoracoscopic transdiaphragmatic microwave coagulation therapy for a liver tumor. Surg. Endosc. 1998, 12, 1254–1258. [Google Scholar] [CrossRef] [PubMed]
- Groeschl, R.T.; Pilgrim, C.H.C.; Hanna, E.M.; Simo, K.A.; Swan, R.Z.; Sindram, D.; Martinie, J.B.; Iannitti, D.A.; Bloomston, M.; Schmidt, C.; et al. Microwave Ablation for Hepatic Malignancies: A Multiinstitutional Analysis. Ann. Surg. 2014, 259, 1195–1200. [Google Scholar] [CrossRef] [PubMed]
- Swan, R.Z.; Sindram, D.; Martinie, J.B.; Iannitti, D.A. Operative microwave ablation for hepatocellular carcinoma: Complications, recurrence, and long-term outcomes. J. Gastrointest. Surg. 2013, 17, 719–729. [Google Scholar] [CrossRef]
- Baker, E.H.; Thompson, K.; McKillop, I.H.; Cochran, A.; Kirks, R.; Vrochides, D.; Martinie, J.B.; Swan, R.Z.; Iannitti, D.A. Operative microwave ablation for hepatocellular carcinoma: A single center retrospective review of 219 patients. J. Gastrointest. Oncol. 2017, 8, 337–346. [Google Scholar] [CrossRef] [PubMed]
- Cillo, U.; Noaro, G.; Vitale, A.; Neri, D.; D’Amico, F.; Gringeri, E.; Farinati, F.; Vincenzi, V.; Vigo, M.; Zanus, G.; et al. Laparoscopic microwave ablation in patients with hepatocellular carcinoma: A prospective cohort study. HPB 2014, 16, 979–986. [Google Scholar] [CrossRef]
- Ryu, T.; Takami, Y.; Wada, Y.; Saitsu, H. Oncological Outcomes of Operative Microwave Ablation for Intermediate Stage Hepatocellular Carcinoma: Experience in 246 Consecutive Patients. J. Gastrointest. Surg. 2022, 26, 1178–1186. [Google Scholar] [CrossRef]
- Marrero, J.A.; Kulik, L.M.; Sirlin, C.B.; Zhu, A.X.; Finn, R.S.; Abecassis, M.M.; Roberts, L.R.; Heimbach, J.K. Diagnosis, Staging, and Management of Hepatocellular Carcinoma: 2018 Practice Guidance by the American Association for the Study of Liver Diseases. Hepatology 2018, 68, 723–750. [Google Scholar] [CrossRef]
- U.S. Cancer Statistics Working Group. U.S. Cancer Statistics Data Visualizations Tool Bosd-USDoHaHS. Available online: https://www.cdc.gov/cancer/uscs/index.htm (accessed on 16 February 2023).
- Helderman, R.; Loke, D.R.; Kok, H.P.; Oei, A.L.; Tanis, P.J.; Franken, N.; Crezee, J. Variation in Clinical Application of Hyperthermic Intraperitoneal Chemotherapy: A Review. Cancers 2019, 11, 78. [Google Scholar] [CrossRef]
- North, D.A.; Groeschl, R.T.; Sindram, D.; Martinie, J.B.; Iannitti, D.A.; Bloomston, M.; Schmidt, C.; Rilling, W.S.; Gamblin, T.C.; Martin, R.C. Microwave ablation for hepatic malignancies: A call for standard reporting and outcomes. Am. J. Surg. 2014, 208, 284–294. [Google Scholar] [CrossRef]
- Xu, H.-X.; Lu, M.-D.; Xie, X.-Y.; Yin, X.-Y.; Kuang, M.; Chen, J.-W.; Xu, Z.-F.; Liu, G.-J. Prognostic factors for long-term outcome after percutaneous thermal ablation for hepatocellular carcinoma: A survival analysis of 137 consecutive patients. Clin. Radiol. 2005, 60, 1018–1025. [Google Scholar] [CrossRef]
- Ma, S.; Ding, M.; Li, J.; Wang, T.; Qi, X.; Shi, Y.; Ming, Y.; Chi, J.; Wang, Z.; Tang, X. Ultrasound-guided percutaneous microwave ablation for hepatocellular carcinoma: Clinical outcomes and prognostic factors. J. Cancer Res. Clin. Oncol. 2017, 143, 131–142. [Google Scholar] [CrossRef]
- Yin, X.Y.; Xie, X.Y.; Lu, M.D.; Xu, H.X.; Xu, Z.F.; Kuang, M.; Liu, G.J.; Liang, J.Y.; Lau, W.Y. Percutaneous thermal ablation of medium and large hepatocellular carcinoma: Long-term outcome and prognostic factors. Cancer 2009, 115, 1914–1923. [Google Scholar] [CrossRef]
- Wang, T.; Lu, X.-J.; Chi, J.-C.; Ding, M.; Zhang, Y.; Tang, X.-Y.; Li, P.; Zhang, L.; Zhang, X.-Y.; Zhai, B. Microwave ablation of hepatocellular carcinoma as first-line treatment: Long term outcomes and prognostic factors in 221 patients. Sci. Rep. 2016, 6, 32728. [Google Scholar] [CrossRef] [PubMed]
- Chung, M.; Wood, T.; Tsioulias, G.; Rose, D.; Bilchik, A. Laparoscopic radiofrequency ablation of unresectable hepatic malignancies. Surg. Endosc. 2001, 15, 1020–1026. [Google Scholar] [CrossRef]
- Santambrogio, R.; Opocher, E.; Costa, M.; Cappellani, A.; Montorsi, M. Survival and intra-hepatic recurrences after laparoscopic radiofrequency of hepatocellular carcinoma in patients with liver cirrhosis. J. Surg. Oncol. 2005, 89, 218–225. [Google Scholar] [CrossRef]
- Ballem, N.; Berber, E.; Pitt, T.; Siperstein, A. Laparoscopic radiofrequency ablation of unresectable hepatocellular carcinoma: Long-term follow-up. HPB 2008, 10, 315–320. [Google Scholar] [CrossRef]
- de la Serna, S.; Vilana, R.; Sánchez-Cabús, S.; Calatayud, D.; Ferrer, J.; Molina, V.; Fondevila, C.; Bruix, J.; Fuster, J.; García-Valdecasas, J.-C. Results of laparoscopic radiofrequency ablation for HCC. Could the location of the tumour influence a complete response to treatment? A single European centre experience. HPB 2015, 17, 387–393. [Google Scholar] [CrossRef] [PubMed]
- Santambrogio, R.; Chiang, J.; Barabino, M.; Meloni, F.M.; Bertolini, E.; Melchiorre, F.; Opocher, E. Comparison of Laparoscopic Microwave to Radiofrequency Ablation of Small Hepatocellular Carcinoma (≤3 cm). Ann. Surg. Oncol. 2017, 24, 257–263. [Google Scholar] [CrossRef]
- Lo, C.-M.; Lai, E.; Liu, C.-L.; Fan, S.-T.; Wong, J. Laparoscopy and laparoscopic ultrasonography avoid exploratory laparotomy in patients with hepatocellular carcinoma. Ann. Surg. 1998, 227, 527. [Google Scholar] [CrossRef] [PubMed]
- Santambrogio, R.; Barabino, M.; Bruno, S.; Costa, M.; Ceretti, A.P.; Angiolini, M.R.; Zuin, M.; Meloni, F.; Opocher, E. Long-term outcome of laparoscopic ablation therapies for unresectable hepatocellular carcinoma: A single European center experience of 426 patients. Surg. Endosc. 2016, 30, 2103–2113. [Google Scholar] [CrossRef]
- Wands, J. Hepatocellular carcinoma and sex. N. Engl. J. Med. 2007, 357, 1974. [Google Scholar] [CrossRef] [PubMed]
- Tangkijvanich, P.; Mahachai, V.; Suwangool, P.; Poovorawan, Y. Gender difference in clinicopathologic features and survival of patients with hepatocellular carcinoma. World J. Gastroenterol. 2004, 10, 1547–1550. [Google Scholar] [CrossRef] [PubMed]
- Buch, S.C.; Kondragunta, V.; Branch, R.A.; Carr, B.I. Gender-based outcomes differences in unresectable hepatocellular carcinoma. Hepatol. Int. 2008, 2, 95–101. [Google Scholar] [CrossRef] [PubMed]
- Dohmen, K.; Shigematsu, H.; Irie, K.; Ishibashi, H. Longer survival in female than male with hepatocellular carcinoma. J. Gastroenterol. Hepatol. 2003, 18, 267–272. [Google Scholar] [CrossRef] [PubMed]
- Gupta, D.; Lis, C.G. Pretreatment serum albumin as a predictor of cancer survival: A systematic review of the epidemiological literature. Nutr. J. 2010, 9, 69. [Google Scholar] [CrossRef]
- Liu, W.; Zheng, Y.; He, W.; Zou, R.; Qiu, J.; Shen, J.; Yang, Z.; Zhang, Y.; Wang, C.; Wang, Y.; et al. Microwave vs radiofrequency ablation for hepatocellular carcinoma within the Milan criteria: A propensity score analysis. Aliment. Pharmacol. Ther. 2018, 48, 671–681. [Google Scholar] [CrossRef]
- Martin, R.C., 2nd; Agle, S.; Schlegel, M.; Hayat, T.; Scoggins, C.R.; McMasters, K.M.; Philips, P. Efficacy of preoperative immunonutrition in locally advanced pancreatic cancer undergoing irreversible electroporation (IRE). Eur. J. Surg. Oncol. 2017, 43, 772–779. [Google Scholar] [CrossRef] [PubMed]
- Carr, B.I.; Guerra, V.; Giannini, E.G.; Farinati, F.; Ciccarese, F.; Ludovico Rapaccini, G.; Di Marco, M.; Benvegnù, L.; Zoli, M.; Borzio, F.; et al. Association of abnormal plasma bilirubin with aggressive hepatocellular carcinoma phenotype. Semin. Oncol. 2014, 41, 252–258. [Google Scholar] [CrossRef]
- Johnson, P.J.; Berhane, S.; Kagebayashi, C.; Satomura, S.; Teng, M.; Reeves, H.L.; O’Beirne, J.; Fox, R.; Skowronska, A.; Palmer, D. Assessment of liver function in patients with hepatocellular carcinoma: A new evidence-based approach—The ALBI grade. J. Clin. Oncol. 2015, 33, 550. [Google Scholar] [CrossRef]
- Toyoda, H.; Lai, P.B.; O’Beirne, J.; Chong, C.C.; Berhane, S.; Reeves, H.; Manas, D.; Fox, R.P.; Yeo, W.; Mo, F.; et al. Long-term impact of liver function on curative therapy for hepatocellular carcinoma: Application of the ALBI grade. Br. J. Cancer 2016, 114, 744–750. [Google Scholar] [CrossRef]
- Chan, A.W.; Kumada, T.; Toyoda, H.; Tada, T.; Chong, C.C.; Mo, F.K.; Yeo, W.; Johnson, P.J.; Lai, P.B.; Chan, A.T.; et al. Integration of albumin–bilirubin (ALBI) score into Barcelona Clinic Liver Cancer (BCLC) system for hepatocellular carcinoma. J. Gastroenterol. Hepatol. 2016, 31, 1300–1306. [Google Scholar] [CrossRef] [PubMed]
- Tada, T.; Kumada, T.; Toyoda, H.; Tsuji, K.; Hiraoka, A.; Michitaka, K.; Deguchi, A.; Ishikawa, T.; Imai, M.; Ochi, H.; et al. Impact of albumin-bilirubin grade on survival in patients with hepatocellular carcinoma who received sorafenib: An analysis using time-dependent receiver operating characteristic. J. Gastroenterol. Hepatol. 2019, 34, 1066–1073. [Google Scholar] [CrossRef] [PubMed]
- Oh, I.S.; Sinn, D.H.; Kang, T.W.; Lee, M.W.; Kang, W.; Gwak, G.-Y.; Paik, Y.-H.; Choi, M.-S.; Lee, J.-H.; Koh, K.-C.; et al. Liver Function Assessment Using Albumin–Bilirubin Grade for Patients with Very Early-Stage Hepatocellular Carcinoma Treated with Radiofrequency Ablation. Dig. Dis. Sci. 2017, 62, 3235–3242. [Google Scholar] [CrossRef]
- Chong, C.C.N.; Lee, K.-F.; Chu, C.-M.; Chan, A.W.H.; Wong, J.; Chan, S.L.; Lok, H.-T.; Fung, A.K.Y.; Fong, A.K.W.; Cheung, Y.S.; et al. Microwave ablation provides better survival than liver resection for hepatocellular carcinoma in patients with borderline liver function: Application of ALBI score to patient selection. HPB 2018, 20, 546–554. [Google Scholar] [CrossRef] [PubMed]
- Cillo, U.; Vitale, A.; Dupuis, D.; Corso, S.; Neri, D.; D’Amico, F.; Gringeri, E.; Farinati, F.; Vincenzi, V.; Zanus, G. Laparoscopic ablation of hepatocellular carcinoma in cirrhotic patients unsuitable for liver resection or percutaneous treatment: A cohort study. PLoS ONE 2013, 8, e57249. [Google Scholar] [CrossRef]


| Characteristic | n = 184 |
|---|---|
| Age, median (IQR) | 65.5 (33–86) |
| Male gender, n (%) | 45 (70) |
| BMI, median (IQR) | 28.6 (17.9–42.6) |
| Ethnicity, n (%) | |
| Caucasian | 149 (81) |
| African American | 29 (16) |
| Other | 6 (3) |
| Charlson-comorbidity index, median (IQR) | 7 (3–9) |
| Cardiac | 57 (31) |
| Pulmonary | 35 (19) |
| Hepatic | 129 (70) |
| Diabetes | 66 (36) |
| Hepatitis | 101 (55) |
| Alcohol use, n (%) | 66 (36) |
| Tobacco use, n (%) | 81 (44) |
| BCLC stage, n (%) | |
| 0 | 15 (8) |
| A | 147 (80) |
| B | 22 (12) |
| Child–Pugh score, n (%) | |
| A | 164 (89) |
| B | 20 (11) |
| Prior surgery, n (%) | |
| Total abdominal hysterectomy | 20 (16) |
| Cholecystectomy | 35 (19) |
| Colectomy | 15 (8) |
| Appendectomy | 9 (5) |
| Orthopedic | 35 (19) |
| None | 29 (16) |
| Preoperative intervention, n (%) | |
| Prior surgery | 9 (5) |
| Embolization | 35 (19) |
| Ascites, n (%) | 10 (6) |
| ALBI, n (%) | |
| Grade 1 | 82 (45) |
| Grade 2 | 82 (45) |
| Grade 3 | 5 (2) |
| Unknown | 15 (8) |
| Laboratory Results | |
| Alpha fetal protein (AFP) ng/mL, median (IQR) | 8.5 (0–79,560) |
| Platelet count, median (IQR) | 141 (51–520) |
| Intervational Normalized Ration (INR), median (IQR) | 1.1 (0.9–4.3) |
| Hemoglobin, median (IQR) | 13.9 (9.5–18.5) |
| Albumin, median (IQR) | 4 (2.1–5) |
| Total bilirubin, median (IQR) | 0.8 (0.3–3.5) |
| Creatinine, median (IQR) | 0.9 (0.5–1.7) |
| MELD Score, median (IQR) | 17.4 (10.7–40) |
| Characteristic | n = 184 |
|---|---|
| Incision type, n (%) | |
| Laparoscopic | 162 (88) |
| Open | 22 (12) |
| Tumor number, median (IQR) | 1 (1–10) |
| Size of largest tumor, cm, median (IQR) | 3.0 (1.0–6.8) |
| Involved hepatic segments, n (%) | |
| I | 0 |
| II | 11 (6) |
| III | 11 (6) |
| IV | 33 (18) |
| V | 11 (6) |
| VI | 40 (22) |
| VII | 46 (25) |
| VIII | 50 (27) |
| Concomitant procedures, n (%) | |
| Biliary (cholecystectomy, lymphadenectomy) | 9 (5) |
| Small bowel resection | 5 (2) |
| Ventral hernia | 5 (2) |
| Estimated blood loss (mL), median (IQR) | 50 (0–450) |
| Operative time (min.), median (IQR) | 60 (35–170) |
| Length of stay (days), median (IQR) | 1 (0–18) |
| Readmission <30 days, n (%) | 1 (2) |
| Post-operative complications, n (%) | 6 (3) |
| Local/Hepatic recurrence, n (%) | 18 (34) |
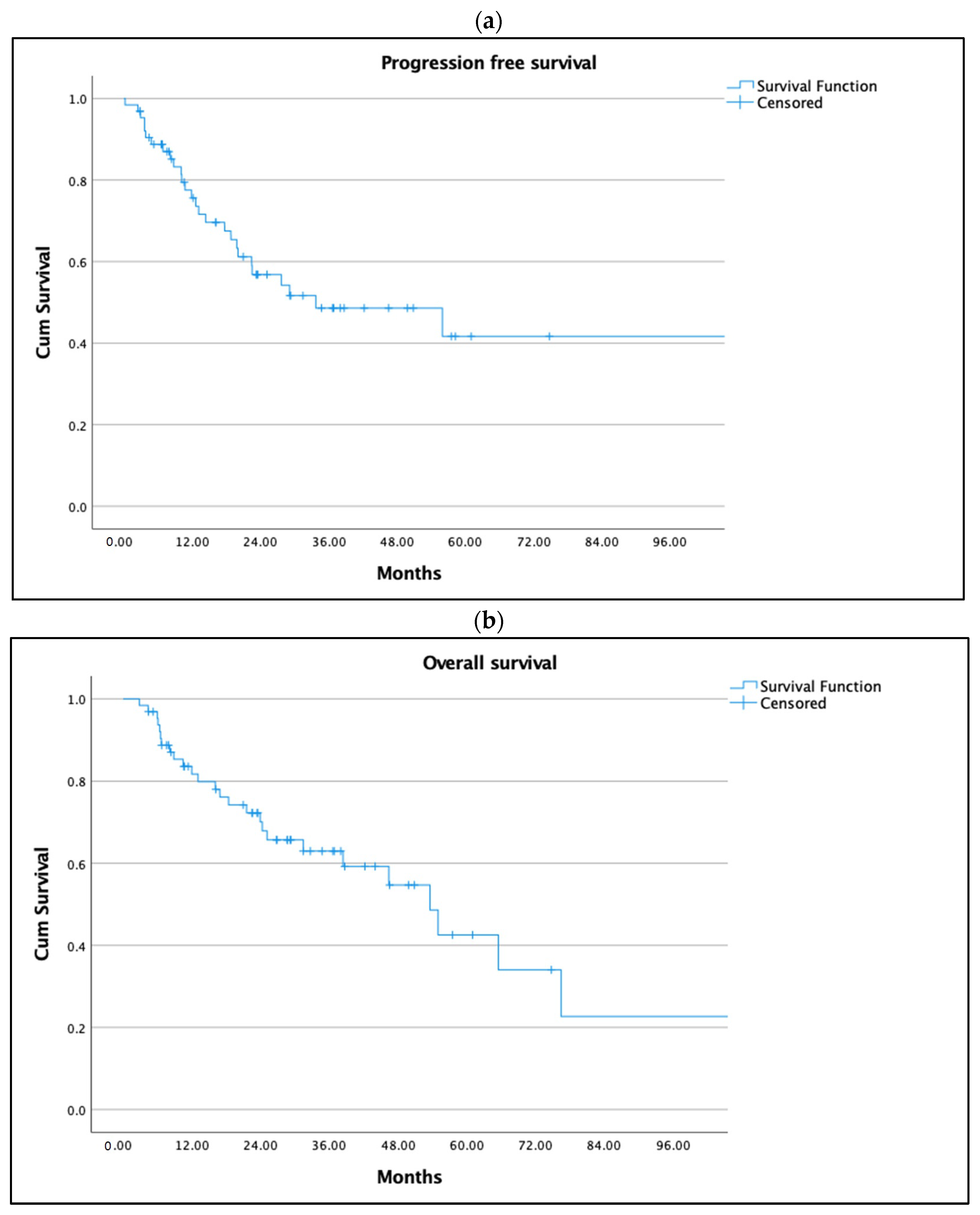
| Progression free survival (months), median, (IQR) | 29.3 months(0.2–170) |
| Overall survival (months), median, (IQR) | 44.2 months (2.8–170). |
| Characteristic | Adjusted HR | 95% CI | p Value |
|---|---|---|---|
| Age | 1.01 | 0.97–1.06 | 0.59 |
| BMI | 0.99 | 0.92–1.07 | 0.77 |
| Male gender | 2.37 | 1.11–5.09 | 0.03 |
| Ethnicity | |||
| Other | REF | ||
| African American | 0.55 | 0.06–4.96 | 0.59 |
| Caucasian | 0.79 | 0.12–5.93 | 0.82 |
| Charlson-comorbidity index CCI | 1.25 | 0.95–1.64 | 0.12 |
| Alcohol use | 0.57 | 0.24–1.36 | 0.20 |
| Tobacco use | 0.84 | 0.38–1.84 | 0.66 |
| BCLC stage | |||
| 0 | REF | ||
| A | 1.92 | 0.27–13.70 | 0.51 |
| B | 2.11 | 0.49–9.10 | 0.32 |
| Child–Pugh | |||
| A | 0.56 | 0.30–1.03 | 0.06 |
| B | REF | ||
| Hepatitis | 0.63 | 0.29–1.34 | 0.24 |
| Incision | |||
| Laparoscopic | 0.64 | 0.25–1.60 | 0.34 |
| Open | REF | ||
| Preoperative intervention | |||
| None | REF | ||
| Prior surgery | 3.12 | 0.91–10.70 | 0.07 |
| Embolization | 0.84 | 0.31–2.26 | 0.73 |
| Laboratory Results | |||
| AFP (≥20 ng/mL) | 4.16 | 1.71–10.15 | 0.002 |
| Platelet count | 1.00 | 0.99–1.00 | 0.44 |
| INR | 0.70 | 0.19–2.49 | 0.58 |
| Hemoglobin | 0.92 | 0.75–1.13 | 0.41 |
| Albumin | 0.50 | 0.27–0.94 | 0.03 |
| Total bilirubin | 2.24 | 0.86–5.86 | 0.10 |
| ALBI | |||
| Grade 1 | 0.13 | 0.15–1.08 | 0.05 |
| Grade 2 | 0.36 | 0.05–2.85 | 0.34 |
| Grade 3 | REF | ||
| EBL | 1.00 | 0.99–1.00 | 0.58 |
| Number of lesions | 1.19 | 0.88–1.60 | 0.25 |
| Tumor size | 1.07 | 0.81–1.41 | 0.67 |
| Lesion Type Invader Pusher Hanger | 4.3 2.1 0.85 | 1.86–7.54 0.94–7.44 0.78–1.44 | 0.001 0.09 0.34 |
| LOS | 0.98 | 0.87–1.12 | 0.81 |
| Complications | 1.07 | 0.32–3.59 | 0.91 |
| Characteristic | Adjusted HR | 95% CI | p Value |
|---|---|---|---|
| Age | 1.01 | 0.97–1.06 | 0.55 |
| BMI | 0.92 | 0.84–1.00 | 0.06 |
| Male gender | 1.54 | 0.70–3.40 | 0.29 |
| Ethnicity | |||
| Other | REF | ||
| African American | 0.42 | 0.04–4.13 | 0.46 |
| Caucasian | 0.59 | 0.08–4.47 | 0.61 |
| CCI | 1.21 | 0.91–1.60 | 0.19 |
| Alcohol use | 1.11 | 0.48–2.61 | 0.80 |
| Tobacco use | 1.10 | 0.48–2.50 | 0.83 |
| BCLC stage | |||
| 0 | REF | ||
| A | 1.38 | 0.43–4.36 | 0.59 |
| B | 1.83 | 0.77–4.31 | 0.17 |
| Child–Pugh | |||
| A | 0.17 | 0.05–0.51 | 0.002 |
| B | REF | ||
| Hepatitis | 0.58 | 0.26–1.30 | 0.18 |
| Incision | |||
| Laparoscopic | 0.61 | 0.20–1.87 | 0.40 |
| Open | REF | ||
| Preoperative intervention | |||
| None | REF | ||
| Prior surgery | 3.85 | 1.09–13.61 | 0.04 |
| Embolization | 1.11 | 0.43–3.05 | 0.84 |
| Laboratory Results | |||
| AFP (≥20 ng/mL) | 2.87 | 1.12–7.35 | 0.01 |
| Platelet count | 0.99 | 0.99–1.00 | 0.29 |
| INR | 0.93 | 0.33–2.63 | 0.89 |
| Hemoglobin | 0.94 | 0.75–1.18 | 0.60 |
| Albumin | 0.61 | 0.31–1.18 | 0.14 |
| Total bilirubin | 3.57 | 1.44–8.86 | 0.006 |
| EBL | 0.99 | 0.98–1.00 | 0.12 |
| Number of lesions | 1.09 | 0.80–1.48 | 0.58 |
| Tumor size | 0.99 | 0.75–1.30 | 0.93 |
| Tumor Type Invader Pusher Hanger | 4.23 0.98 0.97 | 1.66–8.66 0.94–1.4 0.95–1.27 | 0.01 0.31 0.44 |
| LOS | 0.93 | 0.81–1.07 | 0.35 |
| Complications | 0.50 | 0.12–2.18 | 0.36 |
| Characteristic | Adjusted HR | 95% CI | p Value |
|---|---|---|---|
| Progression free survival | |||
| Gender | 1.22 | 0.51–2.91 | 0.65 |
| Child–Pugh | 0.45 | 0.10–1.98 | 0.29 |
| Preoperative intervention | 0.61 | 0.31–1.20 | 0.15 |
| Albumin | 0.45 | 0.21–0.94 | 0.03 |
| Total bilirubin | 2.92 | 1.06–7.99 | 0.03 |
| AFP (≥20 ng/mL) | 4.16 | 1.70–10.15 | 0.002 |
| Lesions Type (Invader) | 3.16 | 1.91–9.15 | 0.002 |
| Overall survival | |||
| BMI | 0.89 | 0.80–1.01 | 0.08 |
| Child–Pugh | 0.23 | 0.05–1.03 | 0.05 |
| Preoperative intervention | 0.78 | 0.36–1.67 | 0.52 |
| Total bilirubin | 3.62 | 1.21–10.81 | 0.02 |
| AFP (≥20 ng/mL) | 2.87 | 1.12–7.35 | 0.03 |
| Lesion Type (Invader) | 3.32 | 1.21–9.81 | 0.02 |
Disclaimer/Publisher’s Note: The statements, opinions and data contained in all publications are solely those of the individual author(s) and contributor(s) and not of MDPI and/or the editor(s). MDPI and/or the editor(s) disclaim responsibility for any injury to people or property resulting from any ideas, methods, instructions or products referred to in the content. |
© 2023 by the authors. Licensee MDPI, Basel, Switzerland. This article is an open access article distributed under the terms and conditions of the Creative Commons Attribution (CC BY) license (https://creativecommons.org/licenses/by/4.0/).
Share and Cite
Martin, R.C.G., II; Woeste, M.; Egger, M.E.; Scoggins, C.R.; McMasters, K.M.; Philips, P. Patient Selection and Outcomes of Laparoscopic Microwave Ablation of Hepatocellular Carcinoma. Cancers 2023, 15, 1965. https://doi.org/10.3390/cancers15071965
Martin RCG II, Woeste M, Egger ME, Scoggins CR, McMasters KM, Philips P. Patient Selection and Outcomes of Laparoscopic Microwave Ablation of Hepatocellular Carcinoma. Cancers. 2023; 15(7):1965. https://doi.org/10.3390/cancers15071965
Chicago/Turabian StyleMartin, Robert C. G., II, Matthew Woeste, Michael E. Egger, Charles R. Scoggins, Kelly M. McMasters, and Prejesh Philips. 2023. "Patient Selection and Outcomes of Laparoscopic Microwave Ablation of Hepatocellular Carcinoma" Cancers 15, no. 7: 1965. https://doi.org/10.3390/cancers15071965
APA StyleMartin, R. C. G., II, Woeste, M., Egger, M. E., Scoggins, C. R., McMasters, K. M., & Philips, P. (2023). Patient Selection and Outcomes of Laparoscopic Microwave Ablation of Hepatocellular Carcinoma. Cancers, 15(7), 1965. https://doi.org/10.3390/cancers15071965

