Lower Expression of CFTR Is Associated with Higher Mortality in a Meta-Analysis of Individuals with Colorectal Cancer
Abstract
Simple Summary
Abstract
1. Introduction
2. Materials and Methods
2.1. Study Design
2.2. TCGA COADREAD Study
2.3. GSE39582 and GSE17538 Studies
2.3.1. Patient and Clinical Information in the GSE17538 Study
2.3.2. Patient and Clinical Information in the GSE39582 Study
2.4. Statistical Analysis
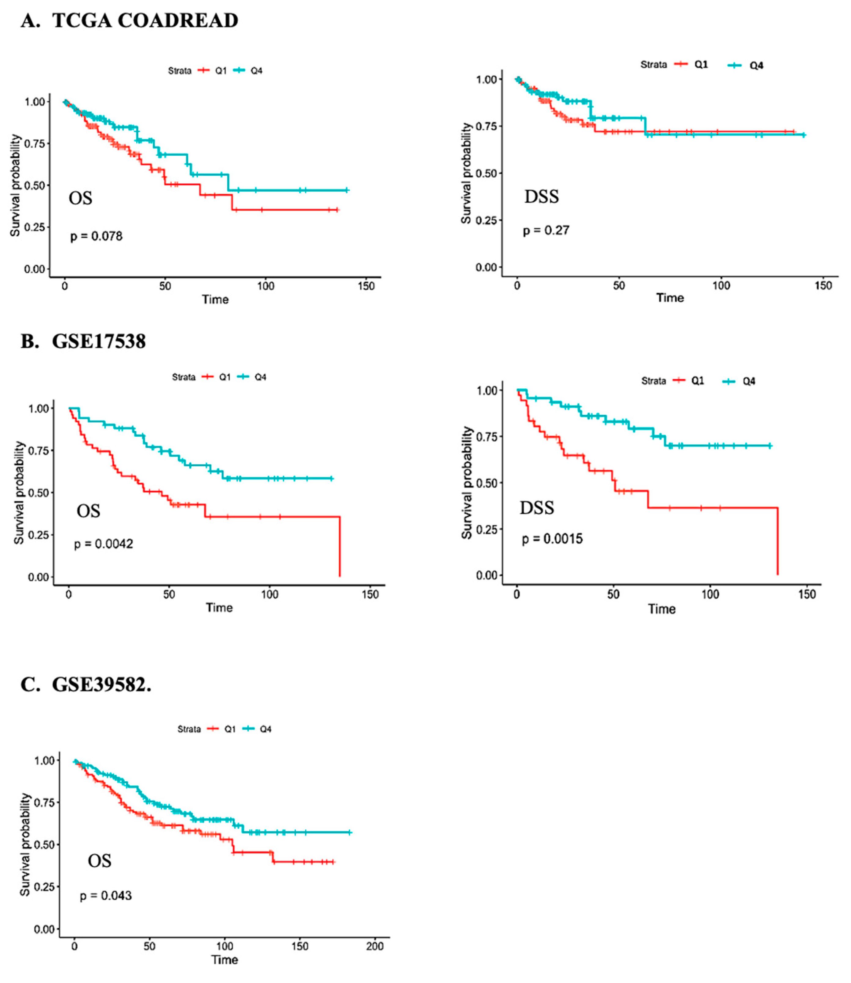
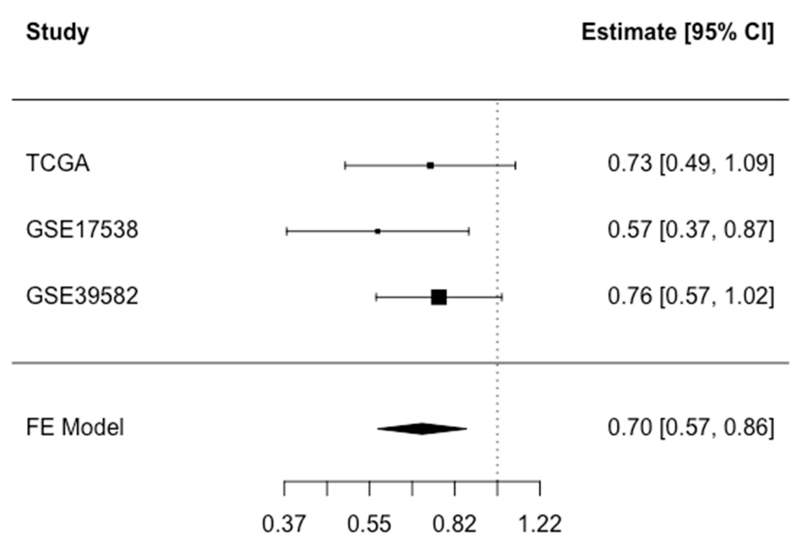
3. Results
3.1. Descriptive Analysis
3.2. CFTR Expression and the Risk of Overall Death
3.3. CFTR Expression and the Risk of Disease-Specific Death
3.4. Somatic Mutations in CFTR in CRC
4. Discussion
5. Conclusions
Supplementary Materials
Author Contributions
Funding
Institutional Review Board Statement
Informed Consent Statement
Data Availability Statement
Conflicts of Interest
References
- De Lisle, R.C.; Borowitz, D. The Cystic Fibrosis Intestine. Cold Spring Harb. Perspect. Med. 2013, 3, a009753. [Google Scholar] [CrossRef]
- Riordan, J.R.; Rommens, J.M.; Kerem, B.-S.; Alon, N.; Rozmahel, R.; Grzelczak, Z.; Zielenski, J.; Lok, S.; Plavsic, N.; Chou, J.-L.; et al. Identification of the Cystic Fibrosis Gene: Cloning and Characterization of Complementary DNA. Science 1989, 245, 1066–1073. [Google Scholar] [CrossRef] [PubMed]
- Gibson, R.L.; Burns, J.L.; Ramsey, B.W. Pathophysiology and Management of Pulmonary Infections in Cystic Fibrosis. Am. J. Respir. Crit. Care Med. 2003, 168, 918–951. [Google Scholar] [CrossRef] [PubMed]
- Gelfond, D.; Borowitz, D. Gastrointestinal Complications of Cystic Fibrosis. Clin. Gastroenterol. Hepatol. 2013, 11, 333–342. [Google Scholar] [CrossRef] [PubMed]
- Maisonneuve, P.; Marshall, B.C.; Knapp, E.A.; Lowenfels, A.B. Cancer Risk in Cystic Fibrosis: A 20-Year Nationwide Study from the United States. Gynecol. Oncol. 2013, 105, 122–129. [Google Scholar] [CrossRef] [PubMed]
- Yamada, A.; Komaki, Y.; Komaki, F.; Micic, D.; Zullow, S.; Sakuraba, A. Risk of gastrointestinal cancers in patients with cystic fibrosis: A systematic review and meta-analysis. Lancet Oncol. 2018, 19, 758–767. [Google Scholar] [CrossRef]
- Niccum, D.E.; Billings, J.L.; Dunitz, J.M.; Khoruts, A. Colonoscopic screening shows increased early incidence and progression of adenomas in cystic fibrosis. J. Cyst. Fibros. 2016, 15, 548–553. [Google Scholar] [CrossRef]
- Hadjiliadis, D.; Khoruts, A.; Zauber, A.G.; Hempstead, S.E.; Maisonneuve, P.; Lowenfels, A.B.; Braid, A.L.; Cullina, J.; Daggett, A.; Fink, A.; et al. Cystic Fibrosis Colorectal Cancer Screening Consensus Recommendations. Gastroenterology 2018, 154, 736–745.e14. [Google Scholar] [CrossRef]
- Hodges, C.A.; Cotton, C.U.; Palmert, M.R.; Drumm, M.L. Generation of a conditional null allele for Cftr in mice. Genesis 2008, 46, 546–552. [Google Scholar] [CrossRef]
- Than, B.L.N.; Linnekamp, J.F.; Starr, T.; Largaespada, A.D.; Rod, A.; Zhang, Y.; Bruner, V.; Abrahante, J.; Schumann, A.; Luczak, T.; et al. CFTR is a tumor suppressor gene in murine and human intestinal cancer. Oncogene 2016, 35, 4191–4199. [Google Scholar] [CrossRef]
- Starr, T.K.; Allaei, R.; Silverstein, K.A.T.; Staggs, R.A.; Sarver, A.L.; Bergemann, T.L.; Gupta, M.; O’Sullivan, M.G.; Matise, I.; Dupuy, A.J.; et al. A Transposon-Based Genetic Screen in Mice Identifies Genes Altered in Colorectal Cancer. Science 2009, 323, 1747–1750. [Google Scholar] [CrossRef] [PubMed]
- March, H.N.; Rust, A.G.; Wright, A.N.; Hoeve, J.T.; de Ridder, J.; Eldridge, M.; van der Weyden, L.; Berns, A.; Gadiot, J.; Uren, A.; et al. Insertional mutagenesis identifies multiple networks of cooperating genes driving intestinal tumorigenesis. Nat. Genet. 2011, 43, 1202–1209. [Google Scholar] [CrossRef] [PubMed]
- Morris, S.M.; Davison, J.; Carter, K.T.; O’Leary, R.M.; Trobridge, P.; Knoblaugh, S.E.; Myeroff, L.L.; Markowitz, S.D.; Brett, B.T.; Scheetz, T.E.; et al. Transposon mutagenesis identifies candidate genes that cooperate with loss of transforming growth factor-beta signaling in mouse intestinal neoplasms. Int. J. Cancer 2017, 140, 853–863. [Google Scholar] [CrossRef] [PubMed]
- Sun, T.T.; Wang, Y.; Cheng, H.; Zhang, X.H.; Xiang, J.J.; Zhang, J.T.; Yu, S.B.S.; Martin, T.A.; Ye, L.; Tsang, L.L.; et al. Disrupted interaction between CFTR and AF-6/afadin aggravates malignant phenotypes of colon cancer. Biochim. Biophys. Acta—Mol. Cell Res. 2014, 1843, 618–628. [Google Scholar] [CrossRef]
- Cancer Genome Atlas Network. Comprehensive molecular characterization of human colon and rectal cancer. Nature 2012, 487, 330–337. [Google Scholar] [CrossRef]
- Marisa, L.; de Reyniès, A.; Duval, A.; Selves, J.; Gaub, M.P.; Vescovo, L.; Etienne-Grimaldi, M.-C.; Schiappa, R.; Guenot, D.; Ayadi, M.; et al. Gene Expression Classification of Colon Cancer into Molecular Subtypes: Characterization, Validation, and Prognostic Value. PLoS Med. 2013, 10, e1001453. [Google Scholar] [CrossRef]
- Smith, J.J.; Deane, N.G.; Wu, F.; Merchant, N.B.; Zhang, B.; Jiang, A.; Lu, P.; Johnson, J.C.; Schmidt, C.; Bailey, C.E.; et al. Experimentally Derived Metastasis Gene Expression Profile Predicts Recurrence and Death in Patients with Colon Cancer. Gastroenterology 2010, 138, 958–968. [Google Scholar] [CrossRef]
- Freeman, T.J.; Smith, J.J.; Chen, X.; Washington, M.K.; Roland, J.T.; Means, A.L.; Eschrich, S.A.; Yeatman, T.J.; Deane, N.G.; Beauchamp, R.D. Smad4-Mediated Signaling Inhibits Intestinal Neoplasia by Inhibiting Expression of β-Catenin. Gastroenterology 2012, 142, 562–571.e2. [Google Scholar] [CrossRef]
- Williams, C.S.; Bernard, J.K.; Beckler, M.D.; Almohazey, D.; Washington, M.K.; Smith, J.J.; Frey, M.R. ERBB4 is over-expressed in human colon cancer and enhances cellular transformation. Carcinogenesis 2015, 36, 710–718. [Google Scholar] [CrossRef]
- Chen, M.-S.; Lo, Y.-H.; Chen, X.; Williams, C.S.; Donnelly, J.M.; Criss, Z.K., 2nd; Patel, S.; Butkus, J.M.; Dubrulle, J.; Finegold, M.J.; et al. Growth Factor–Independent 1 Is a Tumor Suppressor Gene in Colorectal Cancer. Mol. Cancer Res. 2019, 17, 697–708. [Google Scholar] [CrossRef]
- cBioPortal for Cancer Genomics. Available online: http://www.cbioportal.org/ (accessed on 27 September 2020).
- Niu, B.; Ye, K.; Zhang, Q.; Lu, C.; Xie, M.; McLellan, M.D.; Wendl, M.C.; Ding, L. MSIsensor: Microsatellite instability detection using paired tumor-normal sequence data. Bioinformatics 2014, 30, 1015–1016. [Google Scholar] [CrossRef] [PubMed]
- Irizarry, R.A.; Hobbs, B.; Collin, F.; Beazer-Barclay, Y.D.; Antonellis, K.J.; Scherf, U.; Speed, T. Exploration, normalization, and summaries of high density oligonucleotide array probe level data. Biostatistics 2003, 4, 249–264. [Google Scholar] [CrossRef]
- Fine, J.P.; Gray, R.J. A Proportional Hazards Model for the Subdistribution of a Competing Risk. J. Am. Stat. Assoc. 1999, 94, 496. [Google Scholar] [CrossRef]
- Martin, C.; Burgel, P.-R. Carriers of a single CFTR mutation are asymptomatic: An evolving dogma? Eur. Respir. J. 2020, 56, 2002645. [Google Scholar] [CrossRef]
- de Sousa E Melo, F.; Colak, S.; Buikhuisen, J.; Koster, J.; Cameron, K.; de Jong, J.H.; Tuynman, J.B.; Prasetyanti, P.R.; Fessler, E.; Bergh, S.P.V.D.; et al. Methylation of Cancer-Stem-Cell-Associated Wnt Target Genes Predicts Poor Prognosis in Colorectal Cancer Patients. Cell Stem Cell 2011, 9, 476–485. [Google Scholar] [CrossRef] [PubMed]
- Zhang, J.T.; Wang, Y.; Chen, J.J.; Zhang, X.H.; Da Dong, J.; Tsang, L.L.; Huang, X.R.; Cai, Z.; Lan, H.Y.; Jiang, X.H.; et al. Defective CFTR leads to aberrant β-catenin activation and kidney fibrosis. Sci. Rep. 2017, 7, 5233. [Google Scholar] [CrossRef]
- Strubberg, A.M.; Liu, J.; Walker, N.M.; Stefanski, C.D.; MacLeod, R.J.; Magness, S.T.; Clarke, L.L. Cftr Modulates Wnt/β-Catenin Signaling and Stem Cell Proliferation in Murine Intestine. Cell. Mol. Gastroenterol. Hepatol. 2018, 5, 253–271. [Google Scholar] [CrossRef]
- Zhang, J.T.; Jiang, X.H.; Xie, C.; Cheng, H.; Dong, J.D.; Wang, Y.; Fok, K.L.; Zhang, X.H.; Sun, T.T.; Tsang, L.L.; et al. Downregulation of CFTR promotes epithelial-to-mesenchymal transition and is associated with poor prognosis of breast cancer. Biochim. Biophys. Acta—Mol. Cell Res. 2013, 1833, 2961–2969. [Google Scholar] [CrossRef]
- Fiorotto, R.; Villani, A.; Kourtidis, A.; Scirpo, R.; Amenduni, M.; Geibel, P.J.; Cadamuro, M.; Spirli, C.; Anastasiadis, P.Z.; Strazzabosco, M. The cystic fibrosis transmembrane conductance regulator controls biliary epithelial inflammation and permeability by regulating Src tyrosine kinase activity. Hepatology 2016, 64, 2118–2134. [Google Scholar] [CrossRef]
- Miller, A.C.; Comellas, A.P.; Hornick, D.B.; Stoltz, D.A.; Cavanaugh, J.E.; Gerke, A.K.; Welsh, M.J.; Zabner, J.; Polgreen, P.M. Cystic fibrosis carriers are at increased risk for a wide range of cystic fibrosis-related conditions. Proc. Natl. Acad. Sci. USA 2020, 117, 1621–1627. [Google Scholar] [CrossRef]
- Kerschner, J.L.; Harris, A. Transcriptional networks driving enhancer function in the CFTR gene. Biochem. J. 2012, 446, 203–212. [Google Scholar] [CrossRef] [PubMed]
- Dalerba, P.; Sahoo, D.; Paik, S.; Guo, X.; Yothers, G.; Song, N.; Wilcox-Fogel, N.; Forgó, E.; Rajendran, P.S.; Miranda, S.P.; et al. CDX2 as a Prognostic Biomarker in Stage II and Stage III Colon Cancer. N. Engl. J. Med. 2016, 374, 211–222. [Google Scholar] [CrossRef] [PubMed]
- Olsen, A.K.; Coskun, M.; Bzorek, M.; Kristensen, M.H.; Danielsen, E.T.; Jørgensen, S.; Olsen, J.; Engel, U.; Holck, S.; Troelsen, J.T. Regulation of APC and AXIN2 expression by intestinal tumor suppressor CDX2 in colon cancer cells. Carcinogenesis 2013, 34, 1361–1369. [Google Scholar] [CrossRef]
- Wang, Y.; Tang, L.; Yang, L.; Lv, P.; Mai, S.; Xu, L.; Wang, Z. DNA Methylation-Mediated Low Expression of CFTR Stimulates the Progression of Lung Adenocarcinoma. Biochem. Genet. 2022, 60, 807–821. [Google Scholar] [CrossRef]
- Liu, C.; Song, C.; Li, J.; Sun, Q. CFTR Functions as a Tumor Suppressor and Is Regulated by DNA Methylation in Colorectal Cancer. Cancer Manag. Res. 2020, 12, 4261–4270. [Google Scholar] [CrossRef] [PubMed]
- Liu, K.; Dong, F.; Gao, H.; Guo, Y.; Li, H.; Yang, F.; Zhao, P.; Dai, Y.; Wang, J.; Zhou, W.; et al. Promoter hypermethylation of the CFTR gene as a novel diagnostic and prognostic marker of breast cancer. Cell Biol. Int. 2020, 44, 603–609. [Google Scholar] [CrossRef]
- Lopes-Pacheco, M.; Pedemonte, N.; Veit, G. Discovery of CFTR modulators for the treatment of cystic fibrosis. Expert Opin. Drug Discov. 2021, 16, 897–913. [Google Scholar] [CrossRef]
- De Poel, E.; Spelier, S.; Suen, S.; Kruisselbrink, E.; Graeber, S.; Mall, M.; Weersink, E.; van der Eerden, M.; Koppelman, G.; van der Ent, C.; et al. Functional Restoration of CFTR Nonsense Mutations in Intestinal Organoids. J. Cyst. Fibros. 2022, 21, 246–253. [Google Scholar] [CrossRef]
- Ciciriello, F.; Bijvelds, M.J.C.; Alghisi, F.; Meijsen, K.F.; Cristiani, L.; Sorio, C.; Melotti, P.; Fiocchi, A.G.; Lucidi, V.; De Jonge, H.R. Theratyping of the Rare CFTR Variants E193K and R334W in Rectal Organoid-Derived Epithelial Monolayers. J. Pers. Med. 2022, 12, 632. [Google Scholar] [CrossRef]
- Eckford, P.D.W.; Li, C.; Ramjeesingh, M.; Bear, C.E. Cystic Fibrosis Transmembrane Conductance Regulator (CFTR) Potentiator VX-770 (Ivacaftor) Opens the Defective Channel Gate of Mutant CFTR in a Phosphorylation-dependent but ATP-independent Manner. J. Biol. Chem. 2012, 287, 36639–36649. [Google Scholar] [CrossRef]



| Characteristics | TCGA COADREAD | GSE17538 | GSE39582 |
|---|---|---|---|
| Total number (N) of CRC cases 1,2 | 453 (colon: 269; rectal: 87; missing: 97)2 | 204 | 520 |
| Age, median (range), years | 67 (31–90) | 65 (23–94) | 68 (22–97) |
| Female, N (%) | 213 (47.02) | 101 (49.51) | 231 (44.42) |
| Race, N (%) White Black Asian Hispanic Other/Missing | 228 (50.33) 54 (1.92) 12 (2.65) — 159 (35.01) | 177 (86.76) 13 (6.37) — 2 (0.98) 12 (5.88) | — |
| Stage at diagnosis, N (%) 2 3 4 | 207 (45.70) 165 (36.42) 81 (17.88) | 72 (35.29) 76 (37.25) 56 (27.45) | 258 (49.62) 203 (39.04) 59 (11.35) |
| MSI/MSS status,3 N (%) MSI MSS Unknown/Missing | 64 (14.13) 381 (84.11) 8 (1.77) | — | 62 (11.92) 412 (79.23) 46 (8.85) |
| Follow-up time median (range), months | 22.36 (0.20–148.01) | 41.49 (0.43–134.86) | 52 (1–201) |
| No. of deaths from all causes/CRC | 104/65 | 89/54 | 181/UK |
| Dataset | HR (95% CI) across Quartiles (Q1 is Reference) | p-Trend 4 | |||
|---|---|---|---|---|---|
| TCGA COADREAD | |||||
| CFTR Expression | Q1: −1.54–(−0.74) | Q2: −0.73–(−0.07) | Q3: −0.06–0.49 | Q4: 0.49–4.41 | |
| Overall death (N) | 33 | 27 | 23 | 21 | |
| Person-years (months) | 3005 | 3404 | 3559 | 3111 | |
| Model 1 1 (N = 453) Model 2 2 (N = 453) Model 3 3 (N = 356) | 1.00 (Reference) 1.00 (Reference) 1.00 (Reference) | 0.74 (0.45, 1.24) 0.76 (0.45, 1.27) 0.74 (0.40, 1.37) | 0.59 (0.35, 1.00) 0.55 (0.32, 0.95) 0.47 (0.24, 0.93) | 0.61 (0.35, 1.05) 0.77 (0.44, 1.34) 0.71 (0.36, 1.40) | 0.04 0.16 0.17 |
| GSE17538 | |||||
| CFTR expression | Q1: −1.53–(−0.74) | Q2: −0.64–(−0.07) | Q3: −0.04–0.40 | Q4: 0.50–3.49 | |
| Overall death (N) | 29 | 22 | 21 | 17 | |
| Person-years | 1895 | 2182 | 2211.27 | 2926 | |
| Model 1 1 (N = 204) Model 2 2 (N = 204) | 1.00 (Reference) 1.00 (Reference) | 0.69 (0.39, 1.20) 0.49 (0.27, 0.87) | 0.66 (0.38, 1.17) 0.48 (0.26, 0.86) | 0.43 (0.24, 0.79) 0.31 (0.16, 0.57) | <0.01 <0.01 |
| GSE39582 | |||||
| CFTR expression | Q1: −4.31–(−0.39) | Q2: −0.39–0.28 | Q3: 0.29–0.71 | Q4: 0.71–1.62 | |
| Overall death (N) | 51 | 46 | 46 | 38 | |
| Person-years | 6992 | 7187 | 7801 | 7992 | |
| Model 1 1 (N = 520) Model 2 2 (N = 520) Model 3 3 (N = 474) | 1.00 (Reference) 1.00 (Reference) 1.00 (Reference) | 0.86 (0.58, 1.28) 0.87 (0.58, 1.30) 0.92 (0.60, 1.42) | 0.82 (0.55, 1.22) 0.77 (0.52, 1.16) 0.76 (0.49, 1.19) | 0.65 (0.43, 0.99) 0.64 (0.42, 0.97) 0.60 (0.38, 0.96) | 0.05 0.03 0.02 |
| Dataset | HR (95% CI) across Quartiles (Q1 is Reference) | p-Trend 4 | |||
|---|---|---|---|---|---|
| TCGA COADREAD | |||||
| CFTR Expression | Q1: −1.54–(−0.74) | Q2: −0.73–(−0.07) | Q3: −0.06–0.49 | Q4: 0.49–4.41 | |
| Disease-specific death (N) | 20 | 13 | 18 | 14 | |
| Person-years (months) | 2855 | 3241 | 3368 | 2897 | |
| Model 1 1 (N = 433) Model 2 2 (N = 433) Model 3 3 (N = 336) | 1.00 (Reference) 1.00 (Reference) 1.00 (Reference) | 0.60 (0.30, 1.21) 0.54 (0.27, 1.10) 0.45 (0.19, 1.08) | 0.77 (0.41, 1.46) 0.59 (0.31, 1.13) 0.45 (0.20, 1.04) | 0.69 (0.35, 1.37) 0.74 (0.37, 1.48) 0.62 (0.26, 1.49) | 0.40 0.38 0.39 |
| GSE17538 | |||||
| CFTR expression | Q1: −3.13–(−0.54) | Q2: −0.46–0.29 | Q3: 0.29–0.68 | Q4: 0.69–1.48 | |
| Disease-specific death (N) | 18 | 13 | 13 | 10 | |
| Person-years | 1305 | 1470 | 1498 | 2695 | |
| Model 1 1 (N = 153) Model 2 2 (N = 153) | 1.00 (Reference) 1.00 (Reference) | 0.69 (0.33, 1.42) 0.68 (0.33, 1.42) | 0.68 (0.33, 1.40) 0.61 (0.29, 1.29) | 0.31 (0.14, 0.68) 0.22 (0.09, 0.47) | <0.01 <0.01 |
| CRC Cases | Cases with Mutation Data | Cases with CFTR Mutations | |||
|---|---|---|---|---|---|
| No. of Cases | 300 | 17 | |||
| Somatic CFTR Mutations 2 | Total No. of Mutations | Stop Loss or Gain | Frameshift | Splice Site | Missense |
| No. of mutations | 22 | 4 | 3 | 1 | 14 |
| CF-causing mutations in CFTR2 3 | 2 | ||||
| CRC subtypes of cases with mutations | 4 Cases with subtype data | CIN | MSI | POLE | |
| No. of cases | 17 | 4 | 6 | 7 | |
| Ave. no. of mutations per case | 97 | 1665 | 5665 |
Disclaimer/Publisher’s Note: The statements, opinions and data contained in all publications are solely those of the individual author(s) and contributor(s) and not of MDPI and/or the editor(s). MDPI and/or the editor(s) disclaim responsibility for any injury to people or property resulting from any ideas, methods, instructions or products referred to in the content. |
© 2023 by the authors. Licensee MDPI, Basel, Switzerland. This article is an open access article distributed under the terms and conditions of the Creative Commons Attribution (CC BY) license (https://creativecommons.org/licenses/by/4.0/).
Share and Cite
Scott, P.; Wang, S.; Onyeaghala, G.; Pankratz, N.; Starr, T.; Prizment, A.E. Lower Expression of CFTR Is Associated with Higher Mortality in a Meta-Analysis of Individuals with Colorectal Cancer. Cancers 2023, 15, 989. https://doi.org/10.3390/cancers15030989
Scott P, Wang S, Onyeaghala G, Pankratz N, Starr T, Prizment AE. Lower Expression of CFTR Is Associated with Higher Mortality in a Meta-Analysis of Individuals with Colorectal Cancer. Cancers. 2023; 15(3):989. https://doi.org/10.3390/cancers15030989
Chicago/Turabian StyleScott, Patricia, Shuo Wang, Guillaume Onyeaghala, Nathan Pankratz, Timothy Starr, and Anna E. Prizment. 2023. "Lower Expression of CFTR Is Associated with Higher Mortality in a Meta-Analysis of Individuals with Colorectal Cancer" Cancers 15, no. 3: 989. https://doi.org/10.3390/cancers15030989
APA StyleScott, P., Wang, S., Onyeaghala, G., Pankratz, N., Starr, T., & Prizment, A. E. (2023). Lower Expression of CFTR Is Associated with Higher Mortality in a Meta-Analysis of Individuals with Colorectal Cancer. Cancers, 15(3), 989. https://doi.org/10.3390/cancers15030989

