Characterization of BRCA Deficiency in Ovarian Cancer
Abstract
Simple Summary
Abstract
1. Introduction
2. Materials and Methods
2.1. Patients, Clinical Data, and Tumor Specimens
- newly diagnosed OC;
- major age;
- informed consent.
- The exclusion criteria were:
- borderline, stromal, and/or mucinous type OCs;
- unavailability of tumor tissue samples suitable for molecular analysis.
2.2. Nucleic Acid Isolation
2.3. Genomic BRCA1 and BRCA2 Analysis
2.4. Methylation-Specific MLPA (MS-MLPA)
2.5. Heterozygosity Analysis
2.6. Gene Expression Analysis by Droplet Digital PCR (ddPCR)
2.7. NGS Analysis of Other Cancer Genes
2.8. Array-CGH+SNP Analysis
2.9. Statistical Analysis
3. Results
3.1. BRCA1/2 Sequence Variants
3.2. BRCA Copy Number Variants and Loss of Heterozygosity
3.3. Methylation and Gene Expression Results
3.4. Classification of BRCA Deficit
3.5. Cancer Genes Panel Results
3.6. Array-CGH + SNP Analysis Results
3.7. FFPE Analyses
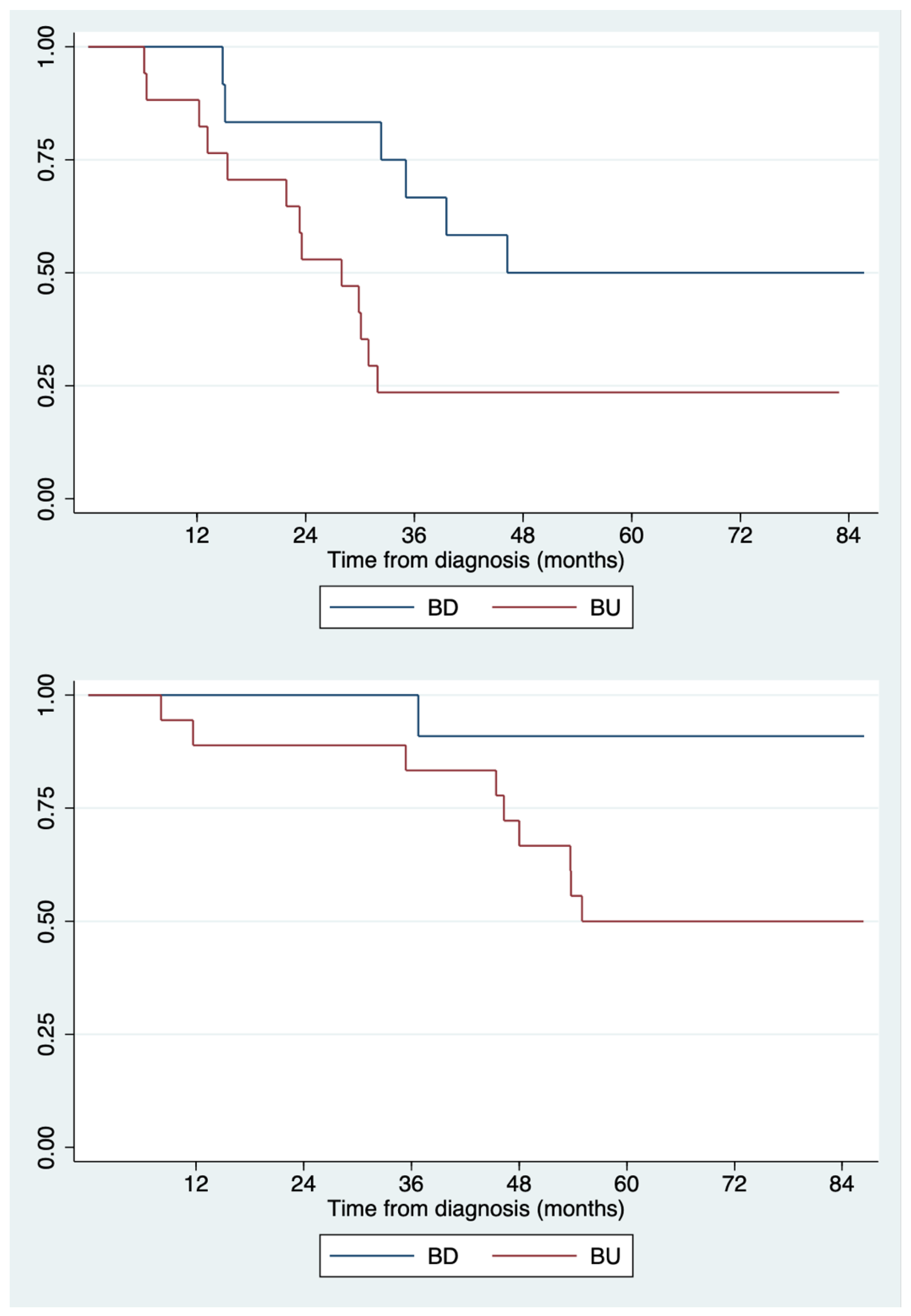
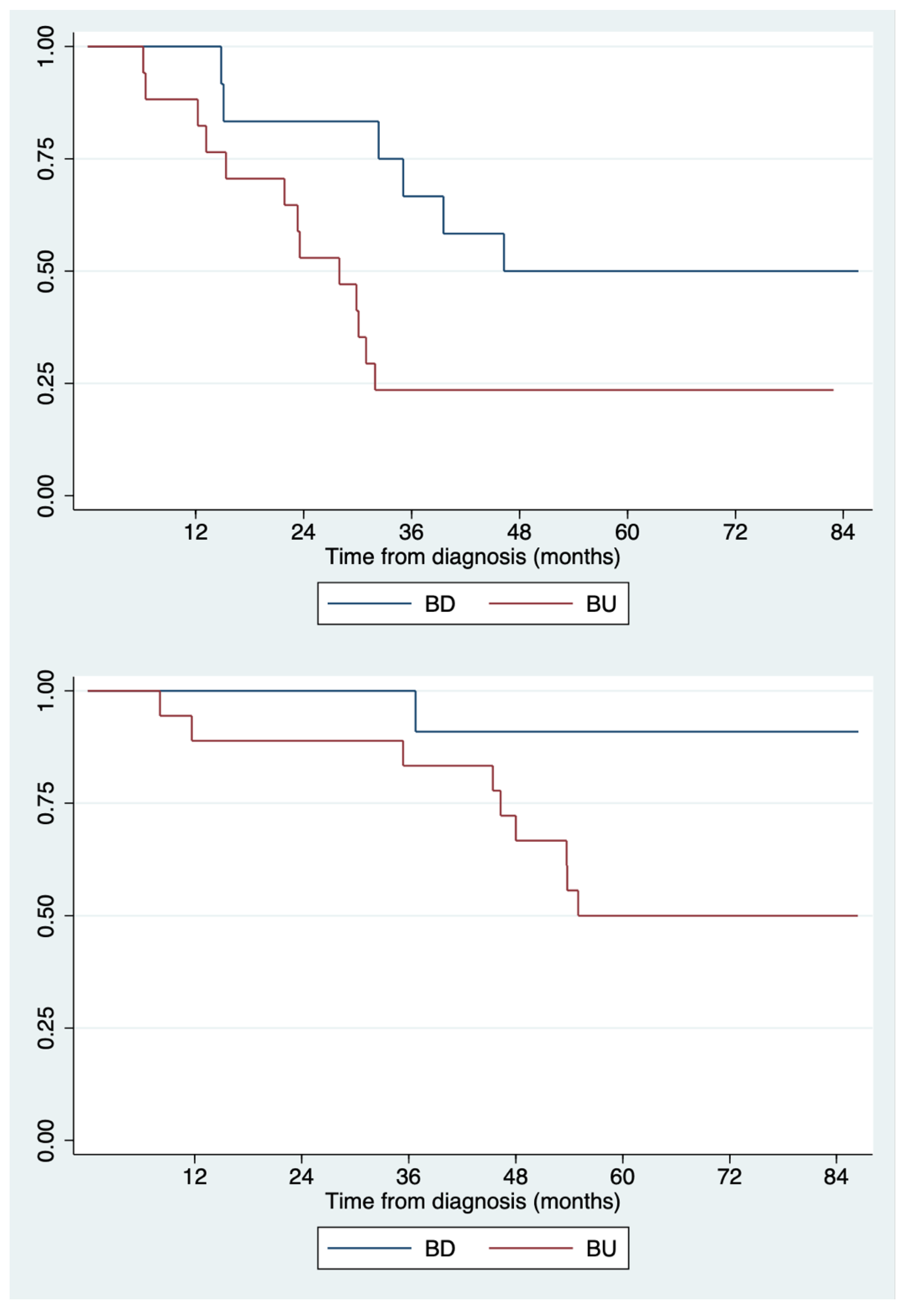
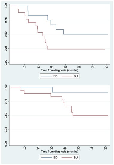
3.8. Clinical Characterization and Correlations with BRCA Status
4. Discussion
5. Conclusions
Supplementary Materials
Author Contributions
Funding
Institutional Review Board Statement
Informed Consent Statement
Data Availability Statement
Acknowledgments
Conflicts of Interest
References
- Siegel, R.L.; Miller, K.D.; Jemal, A. Cancer Statistics, 2017. CA Cancer J. Clin. 2017, 67, 7–30. [Google Scholar] [CrossRef]
- Seidman, J.D.; Horkayne-Szakaly, I.; Haiba, M.; Boice, C.R.; Kurman, R.J.; Ronnett, B.M. The histologic type and stage distribution of ovarian carcinomas of surface epithelial origin. Int. J. Gynecol. Pathol. 2004, 23, 41–44. [Google Scholar] [CrossRef] [PubMed]
- Girolimetti, G.; Perrone, A.M.; Santini, D.; Barbieri, E.; Guerra, F.; Ferrari, S.; Zamagni, C.; De Iaco, P.; Gasparre, G.; Turchetti, D. BRCA-associated ovarian cancer: From molecular genetics to risk management. Biomed. Res. Int. 2014, 2014, 787143. [Google Scholar] [CrossRef]
- Cancer Genome Atlas Research Network. Integrated genomic analyses of ovarian carcinoma. Nature 2011, 474, 609. [Google Scholar] [CrossRef] [PubMed]
- Moschetta, M.; George, A.; Kaye, S.B.; Banerjee, S. BRCA somatic mutations and epigenetic BRCA modifications in serous ovarian cancer. Ann. Oncol. 2016, 27, 1449–1455. [Google Scholar] [CrossRef] [PubMed]
- Alsop, K.; Fereday, S.; Meldrum, C.; de Fazio, A.; Emmanuel, C.; George, J.; Dobrovic, A.; Birrer, M.J.; Webb, P.M.; Stewart, C.; et al. BRCA mutation frequency and patterns of treatment response in BRCA mutation-positive women with ovarian cancer: A report from the Australian Ovarian Cancer Study Group. J. Clin. Oncol. 2012, 30, 2654–2663. [Google Scholar] [CrossRef]
- Bolton, K.L.; Chenevix-Trench, G.; Goh, C.; Sadetzki, S.; Ramus, S.J.; Karlan, B.Y.; Lambrechts, D.; Despierre, E.; Barrowdale, D.; McGuffog, L.; et al. Association between BRCA1 and BRCA2 mutations and survival in women with invasive epithelial ovarian cancer. JAMA 2012, 307, 382–390. [Google Scholar] [CrossRef]
- George, A.; Kristeleit, R.; Rafii, S.; Michie, C.O.; Bowen, R.; Michalarea, V.; van Hagen, T.; Wong, M.; Rallis, G.; Molife, L.R.; et al. Clinical factors of response in patients with advanced ovarian cancer participating in early phase clinical trials. Eur. J. Cancer 2017, 76, 52–59. [Google Scholar] [CrossRef]
- Faraoni, I.; Graziani, G. Role of BRCA Mutations in Cancer Treatment with Poly(ADP-ribose) Polymerase (PARP) Inhibitors. Cancers 2018, 10, 487. [Google Scholar] [CrossRef]
- George, J.; Alsop, K.; Etemadmoghadam, D.; Hondow, H.; Mikeska, T.; Dobrovic, A.; de Fazio, A.; Australian Ovarian Cancer Study Group; Smyth, G.K.; Levine, D.A.; et al. Nonequivalent gene expression and copy number alterations in high-grade serous ovarian cancers with BRCA1 and BRCA2 mutations. Clin. Cancer Res. 2013, 19, 3474–3484. [Google Scholar] [CrossRef]
- Wiggans, A.J.; Cass, G.K.; Bryant, A.; Lawrie, T.A.; Morrison, J. Poly(ADP-ribose) polymerase (PARP) inhibitors for the treatment of ovarian cancer. Cochrane Database Syst. Rev. 2015, 2015, CD007929. [Google Scholar] [CrossRef]
- Cortesi, L.; Toss, A.; Cucinotto, I. PARP Inhibitors for the Treatment of Ovarian Cancer. Curr. Cancer Drug Targets 2018, 18, 877–893. [Google Scholar] [CrossRef] [PubMed]
- Palma, M.D.; Domchek, S.M.; Stopfer, J.; Erlichman, J.; Siegfried, J.D.; Tigges-Cardwell, J.; Mason, B.A.; Rebbeck, T.R.; Nathanson, K.L. The relative contribution of point mutations and genomic rearrangements in BRCA1 and BRCA2 in high-risk breast cancer families. Cancer Res. 2008, 68, 7006–7014. [Google Scholar] [CrossRef] [PubMed]
- Ewald, I.P.; Ribeiro, P.L.; Palmero, E.I.; Cossio, S.L.; Giugliani, R.; Ashton-Prolla, P. Genomic rearrangements in BRCA1 and BRCA2: A literature review. Genet. Mol. Biol. 2009, 32, 437–446. [Google Scholar] [CrossRef] [PubMed]
- Judkins, T.; Rosenthal, E.; Arnell, C.; Burbidge, L.A.; Geary, W.; Barrus, T.; Schoenberger, J.; Trost, J.; Wenstrup, R.J.; Roa, B.B. Clinical significance of large rearrangements in BRCA1 and BRCA2. Cancer 2012, 118, 5210–5216. [Google Scholar] [CrossRef] [PubMed]
- Ellison, G.; Ahdesmäki, M.; Luke, S.; Waring, P.M.; Wallace, A.; Wright, R.; Röthlisberger, B.; Ludin, K.; Merkelbach-Bruse, S.; Heydt, C.; et al. An evaluation of the challenges to developing tumor BRCA1 and BRCA2 testing methodologies for clinical practice. Hum. Mutat. 2018, 39, 394–405. [Google Scholar] [CrossRef]
- Capoluongo, E.; Ellison, G.; López-Guerrero, J.A.; Penault-Llorca, F.; Ligtenberg, M.J.L.; Banerjee, S.; Singer, C.; Friedman, E.; Markiefka, B.; Schirmacher, P.; et al. Guidance Statement on BRCA1/2 Tumor Testing in Ovarian Cancer Patients. Semin. Oncol. 2017, 44, 187–197. [Google Scholar] [CrossRef]
- Enyedi, M.Z.; Jaksa, G.; Pintér, L.; Sükösd, F.; Gyuris, Z.; Hajdu, A.; Határvölgyi, E.; Priskin, K.; Haracska, L. Simultaneous detection of BRCA mutations and large genomic rearrangements in germline DNA and FFPE tumor samples. Oncotarget 2016, 7, 61845–61859. [Google Scholar] [CrossRef]
- Fumagalli, C.; Tomao, F.; Betella, I.; Rappa, A.; Calvello, M.; Bonanni, B.; Bernard, L.; Peccatori, F.; Colombo, N.; Viale, G.; et al. Tumor BRCA Test for Patients with Epithelial Ovarian Cancer: The Role of Molecular Pathology in the Era of PARP Inhibitor Therapy. Cancers 2019, 11, 1641. [Google Scholar] [CrossRef]
- Kim, Y.; Cho, C.H.; Ha, J.S.; Kim, D.H.; Kwon, S.Y.; Oh, S.C.; Lee, K.A. An optimized BRCA1/2 next-generation sequencing for different clinical sample types. J. Gynecol. Oncol. 2020, 31, e9. [Google Scholar] [CrossRef]
- Vos, J.R.; Fakkert, I.E.; de Hullu, J.A.; van Altena, A.M.; Sie, A.S.; Ouchene, H.; Willems, R.W.; Nagtegaal, I.D.; Jongmans, M.C.J.; Mensenkamp, A.R.; et al. Universal Tumor DNA BRCA1/2 Testing of Ovarian Cancer: Prescreening PARPi Treatment and Genetic Predisposition. J. Natl. Cancer Inst. 2020, 112, 161–169. [Google Scholar] [CrossRef] [PubMed]
- Trenner, A.; Sartori, A.A. Harnessing DNA Double-Strand Break Repair for Cancer Treatment. Front. Oncol. 2019, 9, 1388. [Google Scholar] [CrossRef] [PubMed]
- Pennington, K.P.; Walsh, T.; Harrell, M.I.; Lee, M.K.; Pennil, C.C.; Rendi, M.H.; Thornton, A.; Norquist, B.M.; Casadei, S.; Nord, A.S.; et al. Germline and somatic mutations in homologous recombination genes predict platinum response and survival in ovarian, fallopian tube, and peritoneal carcinomas. Clin. Cancer Res. 2014, 20, 764–775. [Google Scholar] [CrossRef] [PubMed]
- Ledermann, J.; Harter, P.; Gourley, C.; Friedlander, M.; Vergote, I.; Rustin, G.; Scott, C.L.; Meier, W.; Shapira-Frommer, R.; Safra, T.; et al. Olaparib maintenance therapy in patients with platinum-sensitive relapsed serous ovarian cancer: A preplanned retrospective analysis of outcomes by BRCA status in a randomised phase 2 trial. Lancet Oncol. 2014, 15, 852–861. [Google Scholar] [CrossRef]
- Staropoli, N.; Ciliberto, D.; Del Giudice, T.; Iuliano, E.; Cucè, M.; Grillone, F.; Salvino, A.; Barbieri, V.; Russo, A.; Tassone, P.; et al. The Era of PARP inhibitors in ovarian cancer: “Class Action” or not? A systematic review and meta-analysis. Crit. Rev. Oncol. Hematol. 2018, 131, 83–89. [Google Scholar] [CrossRef]
- Daly, M.B.; Pal, T.; Berry, M.P.; Buys, S.S.; Dickson, P.; Domchek, S.M.; Elkhanany, A.; Friedman, S.; Goggins, M.; Hutton, M.L.; et al. Genetic/Familial High-Risk Assessment: Breast, Ovarian, and Pancreatic, Version 2.2021, NCCN Clinical Practice Guidelines in Oncology. J. Natl. Compr. Canc. Netw. 2021, 19, 77–102. [Google Scholar] [CrossRef]
- Soegaard, M.; Kjaer, S.K.; Cox, M.; Wozniak, E.; Høgdall, E.; Høgdall, C.; Blaakaer, J.; Jacobs, I.J.; Gayther, S.A.; Ramus, S.J. BRCA1 and BRCA2 mutation prevalence and clinical characteristics of a population-based series of ovarian cancer cases from Denmark. Clin. Cancer Res. 2008, 14, 3761–3767. [Google Scholar] [CrossRef]
- Hennessy, B.T.; Timms, K.M.; Carey, M.S.; Gutin, A.; Meyer, L.A.; Flake, D.D., 2nd; Abkevich, V.; Potter, J.; Pruss, D.; Glenn, P.; et al. Somatic mutations in BRCA1 and BRCA2 could expand the number of patients that benefit from poly (ADP ribose) polymerase inhibitors in ovarian cancer. J. Clin. Oncol. 2010, 28, 3570–3576. [Google Scholar] [CrossRef]
- Rust, K.; Spiliopoulou, P.; Tang, C.Y.; Bell, C.; Stirling, D.; Phang, T.; Davidson, R.; Mackean, M.; Nussey, F.; Glasspool, R.M.; et al. Routine germline BRCA1 and BRCA2 testing in patients with ovarian carcinoma: Analysis of the Scottish real-life experience. BJOG 2018, 125, 1451–1458. [Google Scholar] [CrossRef]
- Baldwin, R.L.; Nemeth, E.; Tran, H.; Shvartsman, H.; Cass, I.; Narod, S.; Karlan, B.Y. BRCA1 promoter region hypermethylation in ovarian carcinoma: A population-based study. Cancer Res. 2000, 60, 5329–5333. [Google Scholar]
- Rigakos, G.; Razis, E. BRCAness: Finding the Achilles heel in ovarian cancer. Oncologist 2012, 17, 956–962. [Google Scholar] [CrossRef] [PubMed]
- Ter Brugge, P.; Kristel, P.; van der Burg, E.; Boon, U.; de Maaker, M.; Lips, E.; Mulder, L.; de Ruiter, J.; Moutinho, C.; Gevensleben, H.; et al. Mechanisms of Therapy Resistance in Patient-Derived Xenograft Models of BRCA1-Deficient Breast Cancer. J. Natl. Cancer Inst. 2016, 108, djw148. [Google Scholar] [CrossRef] [PubMed]
- Zhong, Q.; Wagner, U.; Kurt, H.; Molinari, F.; Cathomas, G.; Komminoth, P.; Barman-Aksözen, J.; Schneider-Yin, X.; Rey, J.P.; Vassella, E.; et al. Multi-laboratory proficiency testing of clinical cancer genomic profiling by next-generation sequencing. Pathol. Res. Pract. 2018, 214, 957–963. [Google Scholar] [CrossRef] [PubMed]
- de Luca, X.M.; Newell, F.; Kazakoff, S.H.; Hartel, G.; McCart Reed, A.E.; Holmes, O.; Xu, Q.; Wood, S.; Leonard, C.; Pearson, J.V.; et al. Using whole-genome sequencing data to derive the homologous recombination deficiency scores. NPJ Breast Cancer 2020, 6, 33. [Google Scholar] [CrossRef] [PubMed]
- Takaya, H.; Nakai, H.; Takamatsu, S.; Mandai, M.; Matsumura, N. Homologous recombination deficiency status-based classification of high-grade serous ovarian carcinoma. Sci. Rep. 2020, 10, 2757. [Google Scholar] [CrossRef] [PubMed]
- Delaney, J.R.; Stupack, D.G. Genomic Copy Number Alterations in Serous Ovarian Cancer. Ovarian Cancer—From Pathogenesis to Treatment. In Ovarian Cancer-From Pathogenesis to Treatment; IntechOpen: London, UK, 2018. [Google Scholar] [CrossRef]
- Chien, J.; Sicotte, H.; Fan, J.B.; Humphray, S.; Cunningham, J.M.; Kalli, K.R.; Oberg, A.L.; Hart, S.N.; Li, Y.; Davila, J.I.; et al. TP53 mutations, tetraploidy and homologous recombination repair defects in early stage high-grade serous ovarian cancer. Nucleic Acids Res. 2015, 43, 6945–6958. [Google Scholar] [CrossRef]
- Tan, D.S.; Rothermundt, C.; Thomas, K.; Bancroft, E.; Eeles, R.; Shanley, S.; Ardern-Jones, A.; Norman, A.; Kaye, S.B.; Gore, M.E. “BRCAness” syndrome in ovarian cancer: A case-control study describing the clinical features and outcome of patients with epithelial ovarian cancer associated with BRCA1 and BRCA2 mutations. J. Clin. Oncol. 2008, 26, 5530–5536. [Google Scholar] [CrossRef]


| Gene | Nucleotide Variant | Effect on Protein | Class | Variant Load | Origin | Patient |
|---|---|---|---|---|---|---|
| BRCA1 | c.547 + 2T > A | ? | C4 | 100% | Germline | GECO 31 |
| c.569C > T | p.Thr190Ile | C3 | 20% | Germline | GECO 27 | |
| c.3613G > A | p.Gly1205Arg | C3 | 25% | Germline | GECO 2 | |
| c.4065_4068delTCAA | p.Asn1355Lysfs | C5 | 97% | Germline | GECO 29 | |
| c.5123C > A | p.Ala1708Glu | C5 | 80% | Germline | GECO 8 | |
| BRCA2 | c.1813delA | p.Gly602 = fs*11 | C5 | 90% | Germline | GECO 24 |
| c.5352C > A | p.Asn1784Lys | C3 | 50% | Somatic | GECO 3 | |
| c.6442delT | p.Ser2148Leufs*20 | C5 | 60% | Somatic | GECO 26 | |
| c.7558C > T | p.Arg2520Ter | C5 | 80% | Germline | GECO 13 | |
| c.9118-1G > A | ? | C4 | 80% | Germline | GECO 27 |
| Patient ID | Total CNVs | Simple CNVs | Complex CNVs | ||||||||||||
|---|---|---|---|---|---|---|---|---|---|---|---|---|---|---|---|
| n. of CNVs | Unbalanced Genome (%) | Deletions | Duplications | Deletions | Duplications | Deletions | Duplications | ||||||||
| n. | Average Size (kb) | n. | Average Size (kb) | n. | Average Size (kb) | n. | Average Size (kb) | n. | Average Size (kb) | n. | Average Size (kb) | ||||
| BU | GECO 6 | 99 | 38.56 | 76 | 11,736 | 23 | 10,664 | 51 | 4282 | 22 | 10,338 | 25 | 26,943 | 1 | 17,843 |
| GECO 9 | 48 | 54.00 | 35 | 40,948 | 13 | 12,270 | 16 | 26,677 | 7 | 14,230 | 19 | 52,967 | 6 | 9983 | |
| GECO 16 | 49 | 33.78 | 7 | 39,263 | 42 | 17,177 | 5 | 10,600 | 9 | 2585 | 2 | 33,621 | 33 | 49,266 | |
| GECO 18 | 15 | 1.59 | 14 | 3198 | 1 | 2246 | 13 | 2349 | 1 | 2246 | 1 | 14,227 | 0 | / | |
| GECO 30 | 37 | 60.47 | 33 | 52,287 | 4 | 14,484 | 4 | 19,087 | 2 | 11,692 | 29 | 56,867 | 2 | 17,276 | |
| GECO 35 | 60 | 54.85 | 42 | 27,019 | 18 | 26,829 | 14 | 4247 | 4 | 5180 | 28 | 38,405 | 14 | 33,105 | |
| Average | 51 | 40.54 | 35 | 29,075 | 17 | 13,945 | 17 | 11,207 | 8 | 7712 | 17 | 37,172 | 9 | 25,495 | |
| BD | GECO 27 | 196 | 57.74 | 90 | 10,995 | 106 | 6730 | 61 | 3285 | 87 | 4882 | 29 | 27,210 | 19 | 15,193 |
| GECO 29 | 72 | 36.78 | 42 | 16,868 | 30 | 12,539 | 41 | 16,805 | 20 | 7607 | 1 | 19,453 | 10 | 22,403 | |
| GECO 31 | 90 | 56.44 | 37 | 24,489 | 53 | 14,312 | 29 | 20,915 | 34 | 10,566 | 8 | 37,446 | 19 | 21,016 | |
| GECO 7 | 205 | 43.64 | 89 | 4092 | 116 | 7956 | 34 | 1642 | 57 | 2910 | 55 | 5606 | 59 | 12,832 | |
| GECO 26 | 107 | 63.01 | 47 | 16,537 | 60 | 18,017 | 18 | 3690 | 36 | 7171 | 29 | 24,511 | 24 | 34,569 | |
| GECO 13 | 89 | 61.26 | 32 | 16,157 | 57 | 22,624 | 15 | 7001 | 23 | 5304 | 17 | 24,235 | 34 | 34,340 | |
| GECO 8 | 78 | 44.00 | 49 | 15,201 | 29 | 19,068 | 22 | 1944 | 19 | 9775 | 27 | 26,003 | 10 | 36,725 | |
| Average | 120 | 51.84 | 55 | 14,906 | 64 | 14,464 | 31 | 7897 | 39 | 6888 | 24 | 23,495 | 25 | 25,297 | |
| K-S test p values | 0.015 | 0.528 | 0.338 | 0.091 | 0.015 | 0.925 | 0.068 | 0.528 | 0.015 | 0.712 | 0.980 | 0.212 | 0.245 | 0.838 | |
| Patient | Gene | Nucleotide Variant | Effect on Protein | Class # | Germline | Variant Load | ||
|---|---|---|---|---|---|---|---|---|
| SF Tissues | R-FFPE (2017) | D-FFPE (2020) | ||||||
| GECO 1 | BRCA2 | c.7171G > A | p.Glu2391Lys | C3 | N | N | 23% | N |
| GECO 2 | BRCA1 | c.3613G > A | p.Gly1205Arg | C3 | Y | 25% | 20% | 13% |
| GECO 3 | BRCA2 | c.5352C > A | p.Asn1784Lys | C3 | N | 50% | N | N |
| GECO 8 | BRCA1 | c.4411G > A | p.Gly1471Ser | C3 | N | N | 22% | N |
| BRCA1 | c.5123C > A | p.Ala1708Glu | C5 | Y | 80% | 97% | 76% | |
| BRCA2 | c.5321C > T | p.Pro1774Leu | C3 | N | N | 28% | N | |
| BRCA2 | c.5692G > A | p.Asp1898Asn | C3 | N | N | 23% | N | |
| GECO 13 | BRCA2 | c.6455C > T | p.Ser2152Phe | C3 | N | N | 20% | n.a.* |
| BRCA2 | c.7558C > T | p.Arg2520Ter | C5 | Y | 80% | 93% | n.a.* | |
| GECO 17 | BRCA1 | c. 4669G > A | p.Asp1557Asn | C3 | N | N | 29% | N |
| GECO 22 | BRCA2 | c.8970G > A | p.Trp2990Ter | C5 | N | N | 20% | N |
| BRCA2 | c.9968C > A | p.Thr3323Asn | C3 | N | N | 27% | N | |
| GECO 23 | BRCA1 | c.3679C > T | p.Gln1227Ter | C5 | N | N | 44% | N |
| BRCA1 | c.5298C > A | p.Ile1766= | C3 | N | N | 24% | N | |
| BRCA2 | c.200G > T | p.Arg67Met | C3 | N | N | 20% | N | |
| BRCA2 | c.2931G > A | p.Leu977= | C3 | N | N | 33% | N | |
| GECO 24 | BRCA2 | c.1813delA | p.Gly602 = fs*11 | C5 | Y | 90% | 100% | n.a. * |
| GECO 25 | BRCA1 | c.223G > A | p.Glu75Lys | C3 | N | N | 25% | N |
| BRCA1 | c.1108G > A | p.Val370Ile | C3 | N | N | 28% | N | |
| BRCA1 | c.1411C > T | p.Leu471Phe | C3 | N | N | 25% | N | |
| BRCA2 | c.1621G > A | p.Glu541Lys | C3 | N | N | 34% | N | |
| BRCA2 | c.2420T > C | p.Val807Ala | C3 | N | N | 42% | N | |
| BRCA2 | c.2842G > A | p.Val948Ile | C3 | N | N | 20% | N | |
| BRCA2 | c.3664G > A | p.Ala1222Thr | C3 | N | N | 27% | N | |
| BRCA2 | c.5134G > A | p.Gly1712Arg | C3 | N | N | 25% | N | |
| BRCA2 | c.6712G > A | p.Asp2238Asn | C3 | N | N | 39% | N | |
| BRCA2 | c.8598C > T | p.Phe2866= | C3 | N | N | 23% | N | |
| BRCA2 | c.9562G > A | p.Asp3188Asn | C3 | N | N | 35% | N | |
| GECO 26 | BRCA1 | c.31G > A | p.Val11Ile | C3 | N | N | 31% | N |
| BRCA1 | c.3391G > C | p.Asp1131His | C3 | N | N | 28% | N | |
| BRCA1 | c.5227G > A | p.Gly1743Arg | C3 | N | N | 27% | N | |
| BRCA2 | c.484G > A | p.Gly162Arg | C3 | N | N | 28% | N | |
| BRCA2 | c.2967C > T | p.Tyr989= | C3 | N | N | 28% | N | |
| BRCA2 | c.3718C > T | p.Leu1240= | C3 | N | N | 24% | N | |
| BRCA2 | c.3599G > A | p.Cys1200Tyr | C3 | N | N | 27% | N | |
| BRCA2 | c.6158C > T | p.Ser2053Phe | C3 | N | N | 33% | N | |
| BRCA2 | c.6442delT | p.Ser2148Leufs*20 | C5 | N | 60% | 88% | 92% | |
| GECO 29 | BRCA1 | c.4065_4068del | p.Asn1355Lysfs | C5 | Y | 97% | 97% | n.a. * |
| GECO 31 | BRCA1 | c.547 + 2T > A | ? | C4 | Y | 98% | 97% | n.a. * |
| GECO 33 | BRCA1 | c.3349G > A | p.Val1117Ile | C3 | N | N | 26% | N |
| BRCA2 | c.576G > A | p.Met192Ile | C3 | N | N | 46% | N | |
| Patient ID | Age at Diagnosis (Years) | Histopathologic Diagnosis | Site | Grade | Stage a | BRCA Status | Gene Altered in the Germline | Type of Surgery | Post-Surgery Complications | Macro Residual Post- Surgery b | Type of Chemotherapy | Relapse | PARP-i Maintenance Therapy at Relapse | Clinical Status | Time to Relapse (Months) | Time to Death (Months) | Follow-Up Time (Months) |
|---|---|---|---|---|---|---|---|---|---|---|---|---|---|---|---|---|---|
| GECO 1 | 51 | PS | FaT + Per | 3 | IIIc | BU | / | H + BSO | Y | R0 | Car + Pac | Y | MD | T | 23 | / | 62 |
| GECO 2 | 67 | PS | Per | 3 | IIIc | BU | / | H + BSO | Y | R0 | NC | Y | N | D | 0 | 11 | 11 |
| GECO 3 | 53 | PS | Ov | 3 | IIIc | BD | / | H + BSO | Y | R0 | Car + Pac | Y | MD | T | 32 | / | 39 |
| GECO 5 | 57 | PS | Ov | 3 | IIIc | BD | / | H + BSO | N | R0 | Car + Pac | N | / | FU | / | / | 84 |
| GECO 6 | 55 | PS | Ov | 3 | IIIc | BU | / | H + BSO | N | R0 | Car + Pac | Y | Y | T | 6 | / | 83 |
| GECO 7 | 31 | PS | Per | 3 | IIb | BD | / | H + BSO | N | R0 | Car + Pac | N | / | FU | / | / | 72 |
| GECO 8 | 33 | PS | FaT | 3 | IV | BD | BRCA1 | H + BSO | N | R2 | Car + Pac | Y | Y | T | 15 | / | 81 |
| GECO 9 | 50 | PS | Ov | 3 | IV | BU | / | H + BSO | N | R0 | Car + Pac | Y | N | D | 21 | 54 | 54 |
| GECO 12 | 73 | PS | Ov | 3 | IIIc | BU | / | H + BSO | N | R0 | Car + Pac | Y | N | D | 27 | 53 | 53 |
| GECO 13 | 65 | En | Per | 3 | IIIc | BD | BRCA2 | H + BSO | Y | R1 | MD | N | / | FU | / | / | 82 |
| GECO 14 | 50 | PS | Ov | 3 | IIIc | BU | RAD51C | H + BSO | Y | R0 | Car + Pac | N | / | FU | / | / | 82 |
| GECO 15 | 65 | PS | Ov | 3 | IIIa | BU | / | H + BSO | N | R0 | MD | N | / | FU | / | / | 81 |
| GECO 16 | 64 | PS | Ov | 3 | IIIc | BU | / | H + BSO | N | R0 | Car | Y | Y | D | 12 | 48 | 48 |
| GECO 17 | 51 | PS | Ov | 3 | IV | BU | / | H + BSO | N | R0 | Car + Pac | Y | Y | D | 30 | 53 | 53 |
| GECO 18 | 61 | PS | Ov | 3 | IIIc | BU | / | H + BSO | N | R0 | Car + Pac | Y | N | D | 23 | 33 | 33 |
| GECO 20 | 39 | PS | Ov | 3 | IV | BD | / | H + BSO | N | R0 | Car | Y | Y | T | 46 | / | 71 |
| GECO 21 | 68 | PS | FaT | 3 | IIc | BU | / | H + BSO | N | R0 | Car + Pac | N | / | FU | / | / | 80 |
| GECO 22 | 58 | PS | Ov | 3 | IV | BU | / | H + BSO | Y | R2 | Car + Pac | Y | MD | D | 15 | 46 | 46 |
| GECO 23 | 48 | PS | Ov | 3 | IIIc | BU | / | H + BSO | Y | R0 | Car + Pac | Y | MD | T | 32 | / | 78 |
| GECO 24 | 67 | PS | FaT | 3 | IIIc | BD | BRCA2 | H + BSO | Y | R0 | MD | N | / | FU | / | / | 78 |
| GECO 25 | 58 | PS | Ov | 3 | IV | BU | / | H + BSO | Y | R0 | MD | Y | MD | T | 29 | / | 78 |
| GECO 26 | 60 | PS | FaT | 3 | IIIc | BD | / | H + BSO | N | R1 | Car + Pac | N | / | FU | / | / | 78 |
| GECO 27 | 68 | PS | Ov | 3 | Ic | BD | BRCA2 | H + BSO | N | R0 | Car + Pac | N | / | FU | / | / | 79 |
| GECO 28 | 54 | PS | Ov | 3 | IIIc | BU | / | H + BSO | N | R0 | Car + Pac | N | / | T | / | / | 69 |
| GECO 29 | 44 | PS | Ov | 3 | IIIc | BD | BRCA1 | H + BSO | Y | R0 | Car + Pac | N | / | FU | / | / | 66 |
| GECO 30 | 67 | PS | Ov | 3 | IIIc | BU | / | H + BSO | N | R0 | MD | Y | N | D | 6 | 8 | 8 |
| GECO 31 | 44 | PS | Ov | 3 | IV | BD | BRCA1 | H + BSO | N | R0 | Car + Pac | Y | N | D | 15 | 35 | 35 |
| GECO 33 | 65 | PS | Ov | 3 | IIb | BU | / | H + BSO | N | R0 | Car + Pac | N | / | FU | / | / | 59 |
| GECO 34 | 49 | PS | Ov + FaT + Per | 3 | IV | BD | / | H + BSO | N | R2 | Car + Pac | Y | MD | T | 35 | / | 35 |
| GECO 35 | 63 | PS | Ov | 3 | IIIc | BU | / | H + BSO | N | R0 | Car + Pac | Y | N | D | 13 | 34 | 34 |
| BD | BU | p | ||
|---|---|---|---|---|
| Age at diagnosis, n. (%) | <60 y | 8 (66.7) | 9 (52.9) | 0.703 |
| ≥60 y | 4 (33.3) | 8 (47.1) | ||
| Histopathologic diagnosis, n (%) | PS | 11 (91.7) | 17 (100) | 0.414 |
| EN | 1 (8.3) | 0 | ||
| Stage a, n (%) | I-II | 2 (16.7) | 2 (11.8) | 1.000 |
| III-IV | 10 (83.3) | 15 (88.2) | ||
| Macroresidual post-surgery b, n (%) | R0 | 8 (66.7) | 16 (94.1) | 0.130 |
| R > 0 | 4 (33.3) | 1 (5.9) | ||
| Relative dose intensity of chemotherapy c, n (%) | >85% | 10 (83.4) | 14 (82.4) | 0.945 |
| NA | 2(16.6) | 3 (17.6) | ||
| PFS (mean ± SD, months) | 54.9 ± 27.2 | 34.6 ± 26.7 | 0.055 | |
| HR 0.382 [95% CI 0.142–1.022] | ||||
| OS (mean ± SD, months) | 69.1 ± 20.0 | 58.4 ± 23.5 | 0.077 | |
| HR 0.155 [95% CI 0.020–1.222] | ||||
Disclaimer/Publisher’s Note: The statements, opinions and data contained in all publications are solely those of the individual author(s) and contributor(s) and not of MDPI and/or the editor(s). MDPI and/or the editor(s) disclaim responsibility for any injury to people or property resulting from any ideas, methods, instructions or products referred to in the content. |
© 2023 by the authors. Licensee MDPI, Basel, Switzerland. This article is an open access article distributed under the terms and conditions of the Creative Commons Attribution (CC BY) license (https://creativecommons.org/licenses/by/4.0/).
Share and Cite
Barbero, G.; Zuntini, R.; Magini, P.; Desiderio, L.; Bonaguro, M.; Perrone, A.M.; Rubino, D.; Grippa, M.; De Leo, A.; Ceccarelli, C.; et al. Characterization of BRCA Deficiency in Ovarian Cancer. Cancers 2023, 15, 1530. https://doi.org/10.3390/cancers15051530
Barbero G, Zuntini R, Magini P, Desiderio L, Bonaguro M, Perrone AM, Rubino D, Grippa M, De Leo A, Ceccarelli C, et al. Characterization of BRCA Deficiency in Ovarian Cancer. Cancers. 2023; 15(5):1530. https://doi.org/10.3390/cancers15051530
Chicago/Turabian StyleBarbero, Giovanna, Roberta Zuntini, Pamela Magini, Laura Desiderio, Michela Bonaguro, Anna Myriam Perrone, Daniela Rubino, Mina Grippa, Antonio De Leo, Claudio Ceccarelli, and et al. 2023. "Characterization of BRCA Deficiency in Ovarian Cancer" Cancers 15, no. 5: 1530. https://doi.org/10.3390/cancers15051530
APA StyleBarbero, G., Zuntini, R., Magini, P., Desiderio, L., Bonaguro, M., Perrone, A. M., Rubino, D., Grippa, M., De Leo, A., Ceccarelli, C., Godino, L., Miccoli, S., Ferrari, S., Santini, D., De Iaco, P., Zamagni, C., Innella, G., & Turchetti, D. (2023). Characterization of BRCA Deficiency in Ovarian Cancer. Cancers, 15(5), 1530. https://doi.org/10.3390/cancers15051530

