Circulating Tumor Cell Enumeration for Serial Monitoring of Treatment Outcomes for Locally Advanced Esophageal Squamous Cell Carcinoma
Abstract
Simple Summary
Abstract
1. Introduction
2. Materials and Methods
2.1. Patients and Sample Collection
2.2. CTC Enrichment and Enumeration
2.3. Cell Spiking Experiments for Reproducibility of Recovery Rate
2.4. Statistical Analysis
3. Results and Discussion
3.1. Patients Characteristics
3.2. Resectable Patients Treated by Pre-Surgery Treatment Had Higher CTC Counts
3.2.1. Patients Treated by Neoadjuvant CTRT Associated with High CTC Level at 3-Month Post-Surgery
3.2.2. Proof-of-Concept Experiment: More CTCs Released into Azygos Vein Blood Versus Peripheral Blood in Patients Treated by Neoadjuvant CTRT Followed by Curative Surgery
3.2.3. Early Predictive and Prognostic Biomarkers for Pre-Surgery CTRT Treatment Efficacy
3.3. Longitudinal CTC Enumeration Analysis from Baseline to 3-Year Post-Surgery along Course of Curative Treatment
3.3.1. Dynamics of Epithelial CTC Counts at Baseline, during and Post-Treatment
3.3.2. Comparing Longitudinal Dynamics of Epithelial and Total CTC Counts
3.4. Pre-Surgery CTC Clusters Associated with Earier Disease Relapse
3.5. Serial CTC Enumeration at Multiple Timepoints Is Associated with Adverse Outcome
3.5.1. CTC Analysis at Baseline
3.5.2. Serial CTC Analysis at Post-Surgery Follow-Up
3.6. COX Regression Analysis of Independent Prognostic Role of Serial CTC Status
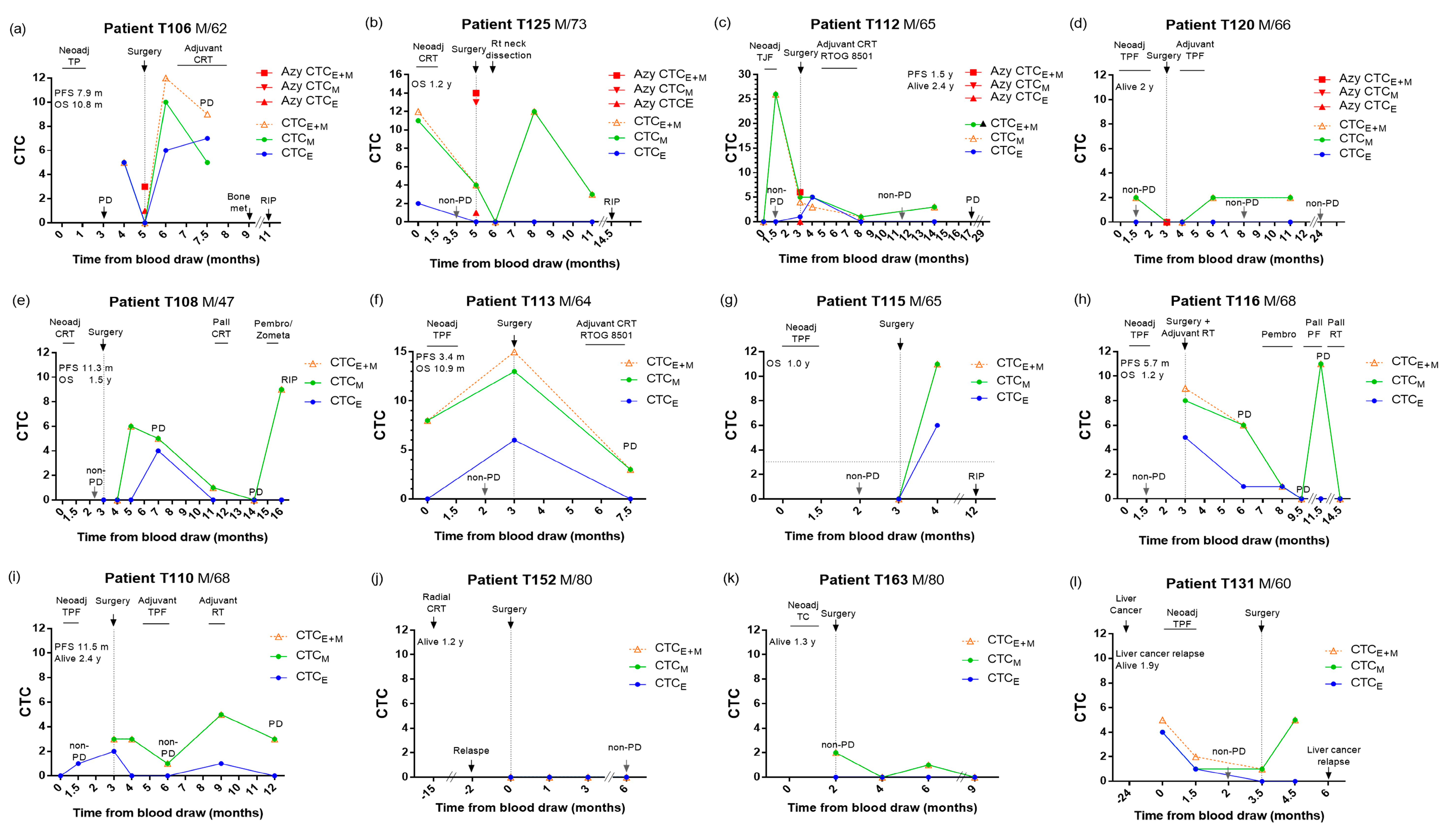
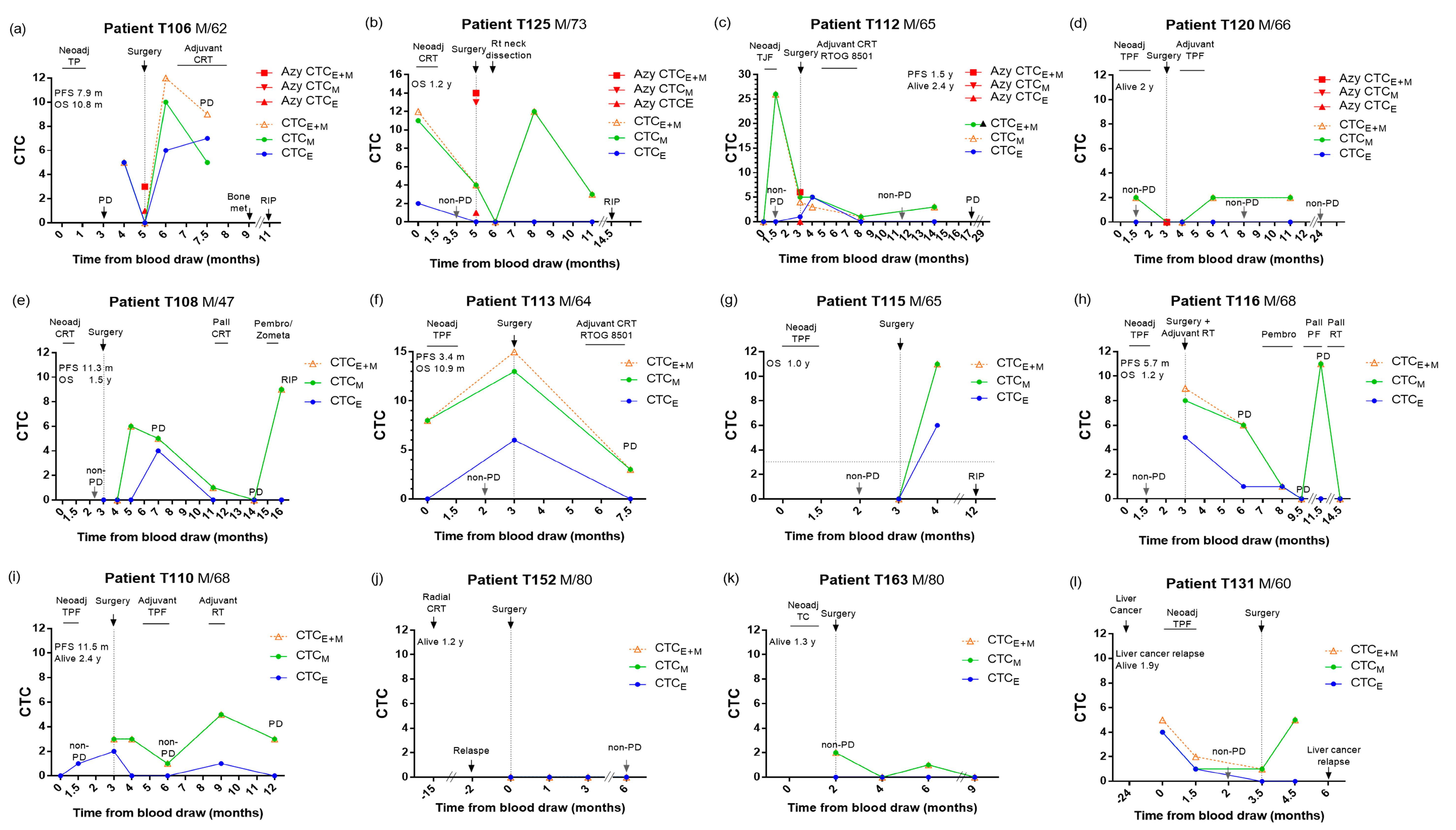
3.7. Longitudinal Monitoring of CTC Changes in Response to CTRT and Surgery
4. Conclusions
Supplementary Materials
Author Contributions
Funding
Institutional Review Board Statement
Informed Consent Statement
Data Availability Statement
Acknowledgments
Conflicts of Interest
References
- Sung, H.; Ferlay, J.; Siegel, R.L.; Laversanne, M.; Soerjomataram, I.; Jemal, A.; Bray, F. Global Cancer Statistics 2020: GLOBOCAN Estimates of Incidence and Mortality Worldwide for 36 Cancers in 185 Countries. CA Cancer J. Clin. 2021, 71, 209–249. [Google Scholar] [CrossRef] [PubMed]
- Tachibana, M.; Dhar, D.K.; Kinugasa, S.; Kotoh, T.; Shibakita, M.; Ohno, S.; Masunaga, R.; Kubota, H.; Nagasue, N. Esophageal cancer with distant lymph node metastasis: Prognostic significance of metastatic lymph node ratio. J. Clin. Gastroenterol. 2000, 31, 318–322. [Google Scholar] [CrossRef] [PubMed]
- Guo, X.; Zhang, H.; Xu, L.; Zhou, S.; Zhou, J.; Liu, Y.; Ji, S. Value of Nomogram Incorporated Preoperative Tumor Volume and the Number of Postoperative Pathologically Lymph Node Metastasis Regions on Predicting the Prognosis of Thoracic Esophageal Squamous Cell Carcinoma. Cancer Manag. Res. 2021, 13, 4619–4631. [Google Scholar] [CrossRef] [PubMed]
- Wu, S.G.; Zhang, W.W.; He, Z.Y.; Sun, J.Y.; Chen, Y.X.; Guo, L. Sites of metastasis and overall survival in esophageal cancer: A population-based study. Cancer Manag. Res. 2017, 9, 781–788. [Google Scholar] [CrossRef]
- Ting, D.T.; Wittner, B.S.; Ligorio, M.; Vincent Jordan, N.; Shah, A.M.; Miyamoto, D.T.; Aceto, N.; Bersani, F.; Brannigan, B.W.; Xega, K.; et al. Single-cell RNA sequencing identifies extracellular matrix gene expression by pancreatic circulating tumor cells. Cell Rep. 2014, 8, 1905–1918. [Google Scholar] [CrossRef]
- Joosse, S.A.; Gorges, T.M.; Pantel, K. Biology, detection, and clinical implications of circulating tumor cells. EMBO Mol. Med. 2015, 7, 1–11. [Google Scholar] [CrossRef]
- Thiery, J.P. Epithelial-mesenchymal transitions in tumour progression. Nat. Rev. Cancer 2002, 2, 442–454. [Google Scholar] [CrossRef]
- Yin, X.D.; Yuan, X.; Xue, J.J.; Wang, R.; Zhang, Z.R.; Tong, J.D. Clinical significance of carcinoembryonic antigen-, cytokeratin 19-, or survivin-positive circulating tumor cells in the peripheral blood of esophageal squamous cell carcinoma patients treated with radiotherapy. Dis. Esophagus 2012, 25, 750–756. [Google Scholar] [CrossRef]
- Tanaka, K.; Yano, M.; Motoori, M.; Kishi, K.; Miyashiro, I.; Shingai, T.; Gotoh, K.; Noura, S.; Takahashi, H.; Ohue, M.; et al. CEA-antigen and SCC-antigen mRNA expression in peripheral blood predict hematogenous recurrence after resection in patients with esophageal cancer. Ann. Surg. Oncol. 2010, 17, 2779–2786. [Google Scholar] [CrossRef]
- Nakashima, S.; Natsugoe, S.; Matsumoto, M.; Miyazono, F.; Nakajo, A.; Uchikura, K.; Tokuda, K.; Ishigami, S.; Baba, M.; Takao, S.; et al. Clinical significance of circulating tumor cells in blood by molecular detection and tumor markers in esophageal cancer. Surgery 2003, 133, 162–169. [Google Scholar] [CrossRef]
- Cao, M.; Yie, S.M.; Wu, S.M.; Chen, S.; Lou, B.; He, X.; Ye, S.R.; Xie, K.; Rao, L.; Gao, E.; et al. Detection of survivin-expressing circulating cancer cells in the peripheral blood of patients with esophageal squamous cell carcinoma and its clinical significance. Clin. Exp. Metast. 2009, 26, 751–758. [Google Scholar] [CrossRef]
- Koike, M.; Hibi, K.; Kasai, Y.; Ito, K.; Akiyama, S.; Nakao, A. Molecular detection of circulating esophageal squamous cell cancer cells in the peripheral blood. Clin. Cancer Res. Off. J. Am. Assoc. Cancer Res. 2002, 8, 2879–2882. [Google Scholar]
- Ito, H.; Kanda, T.; Nishimaki, T.; Sato, H.; Nakagawa, S.; Hatakeyama, K. Detection and quantification of circulating tumor cells in patients with esophageal cancer by real-time polymerase chain reaction. J. Exp. Clin. Cancer Res. 2004, 23, 455–464. [Google Scholar] [PubMed]
- Liu, Z.; Jiang, M.; Zhao, J.; Ju, H. Circulating tumor cells in perioperative esophageal cancer patients: Quantitative assay system and potential clinical utility. Clin. Cancer Res. Off. J. Am. Assoc. Cancer Res. 2007, 13, 2992–2997. [Google Scholar] [CrossRef]
- Matsushita, D.; Uenosono, Y.; Arigami, T.; Yanagita, S.; Nishizono, Y.; Hagihara, T.; Hirata, M.; Haraguchi, N.; Arima, H.; Kijima, Y.; et al. Clinical Significance of Circulating Tumor Cells in Peripheral Blood of Patients with Esophageal Squamous Cell Carcinoma. Ann. Surg. Oncol. 2015, 22, 3674–3680. [Google Scholar] [CrossRef]
- Li, H.; Song, P.; Zou, B.; Liu, M.; Cui, K.; Zhou, P.; Li, S.; Zhang, B. Circulating Tumor Cell Analyses in Patients with Esophageal Squamous Cell Carcinoma Using Epithelial Marker-Dependent and -Independent Approaches. Medicine 2015, 94, e1565. [Google Scholar] [CrossRef]
- Su, P.J.; Wu, M.H.; Wang, H.M.; Lee, C.L.; Huang, W.K.; Wu, C.E.; Chang, H.K.; Chao, Y.K.; Tseng, C.K.; Chiu, T.K.; et al. Circulating Tumour Cells as an Independent Prognostic Factor in Patients with Advanced Oesophageal Squamous Cell Carcinoma Undergoing Chemoradiotherapy. Sci. Rep. 2016, 6, 31423. [Google Scholar] [CrossRef] [PubMed]
- Reeh, M.; Effenberger, K.E.; Koenig, A.M.; Riethdorf, S.; Eichstadt, D.; Vettorazzi, E.; Uzunoglu, F.G.; Vashist, Y.K.; Izbicki, J.R.; Pantel, K.; et al. Circulating Tumor Cells as a Biomarker for Preoperative Prognostic Staging in Patients With Esophageal Cancer. Ann. Surg. 2015, 261, 1124–1130. [Google Scholar] [CrossRef]
- Tanaka, M.; Takeuchi, H.; Osaki, Y.; Hiraiwa, K.; Nakamura, R.; Oyama, T.; Takahashi, T.; Wada, N.; Kawakubo, H.; Saikawa, Y.; et al. Prognostic significance of circulating tumor cells in patients with advanced esophageal cancer. Esophagus 2015, 12, 352–359. [Google Scholar] [CrossRef]
- Han, L.; Li, Y.J.; Zhang, W.D.; Song, P.P.; Li, H.; Li, S. Clinical significance of tumor cells in the peripheral blood of patients with esophageal squamous cell carcinoma. Medicine 2019, 98, e13921. [Google Scholar] [CrossRef]
- Choi, M.K.; Kim, G.H.; Hoseok, I.; Park, S.J.; Lee, M.W.; Lee, B.E.; Park, D.Y.; Cho, Y.K. Circulating tumor cells detected using fluid-assisted separation technique in esophageal squamous cell carcinoma. J. Gastroenterol. Hepatol. 2019, 34, 552–560. [Google Scholar] [CrossRef] [PubMed]
- Lee, H.J.; Kim, G.H.; Park, S.J.; Kwon, C.H.; Lee, M.W.; Lee, B.E.; Baek, D.H.; Hoseok, I. Clinical Significance of TWIST-Positive Circulating Tumor Cells in Patients with Esophageal Squamous Cell Carcinoma. Gut Liver 2021, 15, 553–561. [Google Scholar] [CrossRef]
- Qiao, G.L.; Qi, W.X.; Jiang, W.H.; Chen, Y.; Ma, L.J. Prognostic significance of circulating tumor cells in esophageal carcinoma: A meta-analysis. OncoTargets Ther. 2016, 9, 1889–1897. [Google Scholar] [CrossRef] [PubMed]
- Ko, J.M.; Vardhanabhuti, V.; Ng, W.T.; Lam, K.O.; Ngan, R.K.; Kwong, D.L.; Lee, V.H.; Lui, Y.H.; Yau, C.C.; Kwan, C.K.; et al. Clinical utility of serial analysis of circulating tumour cells for detection of minimal residual disease of metastatic nasopharyngeal carcinoma. Br. J. Cancer 2020, 123, 114–125. [Google Scholar] [CrossRef]
- Ko, J.M.Y.; Ng, H.Y.; Lam, K.O.; Chiu, K.W.H.; Kwong, D.L.W.; Lo, A.W.I.; Wong, J.C.; Lin, R.C.W.; Fong, H.C.H.; Li, J.Y.K.; et al. Liquid Biopsy Serial Monitoring of Treatment Responses and Relapse in Advanced Esophageal Squamous Cell Carcinoma. Cancers 2020, 12, 1352. [Google Scholar] [CrossRef] [PubMed]
- Warkiani, M.E.; Khoo, B.L.; Wu, L.; Tay, A.K.; Bhagat, A.A.; Han, J.; Lim, C.T. Ultra-fast, label-free isolation of circulating tumor cells from blood using spiral microfluidics. Nat. Protoc. 2016, 11, 134–148. [Google Scholar] [CrossRef]
- Wong, V.C.; Ko, J.M.; Lam, C.T.; Lung, M.L. Succinct workflows for circulating tumor cells after enrichment: From systematic counting to mutational profiling. PLoS ONE 2017, 12, e0177276. [Google Scholar] [CrossRef]
- Khoo, B.L.; Grenci, G.; Jing, T.; Lim, Y.B.; Lee, S.C.; Thiery, J.P.; Han, J.; Lim, C.T. Liquid biopsy and therapeutic response: Circulating tumor cell cultures for evaluation of anticancer treatment. Sci. Adv. 2016, 2, e1600274. [Google Scholar] [CrossRef]
- Hou, H.W.; Warkiani, M.E.; Khoo, B.L.; Li, Z.R.; Soo, R.A.; Tan, D.S.; Lim, W.T.; Han, J.; Bhagat, A.A.; Lim, C.T. Isolation and retrieval of circulating tumor cells using centrifugal forces. Sci. Rep. 2013, 3, 1259. [Google Scholar] [CrossRef]
- Li, Y.; Wu, G.; Yang, W.; Wang, X.; Duan, L.; Niu, L.; Zhang, Y.; Liu, J.; Hong, L.; Fan, D. Prognostic value of circulating tumor cells detected with the CellSearch system in esophageal cancer patients: A systematic review and meta-analysis. BMC Cancer 2020, 20, 581. [Google Scholar] [CrossRef]
- Shi, Y.; Ge, X.; Ju, M.; Zhang, Y.; Di, X.; Liang, L. Circulating Tumor Cells in Esophageal Squamous Cell Carcinoma—Mini Review. Cancer Manag. Res. 2021, 13, 8355–8365. [Google Scholar] [CrossRef] [PubMed]
- Matsushita, D.; Arigami, T.; Okubo, K.; Sasaki, K.; Noda, M.; Kita, Y.; Mori, S.; Uenosono, Y.; Ohtsuka, T.; Natsugoe, S. The Diagnostic and Prognostic Value of a Liquid Biopsy for Esophageal Cancer: A Systematic Review and Meta-Analysis. Cancers 2020, 12, 3070. [Google Scholar] [CrossRef] [PubMed]
- Woestemeier, A.; Harms-Effenberger, K.; Karstens, K.F.; Konczalla, L.; Ghadban, T.; Uzunoglu, F.G.; Izbicki, J.R.; Bockhorn, M.; Pantel, K.; Reeh, M. Clinical Relevance of Circulating Tumor Cells in Esophageal Cancer Detected by a Combined MACS Enrichment Method. Cancers 2020, 12, 718. [Google Scholar] [CrossRef] [PubMed]
- Schuster, E.; Taftaf, R.; Reduzzi, C.; Albert, M.K.; Romero-Calvo, I.; Liu, H. Better together: Circulating tumor cell clustering in metastatic cancer. Trends Cancer 2021, 7, 1020–1032. [Google Scholar] [CrossRef]
- Mu, Z.; Wang, C.; Ye, Z.; Austin, L.; Civan, J.; Hyslop, T.; Palazzo, J.P.; Jaslow, R.; Li, B.; Myers, R.E.; et al. Prospective assessment of the prognostic value of circulating tumor cells and their clusters in patients with advanced-stage breast cancer. Breast Cancer Res. Treat. 2015, 154, 563–571. [Google Scholar] [CrossRef]
- Jansson, S.; Bendahl, P.O.; Larsson, A.M.; Aaltonen, K.E.; Ryden, L. Prognostic impact of circulating tumor cell apoptosis and clusters in serial blood samples from patients with metastatic breast cancer in a prospective observational cohort. BMC Cancer 2016, 16, 433. [Google Scholar] [CrossRef]
- R Core Team. R: A Language and Environment for Statistical Computing; R Foundation for Statistical Computing: Vienna, Austria, 2012. [Google Scholar]
- Therneau, T.M. A Package for Survival Analysis in R; Version 3.4-0. 2022. Available online: http://CRAN.R-project.org/package=survival (accessed on 31 October 2022).
- Zhang, Z.; Reinikainen, J.; Adeleke, K.A.; Pieterse, M.E.; Groothuis-Oudshoorn, C.G.M. Time-varying covariates and coefficients in Cox regression models. Ann. Transl. Med. 2018, 6, 121. [Google Scholar] [CrossRef]
- Tien, Y.W.; Kuo, H.C.; Ho, B.I.; Chang, M.C.; Chang, Y.T.; Cheng, M.F.; Chen, H.L.; Liang, T.Y.; Wang, C.F.; Huang, C.Y.; et al. A High Circulating Tumor Cell Count in Portal Vein Predicts Liver Metastasis From Periampullary or Pancreatic Cancer: A High Portal Venous CTC Count Predicts Liver Metastases. Medicine 2016, 95, e3407. [Google Scholar] [CrossRef]
- Chen, W.; Li, Y.; Yuan, D.; Peng, Y.; Qin, J. Practical value of identifying circulating tumor cells to evaluate esophageal squamous cell carcinoma staging and treatment efficacy. Thorac. Cancer 2018, 9, 956–966. [Google Scholar] [CrossRef]
- Joosse, S.A.; Hannemann, J.; Spotter, J.; Bauche, A.; Andreas, A.; Muller, V.; Pantel, K. Changes in keratin expression during metastatic progression of breast cancer: Impact on the detection of circulating tumor cells. Clin. Cancer Res. 2012, 18, 993–1003. [Google Scholar] [CrossRef] [PubMed]
- Wang, C.; Mu, Z.; Chervoneva, I.; Austin, L.; Ye, Z.; Rossi, G.; Palazzo, J.P.; Sun, C.; Abu-Khalaf, M.; Myers, R.E.; et al. Longitudinally collected CTCs and CTC-clusters and clinical outcomes of metastatic breast cancer. Breast Cancer Res. Treat. 2017, 161, 83–94. [Google Scholar] [CrossRef] [PubMed]
- Larsson, A.M.; Jansson, S.; Bendahl, P.O.; Levin Tykjaer Jorgensen, C.; Loman, N.; Graffman, C.; Lundgren, L.; Aaltonen, K.; Ryden, L. Longitudinal enumeration and cluster evaluation of circulating tumor cells improve prognostication for patients with newly diagnosed metastatic breast cancer in a prospective observational trial. Breast Cancer Res. 2018, 20, 48. [Google Scholar] [CrossRef] [PubMed]
- Wang, C.; Zhang, Z.; Chong, W.; Luo, R.; Myers, R.E.; Gu, J.; Lin, J.; Wei, Q.; Li, B.; Rebbeck, T.R.; et al. Improved Prognostic Stratification Using Circulating Tumor Cell Clusters in Patients with Metastatic Castration-Resistant Prostate Cancer. Cancers 2021, 13, 268. [Google Scholar] [CrossRef] [PubMed]
- Francescangeli, F.; Magri, V.; De Angelis, M.L.; De Renzi, G.; Gandini, O.; Zeuner, A.; Gazzaniga, P.; Nicolazzo, C. Sequential Isolation and Characterization of Single CTCs and Large CTC Clusters in Metastatic Colorectal Cancer Patients. Cancers 2021, 13, 6362. [Google Scholar] [CrossRef]
- Aceto, N.; Bardia, A.; Miyamoto, D.T.; Donaldson, M.C.; Wittner, B.S.; Spencer, J.A.; Yu, M.; Pely, A.; Engstrom, A.; Zhu, H.; et al. Circulating tumor cell clusters are oligoclonal precursors of breast cancer metastasis. Cell 2014, 158, 1110–1122. [Google Scholar] [CrossRef]
- Cho, E.H.; Wendel, M.; Luttgen, M.; Yoshioka, C.; Marrinucci, D.; Lazar, D.; Schram, E.; Nieva, J.; Bazhenova, L.; Morgan, A.; et al. Characterization of circulating tumor cell aggregates identified in patients with epithelial tumors. Phys. Biol. 2012, 9, 016001. [Google Scholar] [CrossRef]
- Yu, M.; Bardia, A.; Wittner, B.S.; Stott, S.L.; Smas, M.E.; Ting, D.T.; Isakoff, S.J.; Ciciliano, J.C.; Wells, M.N.; Shah, A.M.; et al. Circulating breast tumor cells exhibit dynamic changes in epithelial and mesenchymal composition. Science 2013, 339, 580–584. [Google Scholar] [CrossRef]
- Qiao, Y.; Li, J.; Shi, C.; Wang, W.; Qu, X.; Xiong, M.; Sun, Y.; Li, D.; Zhao, X.; Zhang, D. Prognostic value of circulating tumor cells in the peripheral blood of patients with esophageal squamous cell carcinoma. OncoTargets Ther. 2017, 10, 1363–1373. [Google Scholar] [CrossRef]
- Qiao, Y.Y.; Lin, K.X.; Zhang, Z.; Zhang, D.J.; Shi, C.H.; Xiong, M.; Qu, X.H.; Zhao, X.H. Monitoring disease progression and treatment efficacy with circulating tumor cells in esophageal squamous cell carcinoma: A case report. World J. Gastroenterol. 2015, 21, 7921–7928. [Google Scholar] [CrossRef] [PubMed]





| Clinical Parameters | Patients (n = 86) | CTC1E (n = 60) | CTC3E (n = 43) | CTC4E (n = 63) | CTC5E (n = 58) | CTC1E+M (n = 59) | CTC3E+M (n = 43) | CTC4E+M (n = 63) | CTC5E+M (n = 58) | ||||||||
|---|---|---|---|---|---|---|---|---|---|---|---|---|---|---|---|---|---|
| ≥2 | <2 | ≥2 | <2 | ≥3 | <3 | ≥3 | <3 | ≥2 | <2 | ≥2 | <2 | ≥3 | <3 | ≥3 | <3 | ||
| Median age (range) | 69 ± (30–87) | cp = 0.119 | |||||||||||||||
| <69 | 41 (47.7%) | 6 | 19 | 7 | 19 | 4 | 26 | 3 | 24 | 8 | 17 | 9 | 17 | 6 | 24 | 6 | 21 |
| ≥69 | 45 (52.3%) | 5 | 30 | 1 | 16 | 5 | 28 | 0 | 31 | 9 | 26 | 5 | 13 | 8 | 25 | 3 | 28 |
| Sex | |||||||||||||||||
| Male | 64 (74.4%) | 10 | 35 | 7 | 25 | 6 | 41 | 2 | 42 | 14 | 31 | 12 | 21 | 9 | 38 | 7 | 37 |
| Female | 22 (25.6%) | 1 | 14 | 1 | 10 | 3 | 13 | 1 | 13 | 3 | 12 | 2 | 9 | 5 | 11 | 2 | 12 |
| G category a | |||||||||||||||||
| GX | 36 (41.9%) | 4 | 22 | 4 | 17 | 3 | 21 | 3 | 20 | 7 | 19 | 5 | 16 | 5 | 19 | 4 | 19 |
| G1/G2 | 38 (44.2%) | 5 | 21 | 3 | 15 | 4 | 27 | 0 | 27 | 7 | 19 | 7 | 12 | 6 | 25 | 4 | 23 |
| G3 | 12 (14.0%) | 2 | 6 | 1 | 3 | 2 | 6 | 0 | 8 | 3 | 5 | 2 | 2 | 3 | 5 | 1 | 7 |
| Tumor Location | |||||||||||||||||
| Upper/Middle | 57 (66.3%) | 8 | 32 | 6 | 23 | 5 | 35 | 2 | 32 | 13 | 27 | 10 | 20 | 7 | 33 | 6 | 28 |
| Lower | 29 (33.7%) | 3 | 17 | 2 | 12 | 4 | 19 | 1 | 23 | 4 | 16 | 4 | 10 | 7 | 16 | 3 | 21 |
| Stage b | |||||||||||||||||
| Early: I + II | 28 (32.6%) | 5 | 18 | 1 | 11 | 2 | 21 | 1 | 22 | 6 | 17 | 3 | 9 | 3 | 20 | 3 | 20 |
| Late: III + IV | 54 (62.8%) | 5 | 30 | 7 | 21 | 7 | 29 | 2 | 30 | 10 | 25 | 11 | 18 | 11 | 25 | 6 | 26 |
| Unknown | 4 (4.7%) | - | - | - | - | - | - | - | - | ||||||||
| pT (n = 73) | cp = 0.156 | ||||||||||||||||
| 0–2 | 33 (45.2%) | 7 | 21 | 1 | 18 | 2 | 29 | 0 | 21 | 7 | 14 | 4 | 15 | 4 | 27 | 2 | 19 |
| 3–4 | 40 (54.8%) | 4 | 17 | 4 | 12 | 6 | 25 | 3 | 32 | 9 | 19 | 7 | 10 | 9 | 22 | 7 | 28 |
| pN (n = 73) | cp = 0.069 | ||||||||||||||||
| 0 | 39 (53.4%) | 5 | 23 | 1 | 19 | 5 | 27 | 2 | 25 | 11 | 17 | 6 | 14 | 7 | 25 | 4 | 23 |
| 1–3 | 34 (46.6%) | 1 | 20 | 5 | 11 | 3 | 26 | 1 | 27 | 6 | 15 | 6 | 11 | 6 | 23 | 5 | 23 |
| Treatment | cp = 0.126 | cp = 0.008 | |||||||||||||||
| CRT ± surgery | 54 (62.8%) | 7 | 22 | 8 | 35 | 6 | 31 | 3 | 32 | 8 | 23 | 14 | 30 | 11 | 26 | 9 | 26 |
| Upfront surgery | 32 (37.2%) | 4 | 27 | NA | NA | 3 | 23 | 0 | 23 | 9 | 20 | NA | NA | 3 | 23 | 0 | 23 |
| Distant Metastasis | |||||||||||||||||
| No | 77 (89.5%) | 11 | 44 | 7 | 32 | 9 | 49 | 2 | 50 | 9 | 44 | 13 | 27 | 14 | 44 | 7 | 45 |
| Yes | 9 (10.5%) | 0 | 5 | 1 | 3 | 0 | 5 | 1 | 5 | 0 | 5 | 1 | 3 | 0 | 5 | 2 | 4 |
| Models | Variables | PFS | OS | ||||
|---|---|---|---|---|---|---|---|
| HR (95% CI) | p-Value | Concordance | HR (95% CI) | p-Value | Concordance | ||
| CP a | pT (3 + 4 vs. 1 + 2 ref) (n = 73) | 4.097 (1.79–9.36) | 8.0 × 10−4 | 0.696 | 3.190 (1.28–7.98) | 0.013 | 0.655 |
| CTC1 b | pT (3 + 4 vs. 1 + 2 ref) (n = 49) Sex | 3.319 (1.23–9.0) 8.408 (1.65–42.94) | 0.018 0.011 | 0.782 | - - | - - | 0.76 |
| Baseline CTC1 level (≥2 CTCE vs. <2 CTCE ref) (≥2 CTCE+M vs. <2 CTCE ref) | 6.99 (2.10–23.22) 19.162 (4.72–77.74) | 2.0 × 10−4 0.0015 3.6 × 10−5 | 3.665 (1.34–10.04) 8.719 (2.69–28.25) | 5.0 × 10−4 0.012 3.1 × 10−4 | |||
| CTC3-CRT c | pT (3 + 4 vs. 1 + 2 ref) (n = 35) Sex:strata(tgroup1) | 5.90 (1.48–23.51) 0.03 (0.002–0.45) | 0.012 0.012 | 0.793 | 4.648 (0.90–23.99) 0.130 (0.01–1.30) | 0.067 0.082 | 0.737 |
| CTC3E count at the end of CTRT (≥2 vs. <2 CTCs ref) (≥3 vs. <3 CTCs ref) | 3.652 (1.1–12.14) N/A |
0.035 N/A | N/A 3.50 (0.67–18.35) | N/A 0.139 | |||
| CTC4 d | pT (3 + 4 vs. 1 + 2 ref) (n = 62) | 3.222 (1.23–8.46) | 0.017 | 0.776 | - | - | 0.676 |
| Sex:strata(tgroup1) | 0.07 (0.006–0.70) | 0.024 | - | - | |||
| CTC4 count at post-surgery 1M (≥3 CTCE vs. <3 CTCE ref) (≥3 CTCE+M vs. <3 CTCE ref) | 1.822 (0.67–4.98) 7.56 (3.39–23.91) | 4.0 × 10−4 0.242 5.8 × 10−4 | 1.536 (0.48–4.88 2.902 (0.79–10.62) | 0.1 0.467 0.107 | |||
| CTC5 e | pT (3 + 4 vs. 1 + 2 ref) (n = 56) | 6.792 (2.04–22.58) | 0.002 | 0.797 | - | - | 0.802 |
| CTC5 count at post-surgery 3M (≥3 CTCE vs. <3 CTCE ref) (≥3 CTCE+M vs. <3 CTCE ref) | 3.641 (1.00–13.25) 9.946 (3.49–28.34) | 9.0 × 10−6 0.0499 1.7 × 10−5 | 5.821 (1.52–22.32) 9.366 (3.11–28.18) | 4.0 × 10−5 0.01 6.9 × 10−5 | |||
| CTC3/4 f | pT (3 + 4 vs. 1 + 2 ref) (n = 62) | 3.086 (1.16–8.22) | 0.024 | 0.783 | - | - | 0.739 |
| Change of pre-surgery/CTC4 Others vs. favorable change (<3 CTCE) pre-surgery/CTC4 ref) | 3.638 (1.71–7.75) | 8.3 × 10−4 | 3.019 (1.34–6.82) | 0.008 | |||
| CTC3/5 g | pT (3 + 4 vs. 1 + 2 ref) (n = 56) | 4.259 (1.47–12.32) | 0.007 | 0.803 | - | - | 0.783 |
| Change of pre-surgery/CTC5 Others vs. favorable change (<3 CTCE) pre-surgery/CTC5 ref) | 6.662 (2.92–15.21) | 6.7 × 10−6 | 3.913 (1.66–9.21) | 0.002 | |||
| CTC3CL h | pT (3 + 4 vs. 1 + 2 ref) (n = 63) | 3.639 (1.48–8.93) | 0.005 | 0.749 | 3.022 (1.14–8.03) | 0.027 | 0.662 |
| - | - | ||||||
| CTC clusters (Yes vs. No ref) | 2.539 (0.94–6.89) | 0.068 | |||||
Disclaimer/Publisher’s Note: The statements, opinions and data contained in all publications are solely those of the individual author(s) and contributor(s) and not of MDPI and/or the editor(s). MDPI and/or the editor(s) disclaim responsibility for any injury to people or property resulting from any ideas, methods, instructions or products referred to in the content. |
© 2023 by the authors. Licensee MDPI, Basel, Switzerland. This article is an open access article distributed under the terms and conditions of the Creative Commons Attribution (CC BY) license (https://creativecommons.org/licenses/by/4.0/).
Share and Cite
Ko, J.M.Y.; Lam, K.O.; Kwong, D.L.W.; Wong, I.Y.-H.; Chan, F.S.-Y.; Wong, C.L.-Y.; Chan, K.K.; Law, T.T.; Chiu, K.W.H.; Lam, C.C.S.; et al. Circulating Tumor Cell Enumeration for Serial Monitoring of Treatment Outcomes for Locally Advanced Esophageal Squamous Cell Carcinoma. Cancers 2023, 15, 832. https://doi.org/10.3390/cancers15030832
Ko JMY, Lam KO, Kwong DLW, Wong IY-H, Chan FS-Y, Wong CL-Y, Chan KK, Law TT, Chiu KWH, Lam CCS, et al. Circulating Tumor Cell Enumeration for Serial Monitoring of Treatment Outcomes for Locally Advanced Esophageal Squamous Cell Carcinoma. Cancers. 2023; 15(3):832. https://doi.org/10.3390/cancers15030832
Chicago/Turabian StyleKo, Josephine Mun Yee, Ka On Lam, Dora Lai Wan Kwong, Ian Yu-Hong Wong, Fion Siu-Yin Chan, Claudia Lai-Yin Wong, Kwan Kit Chan, Tsz Ting Law, Keith Wan Hang Chiu, Candy Chi Shan Lam, and et al. 2023. "Circulating Tumor Cell Enumeration for Serial Monitoring of Treatment Outcomes for Locally Advanced Esophageal Squamous Cell Carcinoma" Cancers 15, no. 3: 832. https://doi.org/10.3390/cancers15030832
APA StyleKo, J. M. Y., Lam, K. O., Kwong, D. L. W., Wong, I. Y.-H., Chan, F. S.-Y., Wong, C. L.-Y., Chan, K. K., Law, T. T., Chiu, K. W. H., Lam, C. C. S., Wong, J. C., Fong, H. C. H., Choy, F. S. F., Lo, A., Law, S., & Lung, M. L. (2023). Circulating Tumor Cell Enumeration for Serial Monitoring of Treatment Outcomes for Locally Advanced Esophageal Squamous Cell Carcinoma. Cancers, 15(3), 832. https://doi.org/10.3390/cancers15030832

