Computational Multi-Scale Modeling of Drug Delivery into an Anti-Angiogenic Therapy-Treated Tumor
Abstract
:Simple Summary
Abstract
1. Introduction
2. Materials and Methods
2.1. Computational Model Geometry
2.2. Governing Equations
2.2.1. Angiogenesis and Anti-Angiogenesis
2.2.2. Intravascular Blood Flow
Blood Viscosity
Blood Hematocrit
Vessel Diameter Adaptation
2.2.3. Interstitial Fluid Flow
2.2.4. Solute Transport
2.3. Numerical Simulation Explanation
2.3.1. Boundary and Initial Conditions
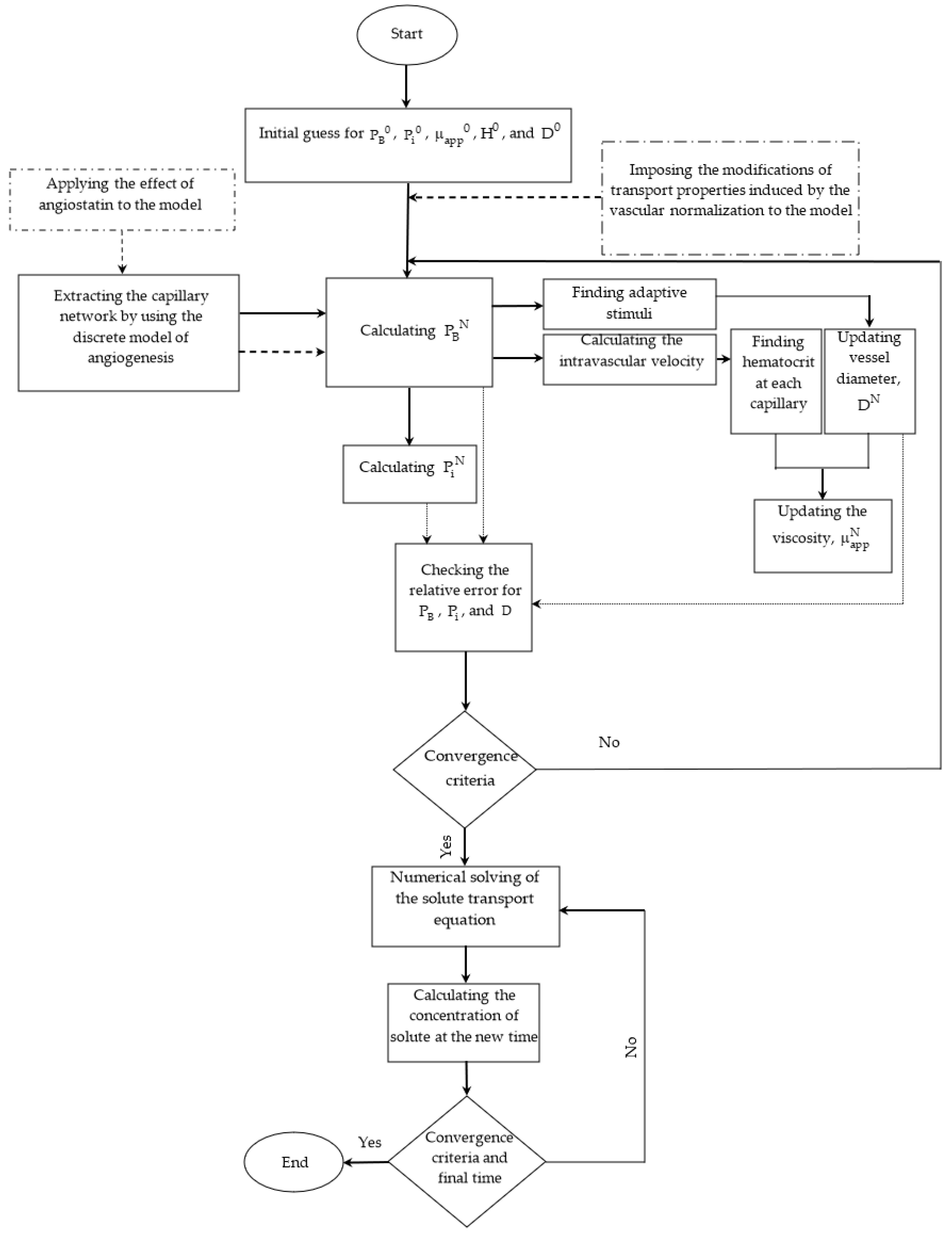
2.3.2. Numerical Modeling Process
2.3.3. Grid Independent Solution
2.3.4. Parameters Value
3. Validation
4. Results and Discussion
4.1. Fluid Flow Analysis
4.2. Solute Transport Analysis
5. Conclusions
Author Contributions
Funding
Institutional Review Board Statement
Informed Consent Statement
Data Availability Statement
Acknowledgments
Conflicts of Interest
References
- Bodzioch, M.; Bajger, P.; Foryś, U. Angiogenesis and Chemotherapy Resistance: Optimizing Chemotherapy Scheduling Using Mathematical Modeling. J. Cancer Res. Clin. Oncol. Vol. 2021, 147, 2281–2299. [Google Scholar]
- FKashkooli, M.; Souri, M.; Tavakkoli, J.J.; Kolios, M.C. A Spatiotemporal Computational Model of Focused Ultrasound Heat-Induced Nano-Sized Drug Delivery System in Solid Tumors. Drug Deliv. 2023, 30, 2219871. [Google Scholar] [CrossRef]
- Jain, R.K. The Next Frontier of Molecular Medicine: Delivery of Therapeutics. Nat. Med. 1998, 4, 655–657. [Google Scholar] [PubMed]
- II, D.A.H.; Phillips, C.M.; Wu, C.; Lima, E.A.B.F.; Lorenzo, G.; Jha, P.K.; Jarrett, A.M.; Oden, J.T.; Yankeelov, T.E. Biologically-Based Mathematical Modeling of Tumor Vasculature and Angiogenesis via Time-Resolved Imaging Data. Cancers 2021, 13, 3008. [Google Scholar]
- Rajora, A.K.; Ravishankar, D.; Zhang, H.; Rosenholm, J.M. Recent Advances and Impact of Chemotherapeutic and Antiangiogenic Nanoformulations for Combination Cancer Therapy. Pharmaceutics 2020, 12, 592. [Google Scholar]
- Ciccolini, J.; Benzekry, S.; Lacarelle, B.; Barlési, F. Improving Efficacy of the Combination Between Antiangiogenic and Chemotherapy: Time for Mathematical Modeling Support(Letter). Proc. Natl. Acad. Sci. USA 2015, 112, E3453. [Google Scholar]
- Folkman, J. Tumor Angiogenesis: Therapeutic Implications. N. Engl. J. Med. 1971, 285, 1182–1186. [Google Scholar]
- Yoshizawa, Y.; Ogawara, K.-I.; Fushimi, A.; Abe, S.; Ishikawa, K.; Araki, T.; Molema, G.; Kimura, T.; Higaki, K. Deeper Penetration into Tumor Tissues and Enhanced in vivo Antitumor Activity of Liposomal Paclitaxel by Pretreatment with Angiogenesis Inhibitor SU5416. Mol. Pharmaceut. 2012, 9, 3486–3494. [Google Scholar]
- Gremonprez, F.; Descamps, B.; Izmer, A.; Vanhove, C.; Vanhaecke, F.; De Wever, O.; Ceelen, W. Pretreatment with VEGF(R)-Inhibitors Reduces Interstitial fluid pressure, Increases Intraperitoneal Chemotherapy, Drug Penetration, and Impedes Tumor Growth in a Mouse Colorectal Carcinomatosis Model. Oncotarget 2015, 6, 29889–29900. [Google Scholar]
- Escorcia, F.E.; Henke, E.; McDevitt, M.R.; Villa, C.H.; Smith-Jones, P.; Blasberg, R.G.; Benezra, R.; Scheinberg, D.A. Selective Killing of Tumor Neovasculature Paradoxically Improves Chemotherapy Delivery to Tumors. Cancer Res. 2010, 70, 9277–9286. [Google Scholar]
- Majidpoor, J. Mortezaee, Angiogenesis as a Hallmark of Solid Tumors-Clinical Perspectives. Cell. Oncol. 2021, 44, 715–737. [Google Scholar]
- Liang, Q.; Zhou, L.; Li, Y.; Liu, J.; Liu, Y. Nano Drug Delivery System Reconstruct Tumour Vasculature for The Tumour Vascular Normalisation. J. Drug Target. 2022, 30, 119–130. [Google Scholar] [CrossRef] [PubMed]
- Liang, P.; Ballou, B.; Lv, X.; Si, W.; Bruchez, M.P.; Huang, W.; Dong, X. Monotherapy and Combination Therapy Using Anti-Angiogenic Nanoagents to Fight Cancer. Adv. Mater. 2021, 33, 2005155. [Google Scholar] [CrossRef]
- Jafari-Matanagh, S.; Razavi, S.E.; Bonab, M.B.E.; Omidian, H.; Omidi, Y. Multi-Dimensional Modeling of Nanoparticles Transportation from Capillary Bed into the Tumor Microenvironment. Comput. Biol. Med. 2023, 152, 106477. [Google Scholar] [CrossRef]
- Nikmaneshi, M.R.; Firoozabadi, B.; Mozafari, A.; Munn, L.L. A Multi-Scale Model for Determining the Effects of Pathophysiology and Metabolic Disorders on Tumor Growth. Sci. Rep. 2020, 10, 3025. [Google Scholar] [PubMed]
- Sefidgar, M.; Soltani, M.; Raahemifar, K.; Sadeghi, M.; Bazmara, H.; Bazargan, M.; Nayinian, S.M.M. Numerical Modeling of Drug Delivery in a Dynamic Solid Tumor Microvasculature. Microvasc. Res. 2015, 99, 43–56. [Google Scholar] [CrossRef] [PubMed]
- Hadjicharalambous, M.; Wijeratne, P.A.; Vavourakis, V. From Tumour Perfusion to Drug Delivery and Clinical Translation of in Silico Cancer Models. Methods 2021, 185, 82–93. [Google Scholar] [CrossRef] [PubMed]
- Baxter, L.T.; Jain, R.K. Transport of Fluid and Macromolecules in Tumors, I. Role of Interstitial Pressure and Convection. Microvasc. Res. 1989, 37, 77–104. [Google Scholar] [CrossRef]
- Baxter, L.T.; Jain, R.K. Transport of Fluid and Macromolecules in Tumors II. Role of Heterogeneous Perfusion and Lymphatics. Microvasc. Res. 1990, 40, 246–263. [Google Scholar] [CrossRef]
- Baxter, L.T.; Jain, R.K. Transport of Fluid and Macromolecules in Tumors III Role of Binding and Metabolism. Microvasc. Res. 1991, 41, 5–23. [Google Scholar] [CrossRef]
- Jain, R.K.; Tong, R.T.; Munn, L.L. Effect of Vascular Normalization by Antiangiogenic Therapy on Interstitial Hypertension, Peritumor Edema, and Lymphatic Metastasis: Insights from a Mathematical Model. Cancer Res. 2007, 67, 2729–2735. [Google Scholar] [CrossRef] [PubMed]
- Mohammadi, M.; Aghanajafi, C.; Soltani, M. Numerical Modelling of Drug Delivery in an Isolated Solid Tumor under the Influence of Vascular Normalization. In Recent Developments in Mathematical, Statistical, and Computational Sciences in: AMMCS 2019, Springer Proceedings in Mathematics & Statistics; Kilgour, D.M., Kunze, H., Makarov, R., Melnik, R., Wang, X., Eds.; Springer: Cham, The Netherlands, 2021; Volume 343. [Google Scholar]
- Mohammadi, M.; Aghanajafi, C.; Soltani, M.; Raahemifar, K. Numerical Investigation on the Anti-Angiogenic Therapy-Induced Normalization in Solid Tumors. Pharmaceutics 2022, 14, 363. [Google Scholar] [CrossRef] [PubMed]
- Mohammadi, M.; Aghanajafi, C.; Soltani, M. Simulation of the Role of the Anti-Angiogenic Therapy in Fluid Flow Behavior and Macromolecule Transport into a Heterogeneous Solid Tumor. Amirkabir J. Mech. Eng. 2022, 54, 305–308. [Google Scholar]
- Anderson, A.R.A.; Chaplain, M.A.J. Continuous and Discrete Mathematical Models of Tumor-induced Angiogenesis. Bull. Math. Biol. 1998, 60, 857–899. [Google Scholar] [CrossRef] [PubMed]
- Anderson, A.R.A.; Chaplain, M.A.J.; McDougall, S.R. A Hybrid Discrete-Continuum Model of Tumour Induced Angiogenesis. In Modeling Tumor Vasculature; Jackson, T.L., Ed.; Springer: New York, NY, USA, 2012; pp. 105–133. [Google Scholar]
- Wu, J.; Long, Q.; Xu, S.; Padhani, A.R. Study of Tumor Blood Perfusion and its Variation due to Vascular Normalization by Anti-Angiogenic Therapy based on 3D Angiogenic Microvasculature. J. Biomech. 2009, 42, 712–721. [Google Scholar] [CrossRef]
- Tee, D.; DiStefano, J., III. Simulation of Tumor-Induced Angiogenesis and its Response to Anti-Angiogenic Drug Treatment: Mode of Drug Delivery and Clearance Rate Dependencies. J. Cancer Res. Clin. Oncol. 2004, 130, 15–24. [Google Scholar] [CrossRef]
- Zhao, G.; Chen, E.; Yu, X.; Cui, H.; LV, J.; Wu, J. Three-Dimensional Model of Metastatic Tumor Angiogenesis in Response to Anti-Angiogenic Factor Angiostatin. J. Mech. Med. Biol. 2017, 17, 1750094. [Google Scholar] [CrossRef]
- Mohammadi, M.; Soltani, M.; Aghanajafi, C.; Kohandel, M. Investigation of the Evolution of Tumor-Induced Microvascular Network under the Inhibitory Effect of Anti-Angiogenic Factor, Angiostatin: A Mathematical Study. Math. Biosci. Eng. 2023, 20, 5448–5480. [Google Scholar] [CrossRef]
- Mohammadi, M.; Sefidgar, M.; Kashkooli, F.M.; Aghanajafi, C.; Soltani, M. Mathematical Modeling of the Effect of Angiostatin on the Density of the Circular Tumor-Induced Microvascular Network, In Proceedings of the 29th National and 7th International Iranian Conference on Biomedical Engineering (ICBME), Tehran, Iran, 22–23 December 2022.
- Stéphanou; Angélique; McDougall, S.R.; Anderson, A.R.A.; Chaplain, M.A.J. Mathematical Modelling of the Influence of Blood Rheological Properties upon Adaptative Tumour-Induced Angiogenesis. Math. Comput. Model. 2006, 44, 96–123. [Google Scholar] [CrossRef]
- McDougall, S.R.; Anderson, A.R.A.; Chaplain, M.A.J. Mathematical Modelling of Dynamic Adaptive Tumour-Induced Angiogenesis: Clinical Implications and Therapeutic Targeting Strategies. J. Theor. Biol. 2006, 241, 564–589. [Google Scholar] [CrossRef]
- Moath, A.; Xiao, Y.X. The Influence of Tumour Vasculature on Fluid Flow in Solid Tumours: A Mathematical Modelling Study. Biophys. Rep. 2021, 7, 35–54. [Google Scholar] [CrossRef] [PubMed]
- Soltani, M.; Chen, P. Numerical Modeling of Interstitial Fluid Flow Coupled with Blood Flow through a Remodeled Solid Tumor Microvascular Network. PLoS ONE 2013, 8, e67025. [Google Scholar] [CrossRef] [PubMed]
- Wu, J.; DING, Z.-R.; Cai, Y.; Xu, S.; Zhao, G.; Long, Q. Simulation of Tumor Microvasculature and Microenvironment Response to Anti-Angiogenic Treatment by Angiostatin and Endostatin. Appl. Math. Mech. 2011, 32, 437–448. [Google Scholar] [CrossRef]
- Zhao, G.; Yan, W.; Chen, E.; Yu, X.; Cai, W. Numerical Simulation of the Inhibitory Effect of Angiostatin on Metastatic Tumor Angiogenesis and Microenvironment. Bull. Math. Biol. 2013, 75, 274–287. [Google Scholar] [CrossRef] [PubMed]
- Ozturk, D.; Yonucu, S.; Yilmaz, D.; Unlu, M.B. Influence of Vascular Normalization on Interstitial Flow and Delivery of Liposomes in Tumors. Phys. Med. Biol. 2015, 60, 1477–1496. [Google Scholar] [CrossRef] [PubMed]
- Stylianopoulos, T.; Jain, R.K. Combining Two Strategies to Improve Perfusion and Drug Delivery in Solid Tumors. Proc. Natl. Acad. Sci. USA 2013, 110, 18632–18637. [Google Scholar] [CrossRef]
- Steuperaert, M.; Debbaut, C.; Carlier, C.; De Wever, O.; Descamps, B.; Vanhove, C.; Ceelen, W.; Segers, P. A 3D CFD Model of the Interstitial Fluid Pressure and Drug Distribution in Heterogeneous Tumor Nodules during Intraperitoneal Chemotherapy. Drug Deliv. 2019, 26, 404–415. [Google Scholar] [CrossRef]
- Zhan, W. Convection Enhanced Delivery of Anti-Angiogenic and Cytotoxic Agents in Combination Therapy against Brain Tumour. Eur. J. Pharm. Sci. 2020, 141, 105094. [Google Scholar] [CrossRef]
- Sweeney, P.W.; d’Esposito, A.; Walker-Samuel, S.; Shipley, R.J. Modelling the Transport of Fluid through Heterogeneous, Whole Tumours in Silico. PLoS Comput. Biol. 2019, 15, e1006751. [Google Scholar] [CrossRef]
- Pries, A.R.; Neuhaus, D.; Gaehtgens, P. Blood Viscosity in Tube Flow: Dependence on Diameter and Hematocrit. Am. J. Physiol. 1992, 263, 1770–1778. [Google Scholar] [CrossRef]
- Pries, A.R.; Secomb, T.W.; Gaehtgens, P. Biophysical Aspects of Blood Flow in the Microvasculature. Cardiovasc. Res. 1996, 32, 654–667. [Google Scholar] [CrossRef]
- Pries, A.R.; Secomb, T.W. Blood Flow in Microvascular Networks. In Microcirculation; Tuma, R.F., Durán, W.N., Ley, K., Eds.; Academic Press: Cambridge, MA, USA, 2008; pp. 3–36. [Google Scholar]
- Pries, A.R.; Reglin, B.; Secomb, T.W. Structural Adaptation of Microvascular Networks: Functional Roles of Adaptive Responses. Am. J. Physiol. 2001, 281, 1015–1025. [Google Scholar] [CrossRef] [PubMed]
- Pries, A.R.; Secomb, T.W.; Gaehtgens, P. Structural Adaptation and Stability of Microvascular Networks: Theory and Simulations. Am. J. Physiol. 1998, 275, 349–360. [Google Scholar] [CrossRef]
- Pries, A.R.; Cornelissen, A.J.M.; Sloot, A.A.; Hinkeldey, M.; Dreher, M.R.; Höpfner, M.; Dewhirst, M.W.; Secomb, T.W. Structural Adaptation and Heterogeneity of Normal and Tumor Microvascular Networks. PLoS Comput. Biol. 2009, 5, e1000394. [Google Scholar] [CrossRef] [PubMed]
- Crawshaw, J.R.; Flegg, J.A.; Bernabeu, M.O.; Osborne, J.M. Mathematical Models of Developmental Vascular Remodelling: A Review. PLoS Comput. Biol. 2023, 19, e1011130. [Google Scholar] [CrossRef] [PubMed]
- Salathe, E.P.; An, K.-N. A Mathematical Analysis of Fluid Movement across Capillary Walls. Microvasc. Res. 1976, 11, 1–23. [Google Scholar] [CrossRef] [PubMed]
- Fung, Y.C. Biomechanics-Mechanical Properties of Living Tissues; Springer: Berlin, Germany, 1986. [Google Scholar]
- Steuperaert, M.; Labate, G.F.D.; Debbaut, C.; De Wever, O.; Vanhove, C. Mathematical Modeling of Intraperitoneal Drug Delivery: Simulation of Drug Distribution in a Single Tumor Nodule. Drug Deliv. 2017, 24, 491–501. [Google Scholar] [CrossRef]
- Kashkooli, F.M.; Hornsby, T.K.; Kolios, M.C.; Tavakkoli, J.J. Ultrasound-Mediated Nano-Sized Drug Delivery Systems for Cancer Treatment: Multi-Scale and Multi-Physics Computational Modeling. WIREs Nanomed. Nanobiotechnol. 2023, e1913. [Google Scholar] [CrossRef]
- Swabb, E.A.; Wei, J.; Gullino, P.M. Diffusion and Convection in Normal and Neoplastic Tissues. Cancer Res. 1974, 34, 2814–2822. [Google Scholar]
- Kashkooli, F.M.; Soltani, M.; Rezaeian, M.; Meaney, C.; Hamedi, M.H.; Kohandel, M. Effect of Vascular Normalization on Drug Delivery to Different Stages of Tumor Progression: In-Silico Analysis. J. Drug Deliv. Sci. Technol. 2020, 60, 101989. [Google Scholar] [CrossRef]
- Patlak, C.S.; Goldstein, D.A.; Hoffman, J.F. The Flow of Solute and Solvent across a Two-Membrane System. J. Theor. Biol. 1963, 5, 426–442. [Google Scholar] [CrossRef] [PubMed]
- Pishko, G.L.; Astary, G.W.; Mareci, T.H. Sarntinoranont, Sensitivity Analysis of an Image-Based Solid Tumor Computational Model with Heterogeneous Vasculature and Porosity. Ann. Biomed. Eng. 2011, 39, 2360–2373. [Google Scholar] [CrossRef] [PubMed]
- Gerlowski, L.E.; Jain, R.K. Microvascular Permeability of Normal and Neoplastic Tissues. Microvasc. Res. 1986, 31, 288–305. [Google Scholar] [CrossRef]
- Chou, C.-Y.; Chang, W.-I.; Horng, T.-L.; Lin, W.-L. Numerical Modeling of Nanodrug Distribution in Tumors with Heterogeneous Vasculature. PLoS ONE 2017, 12, e0189802. [Google Scholar] [CrossRef]
- Rippe, B.; Haraldsson, B. Capillary Permeability in Rat Hindquarters as Determined by Estimations of Capillary Reflection Coefficients. Acta Physiol. Scand. 1986, 127, 289–303. [Google Scholar] [CrossRef]
- Shamsi, M.; Sedaghatkish, A.; Dejam, M.; Saghafian, M.; Mohammadi, M.; Sanati-Nezhad, A. Magnetically assisted intraperitoneal drug delivery for cancer chemotherapy. Drug Deliv. 2018, 25, 846–861. [Google Scholar] [CrossRef] [PubMed]
- Ballard, K.; Perl, W. Osmotic Reflection Coefficients of Canine Subcutaneous Adipose Tissue Endothelium. Microvasc. Res. 1978, 16, 224–236. [Google Scholar] [CrossRef]
- Anderson, J.L.; Malone, D.M. Mechanism of Osmotic Flow in Porous Membranes. Biophys. J. 1974, 14, 957–982. [Google Scholar] [CrossRef]
- Deen, W.M. Hindered Transport of Large Molecules in Liquid-Filled Pores. AICHE J. 1987, 33, 1409–1425. [Google Scholar] [CrossRef]
- Zhao, G.; Wu, J.; Xu, S.; Collins, M.W.; Long, Q.; König, C.S.; Jiang, Y.; Wang, J.; Wang, J.; Padhani, A.R. Numerical Simulation of Blood Flow and Interstitial Fluid Pressure in Solid Tumor Microcirculation Based on Tumor-Induced Angiogenesis. Acta Mech. Sin. 2007, 23, 477–483. [Google Scholar] [CrossRef]
- Boucher, Y.; Baxter, L.T.; Jain, R.K. Interstitial Pressure Gradients in Tissue-Isolated and Subcutaneous Tumors: Implications for Therapy. Cancer Res. 1990, 50, 4478–4484. [Google Scholar] [PubMed]
- Soto-Pantoja, D.R.; Menon, J.; Gallagher, P.E.; Tallant, E.A. Angiotensin-(1-7) Inhibits Tumor Angiogenesis in Human Lung Cancer Xenografts with a Reduction in Vascular Endothelial Growth Factor. Mol. Cancer Ther. 2009, 8, 1676–1683. [Google Scholar] [CrossRef] [PubMed]
- Yokoyama, Y.; Dhanabal, M.; Griffioen, A.W.; Sukhatme, V.P. Ramakrishnan, Synergy between Angiostatin and Endostatin: Inhibition of Ovarian Cancer Growth. Cancer Res. 2000, 60, 2190–2196. [Google Scholar] [PubMed]
- Jain, R.K. Normalization of Tumor Vasculature: An Emerging Concept in Antiangiogenic Therapy. Science 2005, 307, 58–62. [Google Scholar] [CrossRef] [PubMed]
- Boucher, Y.; Jain, R.K. Microvascular Pressure is the Principal Driving Force for Interstitial Hypertension in Solid Tumors: Implications for Vascular Collapse. Cancer Res. 1992, 52, 5110–5114. [Google Scholar]
- Tong, R.T.; Boucher, Y.; Kozin, S.V.; Winkler, F.; Hicklin, D.J.; Jain, R.K. Vascular Normalization by Vascular Endothelial Growth Factor Receptor 2 Blockade Induces Pressure Gradients across the Vasculature and Improves Drug Penetration in Tumors. Cancer Res. 2004, 64, 3731–3736. [Google Scholar] [CrossRef]
- Kłosowska-Wardęga, A.; Hasumi; Yoko; Burmakin, M.; Åhgren, A.; Stuhr, L.; Moen, I.; Reed, R.K.; Rubin, K.; Hellberg, C.; et al. Combined Anti-Angiogenic Therapy Targeting PDGF and VEGF Receptors Lowers the Interstitial Fluid Pressure in a Murine Experimental Carcinoma. PLoS ONE 2009, 4, e8149. [Google Scholar] [CrossRef]
- Fan, Y.; Du, W.; He, B.; Fu, F.; Yuan, L.; Wu, H.; Dai, W.; Zhang, H.; Wang, X.; Wang, J.; et al. The Reduction of Tumor Interstitial Fluid Pressure by Liposomal Imatinib and its Effect on Combination Therapy with Liposomal Doxorubicin. Biomaterials 2013, 34, 2277–2288. [Google Scholar] [CrossRef]
- Lee, C.-G.; Heijn, M.; Tomaso, E.D.; Griffon-Etienne, G.; Ancukiewicz, M.; Koike, C.; Park, K.R.; Ferrara, N.; Jain, R.K.; Suit, H.D.; et al. Anti-Vascular Endothelial Growth Factor Treatment Augments Tumor Radiation Response under Normoxic or Hypoxic Conditions. Cancer Res. 2000, 60, 5565–5570. [Google Scholar]
- Deng, P.-B.; Hu, C.-P.; Xiong, Z.; Yang, H.-P.; Li, Y.-Y. Treatment with EGCG in NSCLC leads to decreasing interstitial fluid pressure and hypoxia to improve chemotherapy efficacy through rebalance of Ang-1 and Ang-2. Chin. J. Nat. Med. 2013, 11, 245–253. [Google Scholar] [CrossRef]
- Ferrari, F.; Sartori, M.; Milla, P. Antibiotic Adjustment in Continuous Renal Replacement Therapy. In Critical Care Nephrology, 3rd ed.; Ronco, C., Bellomo, R., Kellum, J.A., Ricci, Z., Eds.; Elsevier: Amsterdam, The Netherlands, 2019; pp. 1051–1067. [Google Scholar]
- Martin, J.D.; Fukumura, D.; Duda, D.G.; Boucher, Y.; Jain, R.K. Reengineering the Tumor Microenvironment to Alleviate Hypoxia and Overcome Cancer Heterogeneity. Cold Spring Harb. Perspect. Med. 2016, 6, a027094. [Google Scholar] [CrossRef] [PubMed]
- Stylianopoulos, T.; Munn, L.L.; Jain, R.K. Reengineering the Physical Microenvironment of Tumors to Improve Drug Delivery and Efficacy: From Mathematical Modeling to Bench to Bedside. Trends Cancer 2018, 4, 292–319. [Google Scholar] [CrossRef] [PubMed]
- Khawar, I.A.; Kim, J.H.; Kuh, H.-J. Improving Drug Delivery to Solid Tumors: Priming the Tumor Microenvironment. J. Control. Release 2015, 201, 78–89. [Google Scholar] [CrossRef] [PubMed]
- Webb, T. Vascular Normalization: Study Examines How Antiangiogenesis Therapies Work. J. Natl. Cancer Inst. 2005, 97, 336–337. [Google Scholar] [CrossRef]
- Ho, Y.-J.; Yeh, C.-K. Combination of Anti-Angiogenesis Treatment and Chemotherapy in Solid Tumors by Using Drug-Loaded Nanodroplets Vaporization. In Proceedings of the IEEE International Ultrasonics Symposium (IUS), Tours, France, 18 September 2016; pp. 1–4. [Google Scholar]
- Park, J.-S.; Kim, I.-K.; Han, S.; Park, I.; Kim, C.; Bae, J.; Oh, S.J.; Lee, S.; Kim, J.H.; Woo, D.-C.; et al. Normalization of Tumor Vessels by Tie2 Activation and Ang2 Inhibition Enhances Drug Delivery and Produces a Favorable Tumor Microenvironment. Cancer Cell 2016, 30, 953–967. [Google Scholar] [CrossRef]
- Chauhan, V.P.; Stylianopoulos, T.; Martin, J.D.; Popović, Z.; Chen, O.; Kamoun, W.S.; Bawendi, M.G.; Fukumura, D.; Jain, R.K. Normalization of Tomour Blood Vessels Improves the Delivery of Nanomedicines in a Size-Dependent Manner. Nat. Nanotechnol. 2012, 7, 383–388. [Google Scholar] [CrossRef]
- Li, W.; Zhao, X.; Du, B.; Li, X.; Liu, S.; Yang, X.-Y.; Ding, H.; Yang, W.; Pan, F.; Wu, X.; et al. Gold Nanoparticle–Mediated Targeted Delivery of Recombinant Human Endostatin Normalizes Tumour Vasculature and Improves Cancer Therapy. Sci. Rep. 2016, 6, 30619. [Google Scholar] [CrossRef]
- Birsner, A.E.; Benny, O.; D’Amato, R.J. The Corneal Micropocket Assay: A Model of Angiogenesis in the Mouse Eye. J. Vis. Exp. 2014, 90, 51375. [Google Scholar]
- Muthukkaruppan, V.R.; Kubai, L.; Auerbach, R. Tumor-Induced Neovascularization in the Mouse Eye. J. Natl. Cancer Inst. 1982, 69, 699–708. [Google Scholar]
- Lopez, E.S.; Rizzo, M.M.; Croxatto, J.O.; Mazzolini, G.; Gallo, J.E. Suramab, a Novel Antiangiogenic Agent, Reduces Tumor Growth and Corneal Neovascularization. Cancer Chemother. Pharmacol. 2011, 67, 723–728. [Google Scholar] [CrossRef]
- Nicoli, S.; Presta, M. The Zebrafish/Tumor Xenograft Angiogenesis Assay. Nat. Protoc. 2007, 2, 2918–2923. [Google Scholar] [CrossRef] [PubMed]
- Zhang, J.; Gao, B.; Zhang, W.; Qian, Z.; Xiang, Y. Monitoring Antiangiogenesis of Bevacizumab in Zebrafish. Drug Des. Dev. Ther. 2018, 12, 2423–2430. [Google Scholar] [CrossRef] [PubMed]
- Kuzmic, N.; Moore, T.; Devadas, D.; Young, E.W.K. Modelling of Endothelial Cell Migration and Angiogenesis in Microfluidic Cell Culture Systems. Biomech. Model. Mechanobiol. 2019, 18, 717–731. [Google Scholar] [CrossRef] [PubMed]
- Blache, U.; Ehrbar, M. Inspired by Nature: Hydrogels as Versatile Tools for Vascular Engineering. Adv. Wound Care 2017, 7, 232–246. [Google Scholar] [CrossRef] [PubMed]
















| Parameter | Description | Normal Tissue | Normalized Tissue | Tumor Tissue | Reference(s) |
|---|---|---|---|---|---|
| Hydraulic conductivity of the microvascular wall | [23,55,61,65] | ||||
| Hydraulic conductivity of the interstitium | [16,23,55,61] | ||||
| Surface area of vessel wall per unit volume of tissue | 70 | 116 | 200 | [23] | |
| Osmotic pressure of the plasma | 20 | 19.2 | 19.8 | [23] | |
| Osmotic pressure of the interstitial fluid | 10 | 15.1 | 17.3 | [23] | |
| Average osmotic reflection coefficient for plasma proteins | [23] | ||||
| Hydrostatic pressure of the lymphatics | 0 | - | - | [57] | |
| Product of hydraulic conductivity of the lymphatic wall and surface area of lymphatic wall per unit volume of tissue | - | - | [57] | ||
| Osmotic filtration reflection coefficient | [23] | ||||
| Effective diffusion coefficient | [58] | ||||
| Micro-vessel permeability coefficient | [23] | ||||
| Drug time constant | [18] |
| Tumor Size | Without Anti-Angiogenic Therapy | With Anti-Angiogenic Therapy, Case 1 | With Anti-Angiogenic Therapy, Case 2 | With Anti-Angiogenic Therapy, Case 3 |
|---|---|---|---|---|
| NDASE: 0.02636 | NDASE: 0.02697 () | NDASE: 0.02653 () | NDASE: 0.02683 () | |
| NDASDNU: 0.020417 | NDASDNU: 0.024195 () | NDASDNU: 0.016544 () | NDASDNU: 0.018968 () | |
| NDASE: 0.030992 | NDASE: 0.031093 () | NDASE: 0.030656 () | NDASE: 0.030695 () | |
| NDASDNU: 0.018542 | NDASDNU: 0.026972 () | NDASDNU: 0.01533 () | NDASDNU: 0.022049 () | |
| NDASE: 0.043371 | NDASE: 0.042542 () | NDASE: 0.042871 () | NDASE: 0.041997 () | |
| NDASDNU: 0.015275 | NDASDNU: 0.036058 () | NDASDNU: 0.01312 () | NDASDNU: 0.032458 () | |
| NDASE: 0.034 | NDASE: 0.0351 (~3%↑) | NDASE: 0.03339 () | NDASE: 0.034520 () | |
| NDASDNU: 0.007138 | NDASDNU: 0.025436 () | NDASDNU: 0.004374 () | NDASDNU: 0.023 () |
Disclaimer/Publisher’s Note: The statements, opinions and data contained in all publications are solely those of the individual author(s) and contributor(s) and not of MDPI and/or the editor(s). MDPI and/or the editor(s) disclaim responsibility for any injury to people or property resulting from any ideas, methods, instructions or products referred to in the content. |
© 2023 by the authors. Licensee MDPI, Basel, Switzerland. This article is an open access article distributed under the terms and conditions of the Creative Commons Attribution (CC BY) license (https://creativecommons.org/licenses/by/4.0/).
Share and Cite
Mohammadi, M.; Sefidgar, M.; Aghanajafi, C.; Kohandel, M.; Soltani, M. Computational Multi-Scale Modeling of Drug Delivery into an Anti-Angiogenic Therapy-Treated Tumor. Cancers 2023, 15, 5464. https://doi.org/10.3390/cancers15225464
Mohammadi M, Sefidgar M, Aghanajafi C, Kohandel M, Soltani M. Computational Multi-Scale Modeling of Drug Delivery into an Anti-Angiogenic Therapy-Treated Tumor. Cancers. 2023; 15(22):5464. https://doi.org/10.3390/cancers15225464
Chicago/Turabian StyleMohammadi, Mahya, Mostafa Sefidgar, Cyrus Aghanajafi, Mohammad Kohandel, and M. Soltani. 2023. "Computational Multi-Scale Modeling of Drug Delivery into an Anti-Angiogenic Therapy-Treated Tumor" Cancers 15, no. 22: 5464. https://doi.org/10.3390/cancers15225464
APA StyleMohammadi, M., Sefidgar, M., Aghanajafi, C., Kohandel, M., & Soltani, M. (2023). Computational Multi-Scale Modeling of Drug Delivery into an Anti-Angiogenic Therapy-Treated Tumor. Cancers, 15(22), 5464. https://doi.org/10.3390/cancers15225464

