Comparison of Single-Port Laparoscopy with Other Surgical Approaches in Endometrial Cancer Surgical Staging: Propensity-Score-Matched Analysis
Abstract
:Simple Summary
Abstract
1. Introduction
2. Materials and Methods
2.1. Ethical Statement
2.2. Study Design and Population
2.3. Treatment
2.4. Data Collection
2.5. Study Endpoints
2.6. Propensity Score Matching
2.7. Statistical Analysis
3. Results
3.1. Initial Analysis
3.1.1. Patient Characteristics
3.1.2. Surgical Outcomes before Propensity Score Matching
3.1.3. Survival Outcomes before Propensity Score Matching
3.2. Propensity-Score-Matched Analysis
3.2.1. Patient Characteristics after Propensity Score Matching
3.2.2. Surgical Outcomes after Propensity Score Matching
3.2.3. Survival Outcomes after Propensity Score Matching
3.2.4. Complications
4. Discussion
5. Conclusions
Supplementary Materials
Author Contributions
Funding
Institutional Review Board Statement
Informed Consent Statement
Data Availability Statement
Conflicts of Interest
References
- Koskas, M.; Amant, F.; Mirza, M.R.; Creutzberg, C.L. Cancer of the corpus uteri: 2021 update. Int. J. Gynecol. Obstet. 2021, 155, 45–60. [Google Scholar] [CrossRef]
- Lu, K.H.; Broaddus, R.R. Endometrial Cancer. N. Engl. J. Med. 2020, 383, 2053–2064. [Google Scholar] [CrossRef]
- Sung, H.; Ferlay, J.; Siegel, R.L.; Laversanne, M.; Soerjomataram, I.; Jemal, A.; Bray, F. Global Cancer Statistics 2020: GLOBOCAN Estimates of Incidence and Mortality Worldwide for 36 Cancers in 185 Countries. CA Cancer J. Clin. 2021, 71, 209–249. [Google Scholar] [CrossRef]
- Zhang, S.; Gong, T.-T.; Liu, F.-H.; Jiang, Y.-T.; Sun, H.; Ma, X.-X.; Zhao, Y.-H.; Wu, Q.-J. Global, Regional, and National Burden of Endometrial Cancer, 1990-2017: Results From the Global Burden of Disease Study, 2017. Front. Oncol. 2019, 9, 1440. [Google Scholar] [CrossRef]
- Colombo, N.; Creutzberg, C.; Amant, F.; Bosse, T.; González-Martín, A.; Ledermann, J.; Marth, C.; Nout, R.; Querleu, D.; Mirza, M.R.; et al. ESMO-ESGO-ESTRO Consensus Conference on Endometrial Cancer: Diagnosis, treatment and follow-up. Ann. Oncol. 2016, 27, 16–41. [Google Scholar] [CrossRef]
- Albright, B.B.; Monuszko, K.A.; Kaplan, S.J.; Davidson, B.A.; Moss, H.A.; Huang, A.B.; Melamed, A.; Wright, J.D.; Havrilesky, L.J.; Previs, R.A. Primary cytoreductive surgery for advanced stage endometrial cancer: A systematic review and meta-analysis. Am. J. Obstet. Gynecol. 2021, 225, 237.e231–237.e237. [Google Scholar] [CrossRef]
- Concin, N.; Matias-Guiu, X.; Vergote, I.; Cibula, D.; Mirza, M.R.; Marnitz, S.; Ledermann, J.; Bosse, T.; Chargari, C.; Fagotti, A.; et al. ESGO/ESTRO/ESP guidelines for the management of patients with endometrial carcinoma. Radiother. Oncol. 2021, 154, 327–353. [Google Scholar] [CrossRef]
- Wright, J.D.; Barrena Medel, N.I.; Sehouli, J.; Fujiwara, K.; Herzog, T.J. Contemporary management of endometrial cancer. Lancet 2012, 379, 1352–1360. [Google Scholar] [CrossRef]
- Walker, J.L.; Piedmonte, M.R.; Spirtos, N.M.; Eisenkop, S.M.; Schlaerth, J.B.; Mannel, R.S.; Spiegel, G.; Barakat, R.; Pearl, M.L.; Sharma, S.K. Laparoscopy compared with laparotomy for comprehensive surgical staging of uterine cancer: Gynecologic Oncology Group Study LAP2. J. Clin. Oncol. Off. J. Am. Soc. Clin. Oncol. 2009, 27, 5331–5336. [Google Scholar] [CrossRef]
- Eklind, S.; Lindfors, A.; Sjöli, P.; Dahm-Kähler, P. A Prospective, Comparative Study on Robotic Versus Open-Surgery Hysterectomy and Pelvic Lymphadenectomy for Endometrial Carcinoma. Int. J. Gynecol. Cancer 2015, 25, 250. [Google Scholar] [CrossRef]
- Bell, M.C.; Torgerson, J.; Seshadri-Kreaden, U.; Suttle, A.W.; Hunt, S. Comparison of outcomes and cost for endometrial cancer staging via traditional laparotomy, standard laparoscopy and robotic techniques. Gynecol. Oncol. 2008, 111, 407–411. [Google Scholar] [CrossRef] [PubMed]
- Janda, M.; Gebski, V.; Forder, P.; Jackson, D.; Williams, G.; Obermair, A. Total laparoscopic versus open surgery for stage 1 endometrial cancer: The LACE randomized controlled trial. Contemp. Clin. Trials 2006, 27, 353–363. [Google Scholar] [CrossRef] [PubMed]
- Janda, M.; Gebski, V.; Brand, A.; Hogg, R.; Jobling, T.W.; Land, R.; Manolitsas, T.; McCartney, A.; Nascimento, M.; Neesham, D.; et al. Quality of life after total laparoscopic hysterectomy versus total abdominal hysterectomy for stage I endometrial cancer (LACE): A randomised trial. Lancet Oncol. 2010, 11, 772–780. [Google Scholar] [CrossRef]
- Palomba, S.; Falbo, A.; Russo, T.; Zullo, F. Updating of a recent meta-analysis of randomized controlled trials to assess the safety and the efficacy of the laparoscopic surgery for treating early stage endometrial cancer. Gynecol. Oncol. 2009, 114, 135–136. [Google Scholar] [CrossRef]
- de la Orden, S.G.; Reza, M.M.; Blasco, J.A.; Andradas, E.; Callejo, D.; Pérez, T. Laparoscopic Hysterectomy in the Treatment of Endometrial Cancer: A Systematic Review. J. Minim. Invasive Gynecol. 2008, 15, 395–401. [Google Scholar] [CrossRef]
- Kwak, Y.H.; Lee, H.; Seon, K.; Lee, Y.J.; Lee, Y.J.; Kim, S.W. Da Vinci SP Single-Port Robotic Surgery in Gynecologic Tumors: Single Surgeon’s Initial Experience with 100 Cases. Yonsei Med. J. 2022, 63, 179–186. [Google Scholar] [CrossRef]
- Eoh, K.-J.; Nam, E.-J.; Kim, S.-W.; Shin, M.; Kim, S.J.H.; Kim, J.-A.; Kim, Y.-T. Nationwide Comparison of Surgical and Oncologic Outcomes in Endometrial Cancer Patients Undergoing Robotic, Laparoscopic, and Open Surgery: A Population-Based Cohort Study. Cancer Res. Treat. 2021, 53, 549–557. [Google Scholar] [CrossRef]
- Eoh, K.J.; Lee, D.W.; Lee, J.H.; Nam, E.J.; Kim, S.W.; Kim, Y.T. Comparative Survival Outcome of Robot-Assisted Staging Surgery Using Three Robotic Arms versus Open Surgery for Endometrial Cancer. Yonsei Med. J. 2021, 62, 68–74. [Google Scholar] [CrossRef]
- Chung, H.; Jang, T.-K.; Nam, S.H.; Kwon, S.-H.; Shin, S.-J.; Cho, C.-H. Robotic single-site staging operation for early-stage endometrial cancer: Initial experience at a single institution. Obstet. Gynecol. Sci. 2019, 62, 149–156. [Google Scholar] [CrossRef]
- Chambers, L.M.; Carr, C.; Freeman, L.; Jernigan, A.M.; Michener, C.M. Does surgical platform impact recurrence and survival? A study of utilization of multiport, single-port, and robotic-assisted laparoscopy in endometrial cancer surgery. Am. J. Obstet. Gynecol. 2019, 221, 243.e241–243.e211. [Google Scholar] [CrossRef]
- Moulton, L.; Jernigan, A.M.; Carr, C.; Freeman, L.; Escobar, P.F.; Michener, C.M. Single-port laparoscopy in gynecologic oncology: Seven years of experience at a single institution. Am. J. Obstet. Gynecol. 2017, 217, 610.e611–610.e618. [Google Scholar] [CrossRef] [PubMed]
- You, X.; Wang, Y.; Zheng, Y.; Yang, F.; Wang, Q.; Min, L.; Wang, K.; Wang, N. Efficacy of transumbilical laparoendoscopic single-site surgery versus multi-port laparoscopic surgery for endometrial cancer: A retrospective comparison study. Front. Oncol. 2023, 13, 1181235. [Google Scholar] [CrossRef] [PubMed]
- Coronado, P.J.; Rychlik, A.; Baquedano, L.; García-Pineda, V.; Martínez-Maestre, M.A.; Querleu, D.; Zapardiel, I. Survival Analysis in Endometrial Carcinomas by Type of Surgical Approach: A Matched-Pair Study. Cancers 2022, 14, 1081. [Google Scholar] [CrossRef] [PubMed]
- Safdieh, J.; Lee, Y.-C.; Wong, A.; Lee, A.; Weiner, J.P.; Schwartz, D.; Schreiber, D. A Comparison of Outcomes Between Open Hysterectomy and Robotic-Assisted Hysterectomy for Endometrial Cancer Using the National Cancer Database. Int. J. Gynecol. Cancer 2017, 27, 1508. [Google Scholar] [CrossRef] [PubMed]
- Tomov, S.T.; Gorchev, G.A.; Kiprova, D.K.; Lyubenov, A.D.; Hinkova, N.H.; Tomova, V.D.; Gorcheva, Z.V.; Ahmad, S. Peri-operative and survival outcomes analysis of patients with endometrial cancer managed by three surgical approaches: A long-term Bulgarian experience. J. Robot. Surg. 2022, 16, 1367–1382. [Google Scholar] [CrossRef]
- Reijntjes, B.; van Suijlichem, M.; Woolderink, J.M.; Bongers, M.Y.; Reesink-Peters, N.; Paulsen, L.; van der Hurk, P.J.; Kraayenbrink, A.A.; Apperloo, M.J.A.; Slangen, B.; et al. Recurrence and survival after laparoscopy versus laparotomy without lymphadenectomy in early-stage endometrial cancer: Long-term outcomes of a randomised trial. Gynecol. Oncol. 2022, 164, 265–270. [Google Scholar] [CrossRef]
- Fu, H.; Zhang, J.; Zhao, S.; He, N. Survival outcomes of robotic-assisted laparoscopy versus conventional laparoscopy and laparotomy for endometrial cancer: A systematic review and meta-analysis. Gynecol. Oncol. 2023, 174, 55–67. [Google Scholar] [CrossRef]
- Borgfeldt, C.; Holmberg, E.; Marcickiewicz, J.; Stålberg, K.; Tholander, B.; Lundqvist, E.Å.; Flöter-Rådestad, A.; Bjurberg, M.; Dahm-Kähler, P.; Hellman, K.; et al. Survival in endometrial cancer in relation to minimally invasive surgery or open surgery—A Swedish Gynecologic Cancer Group (SweGCG) study. BMC Cancer 2021, 21, 658. [Google Scholar] [CrossRef]
- Perrone, E.; Capasso, I.; Pasciuto, T.; Gioè, A.; Gueli Alletti, S.; Restaino, S.; Scambia, G.; Fanfani, F. Laparoscopic vs. robotic-assisted laparoscopy in endometrial cancer staging: Large retrospective single-institution study. J. Gynecol. Oncol. 2021, 32, e45. [Google Scholar] [CrossRef]
- Kurra, V.; Krajewski, K.M.; Jagannathan, J.; Giardino, A.; Berlin, S.; Ramaiya, N. Typical and atypical metastatic sites of recurrent endometrial carcinoma. Cancer Imaging 2013, 13, 113–122. [Google Scholar] [CrossRef]
- Walker, J.L.; Piedmonte, M.R.; Spirtos, N.M.; Eisenkop, S.M.; Schlaerth, J.B.; Mannel, R.S.; Barakat, R.; Pearl, M.L.; Sharma, S.K. Recurrence and Survival After Random Assignment to Laparoscopy Versus Laparotomy for Comprehensive Surgical Staging of Uterine Cancer: Gynecologic Oncology Group LAP2 Study. J. Clin. Oncol. 2012, 30, 695–700. [Google Scholar] [CrossRef]
- Cusimano, M.C.; Vicus, D.; Pulman, K.; Maganti, M.; Bernardini, M.Q.; Bouchard-Fortier, G.; Laframboise, S.; May, T.; Hogen, L.F.; Covens, A.L.; et al. Assessment of Sentinel Lymph Node Biopsy vs Lymphadenectomy for Intermediate- and High-Grade Endometrial Cancer Staging. JAMA Surg. 2021, 156, 157–164. [Google Scholar] [CrossRef] [PubMed]
- Persson, J.; Salehi, S.; Bollino, M.; Lönnerfors, C.; Falconer, H.; Geppert, B. Pelvic Sentinel lymph node detection in High-Risk Endometrial Cancer (SHREC-trial)-the final step towards a paradigm shift in surgical staging. Eur. J. Cancer 2019, 116, 77–85. [Google Scholar] [CrossRef] [PubMed]
- Rossi, E.C.; Kowalski, L.D.; Scalici, J.; Cantrell, L.; Schuler, K.; Hanna, R.K.; Method, M.; Ade, M.; Ivanova, A.; Boggess, J.F. A comparison of sentinel lymph node biopsy to lymphadenectomy for endometrial cancer staging (FIRES trial): A multicentre, prospective, cohort study. Lancet Oncol. 2017, 18, 384–392. [Google Scholar] [CrossRef] [PubMed]
- Yoo-Na, K.; Kyung Jin, E.; Jung-Yun, L.; Eun Ji, N.; Kim, S.; Young-Tae, K.; Kim, S.W. Comparison of outcomes between the one-step and two-step sentinel lymph node mapping techniques in endometrial cancer. Int. J. Gynecol. Cancer 2020, 30, 318–324. [Google Scholar] [CrossRef]
- Eoh, K.J.; Lee, Y.J.; Kim, H.S.; Lee, J.Y.; Nam, E.J.; Kim, S.; Kim, Y.T.; Kim, S.W. Two-step sentinel lymph node mapping strategy in endometrial cancer staging using fluorescent imaging: A novel sentinel lymph node tracer injection procedure. Surg. Oncol. 2018, 27, 514–519. [Google Scholar] [CrossRef] [PubMed]
- National Comprehensive Cancer Network. Uterine Neoplasms (Version 2.2023). Available online: https://www.nccn.org/professionals/physician_gls/pdf/uterine.pdf (accessed on 28 April 2023).
- Matei, D.; Filiaci, V.; Randall, M.E.; Mutch, D.; Steinhoff, M.M.; DiSilvestro, P.A.; Moxley, K.M.; Kim, Y.M.; Powell, M.A.; O’Malley, D.M.; et al. Adjuvant Chemotherapy plus Radiation for Locally Advanced Endometrial Cancer. N. Engl. J. Med. 2019, 380, 2317–2326. [Google Scholar] [CrossRef]
- de Boer, S.M.; Powell, M.E.; Mileshkin, L.; Katsaros, D.; Bessette, P.; Haie-Meder, C.; Ottevanger, P.B.; Ledermann, J.A.; Khaw, P.; Colombo, A.; et al. Adjuvant chemoradiotherapy versus radiotherapy alone for women with high-risk endometrial cancer (PORTEC-3): Final results of an international, open-label, multicentre, randomised, phase 3 trial. Lancet Oncol. 2018, 19, 295–309. [Google Scholar] [CrossRef]
- Nout, R.A.; Smit, V.; Putter, H.; Jürgenliemk-Schulz, I.M.; Jobsen, J.J.; Lutgens, L.; van der Steen-Banasik, E.M.; Mens, J.W.M.; Slot, A.; Kroese, M.C.S.; et al. Vaginal brachytherapy versus pelvic external beam radiotherapy for patients with endometrial cancer of high-intermediate risk (PORTEC-2): An open-label, non-inferiority, randomised trial. Lancet 2010, 375, 816–823. [Google Scholar] [CrossRef]
- Creutzberg, C.L.; van Putten, W.L.; Koper, P.C.; Lybeert, M.L.; Jobsen, J.J.; Wárlám-Rodenhuis, C.C.; De Winter, K.A.; Lutgens, L.C.; van den Bergh, A.C.; van de Steen-Banasik, E.; et al. Surgery and postoperative radiotherapy versus surgery alone for patients with stage-1 endometrial carcinoma: Multicentre randomised trial. PORTEC Study Group. Post Operative Radiation Therapy in Endometrial Carcinoma. Lancet 2000, 355, 1404–1411. [Google Scholar] [CrossRef]


| Total (n = 881) | SPL (n = 107) | MPL (n = 299) | RAL (n = 207) | LT (n = 268) | p-Value | |
|---|---|---|---|---|---|---|
| Operative time, mean ± SD, min | 173.0 ± 66.9 | 205.1 ± 76.9 | 159.2 ± 64.1 | 178.8 ± 57.9 | 171.0 ± 67.6 | <0.001 |
| Estimated blood loss, mean ± SD, mL | 212.4 ± 305.4 | 69.5 ± 90.8 | 143.4 ± 167.0 | 115.9 ± 127.6 | 421.0 ± 442.8 | <0.001 |
| Intraoperative transfusion, n (%) | 24 (2.7) | 0 | 4 (1.3) | 2 (1.0) | 18 (6.7) | <0.001 |
| Postoperative length of hospitalization, mean ± SD, days | 8.1 ± 3.9 | 5.2 ± 2.3 | 7.5 ± 3.4 | 7.2 ± 2.4 | 10.7 ± 4.5 | <0.001 |
| Harvested PLNs, mean ± SD, n | 17.3 ± 9.5 | 16.1 ± 9.5 | 17.0 ± 9.4 | 15.9 ± 9.2 | 19.4 ± 9.5 | <0.001 |
| Harvested PALNs, mean ± SD, n | 7.4 ± 7.9 | 14.1 ± 10.7 | 7.0 ± 7.0 | 5.8 ± 5.7 | 6.3 ± 7.5 | <0.001 |
| Adjuvant therapy, n (%) | ||||||
| Radiotherapy | 226 (25.7) | 24 (22.4) | 58 (19.4) | 42 (20.3) | 102 (38.1) | <0.001 |
| Chemotherapy | 189 (21.5) | 32 (29.9) | 40 (13.4) | 32 (15.5) | 85 (31.7) | <0.001 |
| Hormonal therapy | 8 (0.9) | 3 (2.8) | 1 (0.3) | 1 (0.5) | 3 (1.1) | 0.136 |
| None | 522 (59.3) | 58 (54.2) | 214 (71.6) | 140 (67.6) | 110 (41.0) | <0.001 |
| Parameters | Total (n = 881) | SPL (n = 107) | MPL (n = 299) | RAL (n = 207) | LT (n = 268) | p-Value |
|---|---|---|---|---|---|---|
| Duration of follow-up, mean ± SD, months | 64.7 ± 36.1 | 51.5 ± 18.2 | 66.7 ± 33.8 | 67.2 ± 35.5 | 65.8 ± 42.7 | 0.001 |
| Disease-free survival, % * | 0.004 | |||||
| 3-year | 89.4 | 90.4 | 92.3 | 92.0 | 83.9 | |
| 5-year | 86.9 | 87.9 | 90.3 | 89.6 | 80.4 | |
| Overall survival, %* | 0.013 | |||||
| 3-year | 95.9 | 99 | 96.5 | 98 | 92.3 | |
| 5-year | 93.6 | 97.4 | 94.8 | 94.7 | 89.7 | |
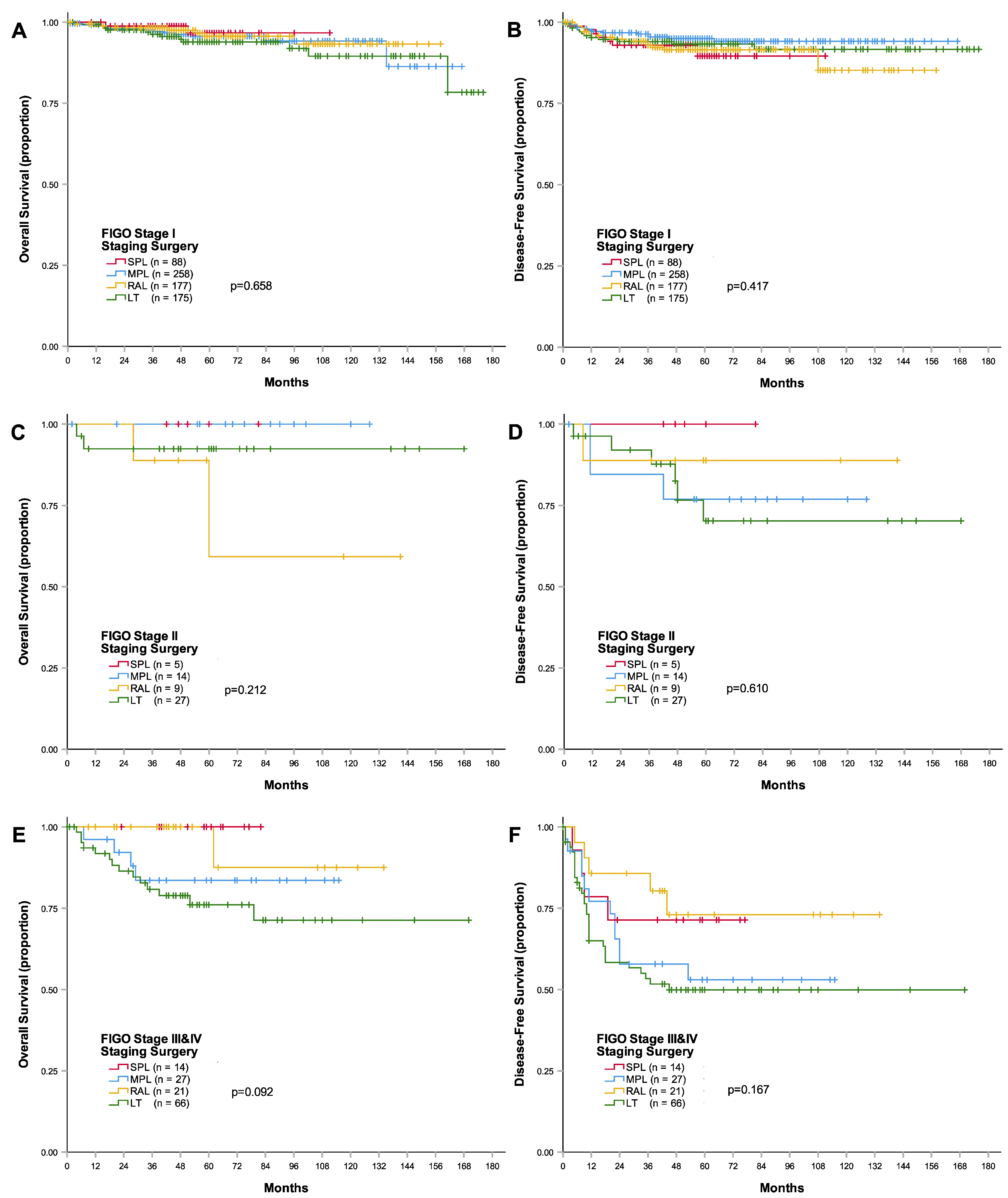
| 3-year disease-free survival, % * | ||||||
| FIGO stage I | 94.5 | 92.9 | 96.4 | 92.9 | 94.1 | 0.417 |
| FIGO stage II | 90.3 | 100 | 84.6 | 88.9 | 92.1 | 0.610 |
| FIGO stages III and IV | 61.6 | 71.4 | 57.9 | 85.7 | 53.4 | 0.167 |
| 3-year overall survival, % * | ||||||
| FIGO stage I | 97.6 | 98.8 | 97.6 | 98.3 | 96.3 | 0.658 |
| FIGO stage II | 94.3 | 100 | 100 | 88.9 | 92.4 | 0.212 |
| FIGO stages III and IV | 86.8 | 100 | 83.6 | 100 | 80.9 | 0.092 |
| Recurrence, n (%) | 110 (12.5) | 11 (10.3) | 28 (9.4) | 22 (10.6) | 49 (18.3) | 0.007 |
| Recurrence site, n (%) ** | ||||||
| Vaginal vault | 16 (1.8) | 1 (0.9) | 5 (1.7) | 3 (1.4) | 7 (2.6) | 0.757 |
| Pelvis | 19 (2.2) | 1 (0.9) | 8 (2.7) | 5 (2.4) | 5 (1.9) | 0.785 |
| Abdomen | 21 (2.4) | 3 (2.8) | 3 (1.0) | 3 (1.4) | 12 (4.5) | 0.040 |
| Peritoneum | 13 (1.5) | 1 (0.9) | 4 (1.3) | 1 (0.5) | 7 (2.6) | 0.301 |
| Distant organ | 39 (4.4) | 4 (3.7) | 12 (4.0) | 9 (4.3) | 14 (5.2) | 0.886 |
| PLN | 19 (2.2) | 1 (0.9) | 4 (1.3) | 5 (2.4) | 9 (3.4) | 0.361 |
| PALN | 15 (1.7) | 3 (2.8) | 5 (1.7) | 1 (0.5) | 6 (2.2) | 0.311 |
| Supradiaphragmatic LN | 9 (1.0) | 0 | 4 (1.3) | 0 | 5 (1.9) | 0.157 |
| Inguinal LN | 2 (0.2) | 0 | 0 | 1 (0.5) | 1 (0.4) | 0.634 |
| Parameters | SPL (n = 107) | MPL (n = 107) | RAL (n = 107) | LT (n = 107) | p-Value |
|---|---|---|---|---|---|
| Duration of follow-up, mean ± SD, months | 51.5 ± 18.2 | 64.1 ± 33.9 | 68.4 ± 36.9 | 66.3 ± 40.6 | 0.004 |
| Disease-free survival, % * | 0.533 | ||||
| 3-year | 90.4 | 90.1 | 91.4 | 84.4 | |
| 5-year | 87.9 | 87.9 | 90.2 | 83.2 | |
| Overall survival, % * | 0.328 | ||||
| 3-year | 99.0 | 95.2 | 98.0 | 95.1 | |
| 5-year | 97.4 | 93.9 | 98.0 | 95.1 | |
| Recurrence, n (%) | 11 (10.3) | 13 (12.1) | 11 (10.3) | 17 (15.9) | 0.552 |
| Recurrence site, n (%) ** | |||||
| Vaginal vault | 1 (0.9) | 3 (2.8) | 2 (1.9) | 0 | 0.525 |
| Pelvis | 1 (0.9) | 2 (1.9) | 1 (0.9) | 0 | 0.905 |
| Abdomen | 3 (2.8) | 1 (0.9) | 1 (0.9) | 4 (3.7) | 0.472 |
| Peritoneum | 1 (0.9) | 0 | 0 | 3 (2.8) | 0.200 |
| Distant organ | 4 (3.7) | 5 (4.7) | 5 (4.7) | 8 (7.5) | 0.728 |
| PLN | 1 (0.9) | 1 (0.9) | 4 (3.7) | 4 (3.7) | 0.335 |
| PALN | 3 (2.8) | 3 (2.8) | 1 (0.9) | 3 (2.8) | 0.778 |
| Supradiaphragmatic LN | 0 | 1 (0.9) | 0 | 1 (0.9) | 1.000 |
| Inguinal LN | 0 | 0 | 1 (0.9) | 1 (0.9) | 1.000 |
Disclaimer/Publisher’s Note: The statements, opinions and data contained in all publications are solely those of the individual author(s) and contributor(s) and not of MDPI and/or the editor(s). MDPI and/or the editor(s) disclaim responsibility for any injury to people or property resulting from any ideas, methods, instructions or products referred to in the content. |
© 2023 by the authors. Licensee MDPI, Basel, Switzerland. This article is an open access article distributed under the terms and conditions of the Creative Commons Attribution (CC BY) license (https://creativecommons.org/licenses/by/4.0/).
Share and Cite
Cho, S.H.; Lee, J.-Y.; Nam, E.J.; Kim, S.; Kim, Y.T.; Kim, S.W. Comparison of Single-Port Laparoscopy with Other Surgical Approaches in Endometrial Cancer Surgical Staging: Propensity-Score-Matched Analysis. Cancers 2023, 15, 5322. https://doi.org/10.3390/cancers15225322
Cho SH, Lee J-Y, Nam EJ, Kim S, Kim YT, Kim SW. Comparison of Single-Port Laparoscopy with Other Surgical Approaches in Endometrial Cancer Surgical Staging: Propensity-Score-Matched Analysis. Cancers. 2023; 15(22):5322. https://doi.org/10.3390/cancers15225322
Chicago/Turabian StyleCho, Sang Hyun, Jung-Yun Lee, Eun Ji Nam, Sunghoon Kim, Young Tae Kim, and Sang Wun Kim. 2023. "Comparison of Single-Port Laparoscopy with Other Surgical Approaches in Endometrial Cancer Surgical Staging: Propensity-Score-Matched Analysis" Cancers 15, no. 22: 5322. https://doi.org/10.3390/cancers15225322
APA StyleCho, S. H., Lee, J.-Y., Nam, E. J., Kim, S., Kim, Y. T., & Kim, S. W. (2023). Comparison of Single-Port Laparoscopy with Other Surgical Approaches in Endometrial Cancer Surgical Staging: Propensity-Score-Matched Analysis. Cancers, 15(22), 5322. https://doi.org/10.3390/cancers15225322

