Fractionation versus Adaptation for Compensation of Target Volume Changes during Online Adaptive Radiotherapy for Bladder Cancer: Answers from a Prospective Registry
Abstract
:Simple Summary
Abstract
1. Introduction
2. Materials and Methods
2.1. Patients
2.2. Radiotherapy—Planning and Treatment
2.3. Follow-Up
2.4. Bladder, Rectum and CTV Delineation in CBCT2
2.5. Equivalent Uniform Dose
2.6. Deformable Image Registration-Based Dose Accumulation
2.7. Worst-Case Dose Accumulation
2.8. PTV Margin Calculation
2.9. Statistics
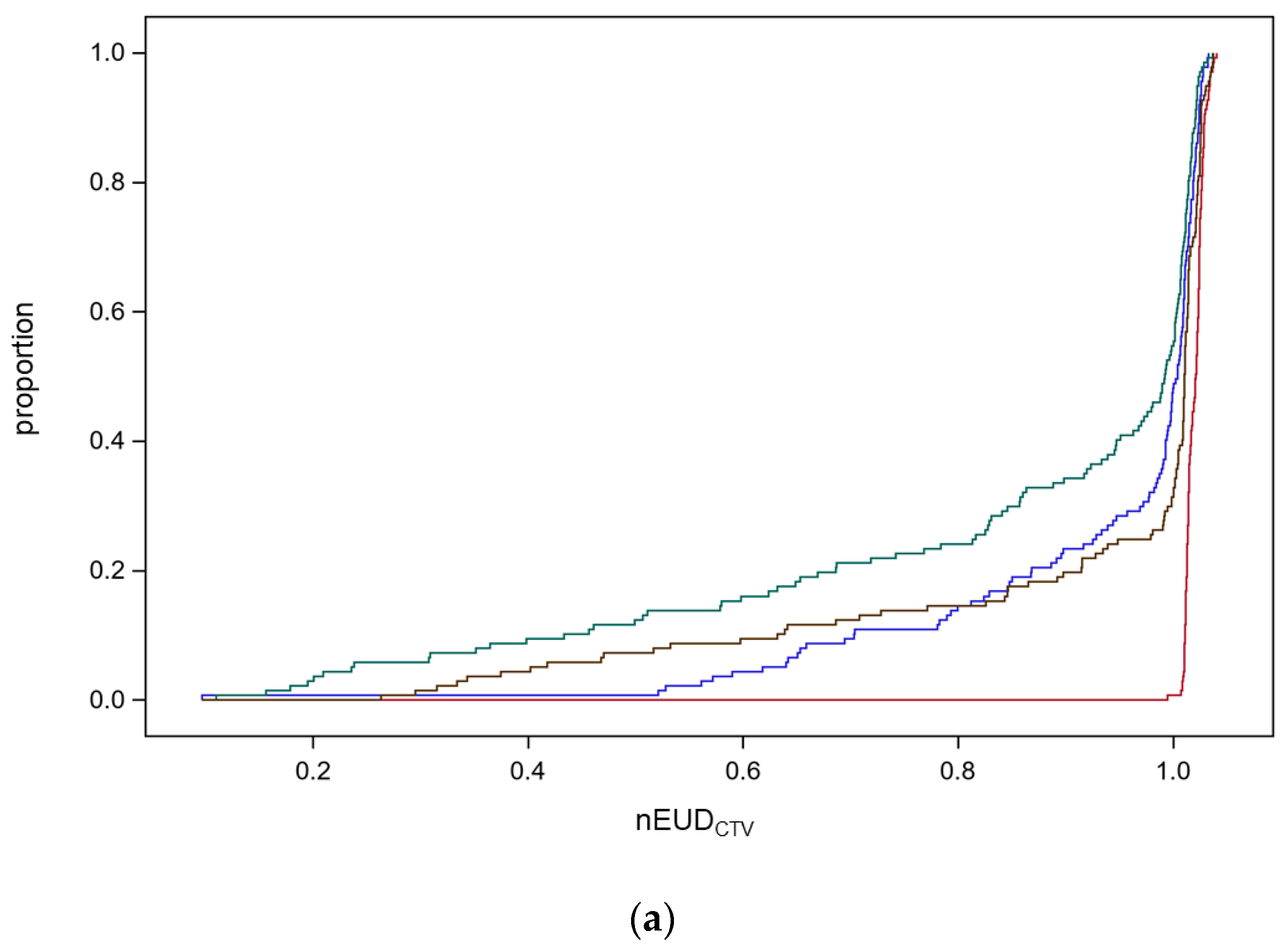
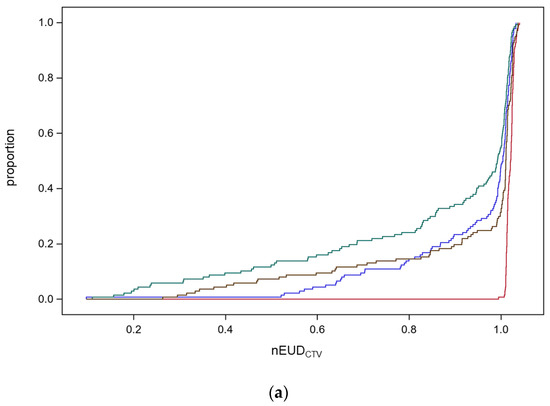
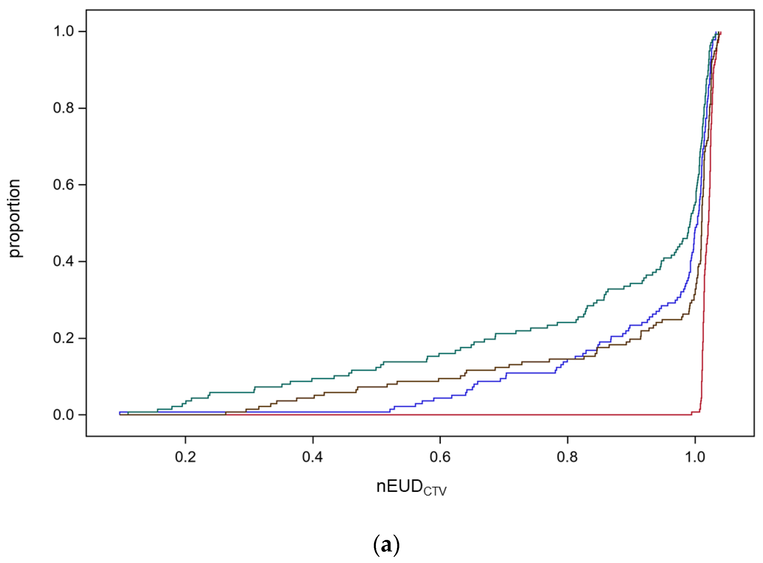
3. Results
4. Discussion
5. Conclusions
Author Contributions
Funding
Institutional Review Board Statement
Informed Consent Statement
Data Availability Statement
Acknowledgments
Conflicts of Interest
Abbreviations
References
- Khalifa, J.; Supiot, S.; Pignot, G.; Hennequin, C.; Blanchard, P.; Pasquier, D.; Magné, N.; de Crevoisier, R.; Graff-Cailleaud, P.; Riou, O.; et al. Recommendations for planning and delivery of radical radiotherapy for localized urothelial carcinoma of the bladder. Radiother. Oncol. 2021, 161, 95–114. [Google Scholar] [CrossRef]
- Sung, H.; Ferlay, J.; Siegel, R.L.; Laversanne, M.; Soerjomataram, I.; Jemal, A.; Bray, F. Global Cancer Statistics 2020: GLOBOCAN Estimates of Incidence and Mortality Worldwide for 36 Cancers in 185 Countries. CA Cancer J. Clin. 2021, 71, 209–249. [Google Scholar] [CrossRef] [PubMed]
- Burger, M.; Catto, J.W.; Dalbagni, G.; Grossman, H.B.; Herr, H.; Karakiewicz, P.; Kassouf, W.; Kiemeney, L.A.; La Vecchia, C.; Shariat, S.; et al. Epidemiology and risk factors of urothelial bladder cancer. Eur. Urol. 2013, 63, 234–241. [Google Scholar] [CrossRef]
- John, J.B.; Varughese, M.A.; Cooper, N.; Wong, K.; Hounsome, L.; Treece, S.; McGrath, J.S.; Harden, S. Treatment Allocation and Survival in Patients Diagnosed with Nonmetastatic Muscle-invasive Bladder Cancer: An Analysis of a National Patient Cohort in England. Eur. Urol. Focus 2021, 7, 359–365. [Google Scholar] [CrossRef] [PubMed]
- Powles, T.; Bellmunt, J.; Comperat, E.; De Santis, M.; Huddart, R.; Loriot, Y.; Necchi, A.; Valderrama, B.P.; Ravaud, A.; Shariat, S.F.; et al. Bladder cancer: ESMO Clinical Practice Guideline for diagnosis, treatment and follow-up. Ann. Oncol. 2022, 33, 244–258. [Google Scholar] [CrossRef] [PubMed]
- Softness, K.; Kaul, S.; Fleishman, A.; Efstathiou, J.; Bellmunt, J.; Kim, S.P.; Korets, R.; Chang, P.; Wagner, A.; Olumi, A.F.; et al. Radical cystectomy versus trimodality therapy for muscle-invasive urothelial carcinoma of the bladder. Urol. Oncol. 2022, 40, 272.e1–272.e9. [Google Scholar] [CrossRef] [PubMed]
- German Cancer Society. Annual Report 2023 of the Certified Bladder Cancer Centers, Berlin, ISBN: 978-3-910336-24-7. Available online: www.onkozert.de/wordpress/wp-content/uploads/2023/08/qualitaetsindikatoren_harnblase_2023-A2_230717.pdf?v=65920139 (accessed on 29 September 2023).
- Schaake, W.; van der Schaaf, A.; van Dijk, L.V.; van den Bergh, A.C.M.; Langendijk, J.A. Development of a prediction model for late urinary incontinence, hematuria, pain and voiding frequency among irradiated prostate cancer patients. PLoS ONE 2018, 13, e0197757. [Google Scholar] [CrossRef] [PubMed]
- Archambault, Y.; Boylan, C.; Bullock, D.; Morgas, T.; Peltola, J.; Ruokokoski, E.; Genghi, A.; Haas, B.; Suhonen, P.; Thompson, S. Making on-line adaptive radiotherapy possible using artificial intelligence and machine learning for efficient daily re-planning. Med. Phys. Int. 2020, 2, 77–86. [Google Scholar]
- Åström, L.M.; Behrens, C.P.; Calmels, L.; Sjöström, D.; Geertsen, P.; Mouritsen, L.S.; Serup-Hansen, E.; Lindberg, H.; Sibolt, P. Online adaptive radiotherapy of urinary bladder cancer with full re-optimization to the anatomy of the day: Initial experience and dosimetric benefits. Radiother. Oncol. 2022, 171, 37–42. [Google Scholar] [CrossRef]
- Mitchell, A.; Ingle, M.; Smith, G.; Chick, J.; Diamantopoulos, S.; Goodwin, E.; Herbert, T.; Huddart, R.; McNair, H.; Oelfke, U.; et al. Feasibility of tumour-focused adaptive radiotherapy for bladder cancer on the MR-linac. Clin. Transl. Radiat. Oncol. 2022, 35, 27–32. [Google Scholar] [CrossRef]
- Hafeez, S.; Webster, A.; Hansen, V.N.; McNair, H.A.; Warren-Oseni, K.; Patel, E.; Choudhury, A.; Creswell, J.; Foroudi, F.; Henry, A.; et al. Protocol for tumour-focused dose-escalated adaptive radiotherapy for the radical treatment of bladder cancer in a multicentre phase II randomised controlled trial (RAIDER): Radiotherapy planning and delivery guidance. BMJ Open 2020, 10, e041005. [Google Scholar] [CrossRef] [PubMed]
- Li, X.; Wang, L.; Cui, Z.; Li, Y.; Liu, P.; Wang, Y.; Zhu, J.; Zhu, J.; Yin, Y.; Li, Z. Online MR evaluation of inter- and intra-fraction uterus motions and bladder volume changes during cervical cancer external beam radiotherapy. Radiat. Oncol. 2021, 16, 179. [Google Scholar] [CrossRef]
- Willigenburg, T.; van der Velden, J.M.; Zachiu, C.; Teunissen, F.R.; Lagendijk, J.J.W.; Raaymakers, B.W.; de Boer, J.C.J.; van der Voort van Zyp, J.R.N. Accumulated bladder wall dose is correlated with patient-reported acute urinary toxicity in prostate cancer patients treated with stereotactic, daily adaptive MR-guided radiotherapy. Radiother. Oncol. 2022, 171, 182–188. [Google Scholar] [CrossRef] [PubMed]
- Guberina, M.; Santiago Garcia, A.; Khouya, A.; Pöttgen, C.; Holubyev, K.; Ringbaek, T.P.; Lachmuth, M.; Alberti, Y.; Hoffmann, C.; Hlouschek, J.; et al. Comparison of Online-Onboard Adaptive Intensity-Modulated Radiation Therapy or Volumetric-Modulated Arc Radiotherapy with Image-Guided Radiotherapy for Patients with Gynecologic Tumors in Dependence on Fractionation and the Planning Target Volume Margin. JAMA Netw. Open 2023, 6, e234066. [Google Scholar] [CrossRef]
- Glide-Hurst, C.K.; Lee, P.; Yock, A.D.; Olsen, J.R.; Cao, M.; Siddiqui, F.; Parker, W.; Doemer, A.; Rong, Y.; Kishan, A.U.; et al. Adaptive Radiation Therapy (ART) Strategies and Technical Considerations: A State of the ART Review From NRG Oncology. Int. J. Radiat. Oncol. Biol. Phys. 2021, 109, 1054–1075. [Google Scholar] [CrossRef] [PubMed]
- Deasy, J.O.; Niemierko, A.; Herbert, D.; Yan, D.; Jackson, A.; Ten Haken, R.K.; Langer, M.; Sapareto, S. AAPM/NIH Methodological issues in radiation dose-volume outcome analyses: Summary of a joint AAPM/NIH workshop. Med. Phys. 2002, 29, 2109–2127. [Google Scholar] [CrossRef] [PubMed]
- Chapet, O.; Thomas, E.; Kessler, M.L.; Fraass, B.A.; Ten Haken, R.K. Esophagus sparing with IMRT in lung tumor irradiation: An EUD-based optimization technique. Int. J. Radiat. Oncol. Biol. Phys. 2005, 63, 179–187. [Google Scholar] [CrossRef]
- Guberina, N.; Pöttgen, C.; Santiago, A.; Levegrün, S.; Qamhiyeh, S.; Ringbaek, T.P.; Guberina, M.; Lübcke, W.; Indenkämpen, F.; Stuschke, M. Machine-learning-based prediction of the effectiveness of the delivered dose by exhale-gated radiotherapy for locally advanced lung cancer: The additional value of geometric over dosimetric parameters alone. Front. Oncol. 2023, 12, 870432. [Google Scholar] [CrossRef]
- Pos, F.J.; Hart, G.; Schneider, C.; Sminia, P. Radical radiotherapy for invasive bladder cancer: What dose and fractionation schedule to choose? Int. J. Radiat. Oncol. Biol. Phys. 2006, 64, 1168–1173. [Google Scholar] [CrossRef]
- Kainz, K.; Garcia Alvarez, J.; Zhong, H.; Lim, S.; Ahunbay, E.; Tai, A.; Erickson, B.; Lawton, C.; Li, X.A. Use of a DVH overlay technique for quality assurance of deformable image registration-based dose accumulation. Med. Phys. 2022, 49, 611–623. [Google Scholar] [CrossRef]
- Zhong, H.; Garcia-Alvarez, J.A.; Kainz, K.; Tai, A.; Ahunbay, E.; Erickson, B.; Schultz, C.J.; Li, X.A. Development of a multi-layer quality assurance program to evaluate the uncertainty of deformable dose accumulation in adaptive radiotherapy. Med. Phys. 2023, 50, 1766–1778. [Google Scholar] [CrossRef]
- Li, H.S.; Zhong, H.; Kim, J.; Glide-Hurst, C.; Gulam, M.; Nurushev, T.S.; Chetty, I.J. Direct dose mapping versus energy/mass transfer mapping for 4D dose accumulation: Fundamental differences and dosimetric consequences. Phys. Med. Biol. 2014, 59, 173–188. [Google Scholar] [CrossRef] [PubMed]
- Giacalone, N.J.; Shipley, W.U.; Clayman, R.H.; Niemierko, A.; Drumm, M.; Heney, N.M.; Michaelson, M.D.; Lee, R.J.; Saylor, P.J.; Wszolek, M.F.; et al. Long-term Outcomes After Bladder-preserving Tri-modality Therapy for Patients with Muscle-invasive Bladder Cancer: An Updated Analysis of the Massachusetts General Hospital Experience. Eur Urol. 2017, 71, 952–960. [Google Scholar] [CrossRef]
- Coen, J.J.; Zhang, P.; Saylor, P.J.; Lee, C.T.; Wu, C.L.; Parker, W.; Lautenschlaeger, T.; Zietman, A.L.; Efstathiou, J.A.; Jani, A.B.; et al. Bladder Preservation with Twice-a-Day Radiation Plus Fluorouracil/Cisplatin or Once Daily Radiation Plus Gemcitabine for Muscle-Invasive Bladder Cancer: NRG/RTOG 0712-A Randomized Phase II Trial. J. Clin. Oncol. 2019, 37, 44–51. [Google Scholar] [CrossRef] [PubMed]
- Pos, F.; Bex, A.; Dees-Ribbers, H.M.; Betgen, A.; van Herk, M.; Remeijer, P. Lipiodol injection for target volume delineation and image guidance during radiotherapy for bladder cancer. Radiother. Oncol. 2009, 93, 364–367. [Google Scholar] [CrossRef] [PubMed]
- Ahmed, A.A.; Egleston, B.; Alcantara, P.; Li, L.; Pollack, A.; Horwitz, E.M.; Buyyounouski, M.K. A novel method for predicting late genitourinary toxicity after prostate radiation therapy and the need for age-based risk-adapted dose constraints. Int. J. Radiat. Oncol. Biol. Phys. 2013, 86, 709–715. [Google Scholar] [CrossRef]
- Liu, H.; Schaal, D.; Curry, H.; Clark, R.; Magliari, A.; Kupelian, P.; Khuntia, D.; Beriwal, S. Review of cone beam computed tomography based online adaptive radiotherapy: Current trend and future direction. Radiat. Oncol. 2023, 18, 144. [Google Scholar] [CrossRef]
- Piper, J. Evaluation of an intensity-based free-form deformable registration algorithm. Med. Phys. 2007, 34, 2353–2354. [Google Scholar] [CrossRef]
- Miles, E.F.; Nelson, J.W.; Alkaissi, A.K.; Das, S.; Clough, R.W.; Anscher, M.S.; Oleson, J.R. Equivalent uniform dose, D(90), and V(100) correlation with biochemical control after low-dose-rate prostate brachytherapy for clinically low-risk prostate cancer. Brachytherapy 2008, 7, 206–211. [Google Scholar] [CrossRef]
- McCammon, R.; Schefter, T.E.; Gaspar, L.E.; Zaemisch, R.; Gravdahl, D.; Kavanagh, B. Observation of a dose-control relationship for lung and liver tumors after stereotactic body radiation therapy. Int. J. Radiat. Oncol. Biol. Phys. 2009, 73, 112–118. [Google Scholar] [CrossRef]
- Appelt, A.L.; Bentzen, S.M.; Jakobsen, A.; Vogelius, I.R. Dose-response of acute urinary toxicity of long-course preoperative chemoradiotherapy for rectal cancer. Acta Oncol. 2015, 54, 179–186. [Google Scholar] [CrossRef] [PubMed]
- Ghilezan, M.; Yan, D.; Liang, J.; Jaffray, D.; Wong, J.; Martinez, A. Online image-guided intensity-modulated radiotherapy for prostate cancer: How much improvement can we expect? A theoretical assessment of clinical benefits and potential dose escalation by improving precision and accuracy of radiation delivery. Int. J. Radiat. Oncol. Biol. Phys. 2004, 60, 1602–1610. [Google Scholar] [CrossRef] [PubMed]
- Yahya, N.; Ebert, M.A.; Bulsara, M.; House, M.J.; Kennedy, A.; Joseph, D.J.; Denham, J.W. Urinary symptoms following external beam radiotherapy of the prostate: Dose-symptom correlates with multiple-event and event-count models. Radiother. Oncol. 2015, 117, 277–282. [Google Scholar] [CrossRef] [PubMed]
- Rüschendorf, L. Solution of a statistical optimization problem by rearrangements methods. Metrika 1983, 30, 44–61. [Google Scholar] [CrossRef]
- Van Herk, M.; Remeijer, P.; Rasch, C.; Lebesque, J.V. The probability of correct target dosage: Dose-population histograms for deriving treatment margins in radiotherapy. Int. J. Radiat. Oncol. Biol. Phys. 2000, 47, 1121–1135. [Google Scholar] [CrossRef]
- Meijer, G.J.; Rasch, C.; Remeijer, P.; Lebesque, J.V. Three-dimensional analysis of delineation errors, setup errors, and organ motion during radiotherapy of bladder cancer. Int. J. Radiat. Oncol. Biol. Phys. 2003, 55, 1277–1287. [Google Scholar] [CrossRef]
- Foroudi, F.; Wong, J.; Kron, T.; Rolfo, A.; Haworth, A.; Roxby, P.; Thomas, J.; Herschtal, A.; Pham, D.; Williams, S.; et al. Online adaptive radiotherapy for muscle-invasive bladder cancer: Results of a pilot study. Int. J. Radiat. Oncol. Biol. Phys. 2011, 81, 765–771. [Google Scholar] [CrossRef]
- Muren, L.P.; Smaaland, R.; Dahl, O. Organ motion, set-up variation and treatment margins in radical radiotherapy of urinary bladder cancer. Radiother. Oncol. 2003, 69, 291–304. [Google Scholar] [CrossRef]
- Sidak, Z. Rectangular confidence regions for the means of multivariate normal distributions. J. Am. Statist. Assoc. 1967, 62, 626–633. [Google Scholar] [CrossRef]
- Schuettfort, V.M.; Pradere, B.; Quhal, F.; Mostafaei, H.; Laukhtina, E.; Mori, K.; Sari Motlagh, R.; Fisch, M.; D‘Andrea, D.; Rink, M.; et al. Incidence and outcome of salvage cystectomy after bladder sparing therapy for muscle invasive bladder cancer: A systematic review and meta-analysis. World J. Urol. 2021, 39, 1757–1768. [Google Scholar] [CrossRef]
- Hall, E.; Hussain, S.A.; Porta, N.; Lewis, R.; Crundwell, M.; Jenkins, P.; Rawlings, C.; Tremlett, J.; Sreenivasan, T.; Wallace, J.; et al. Chemoradiotherapy in Muscle-invasive Bladder Cancer: 10-yr Follow-up of the Phase 3 Randomised Controlled BC2001 Trial. Eur. Urol. 2022, 82, 273–279. [Google Scholar] [CrossRef] [PubMed]
- Huddart, R.A.; Hall, E.; Hussain, S.A.; Jenkins, P.; Rawlings, C.; Tremlett, J.; Crundwell, M.; Adab, F.A.; Sheehan, D.; Syndikus, I.; et al. Randomized noninferiority trial of reduced high-dose volume versus standard volume radiation therapy for muscle-invasive bladder cancer: Results of the BC2001 trial (CRUK/01/004). Int. J. Radiat. Oncol. Biol. Phys. 2013, 87, 261–269. [Google Scholar] [CrossRef]
- Kong, V.C.; Taylor, A.; Chung, P.; Craig, T.; Rosewall, T. Comparison of 3 image-guided adaptive strategies for bladder locoregional radiotherapy. Med. Dosim. 2019, 44, 111–116. [Google Scholar] [CrossRef] [PubMed]
- Pos, F.J.; Koedooder, K.; Hulshof, M.C.; van Tienhoven, G.; González González, D. Influence of bladder and rectal volume on spatial variability of a bladder tumor during radical radiotherapy. Int. J. Radiat. Oncol. Biol. Phys. 2003, 55, 835–841. [Google Scholar] [CrossRef] [PubMed]
- Biancia, C.D.; Yorke, E.; M Kollmeier, A. Image guided radiation therapy for bladder cancer: Assessment of bladder motion using implanted fiducial markers. Pract. Radiat. Oncol. 2014, 4, 108–115. [Google Scholar] [CrossRef]
- Nishioka, K.; Shimizu, S.; Shinohara, N.; Ito, Y.M.; Abe, T.; Maruyama, S.; Katoh, N.; Kinoshita, R.; Hashimoto, T.; Miyamoto, N.; et al. Analysis of inter- and intra fractional partial bladder wall movement using implanted fiducial markers. Radiat. Oncol. 2017, 12, 44. [Google Scholar] [CrossRef]
- Grønborg, C.; Vestergaard, A.; Høyer, M.; Söhn, M.; Pedersen, E.M.; Petersen, J.B.; Agerbæk, M.; Muren, L.P. Intra-fractional bladder motion and margins in adaptive radiotherapy for urinary bladder cancer. Acta Oncol. 2015, 54, 1461–1466. [Google Scholar] [CrossRef]
- Embrechts, P.; Puccetti, G.; Rüschendorf, L.; Wang, R.; Beleraj, A. An Academic Response to Basel 3.5. Risks 2014, 2, 25–48. [Google Scholar] [CrossRef]
- Hofert, M. Implementing the Rearrangement Algorithm: An Example from Computational Risk Management. Risks 2020, 8, 47. [Google Scholar] [CrossRef]
- Takayama, Y.; Kadoya, N.; Yamamoto, T.; Ito, K.; Chiba, M.; Fujiwara, K.; Miyasaka, Y.; Dobashi, S.; Sato, K.; Takeda, K.; et al. Evaluation of the performance of deformable image registration between planning CT and CBCT images for the pelvic region: Comparison between hybrid and intensity-based DIR. J. Radiat. Res. 2017, 58, 567–571. [Google Scholar] [CrossRef]
- Wognum, S.; Bondar, L.; Zolnay, A.G.; Chai, X.; Hulshof, M.C.; Hoogeman, M.S.; Bel, A. Control over structure-specific flexibility improves anatomical accuracy for point-based deformable registration in bladder cancer radiotherapy. Med. Phys. 2013, 40, 021702. [Google Scholar] [CrossRef]
- Moazzezi, M.; Rose, B.; Kisling, K.; Moore, K.L.; Ray, X. Prospects for daily online adaptive radiotherapy via ethos for prostate cancer patients without nodal involvement using unedited CBCT auto-segmentation. J. Appl. Clin. Med. Phys. 2021, 22, 82–93. [Google Scholar] [CrossRef] [PubMed]
- Xiao, C.; Jin, J.; Yi, J.; Han, C.; Zhou, Y.; Ai, Y.; Xie, C.; Jin, X. RefineNet-based 2D and 3D automatic segmentations for clinical target volume and organs at risks for patients with cervical cancer in postoperative radiotherapy. J. Appl. Clin. Med. Phys. 2022, 23, e13631. [Google Scholar] [CrossRef]
- Thor, M.; Bentzen, L.; Elstrøm, U.V.; Petersen, J.B.; Muren, L.P. Dose/volume-based evaluation of the accuracy of deformable image registration for the rectum and bladder. Acta Oncol. 2013, 52, 1411–1416. [Google Scholar] [CrossRef] [PubMed]
- Lim, S.N.; Ahunbay, E.E.; Nasief, H.; Zheng, C.; Lawton, C.; Li, X.A. Indications of Online Adaptive Replanning Based on Organ Deformation. Pract. Radiat. Oncol. 2020, 10, e95–e102. [Google Scholar] [CrossRef] [PubMed]
- Smolders, A.; Lomax, A.; Weber, D.C.; Albertini, F. Patient-specific neural networks for contour propagation in online adaptive radiotherapy. Phys. Med. Biol. 2023, 68, 9. [Google Scholar] [CrossRef] [PubMed]
- Yang, W.C.; Hsu, F.M.; Yang, P.C. Precision radiotherapy for non-small cell lung cancer. J. Biomed. Sci. 2020, 27, 82. [Google Scholar] [CrossRef]
- Calace, F.P.; Napolitano, L.; Arcaniolo, D.; Stizzo, M.; Barone, B.; Crocetto, F.; Olivetta, M.; Amicuzi, U.; Cirillo, L.; Rubinacci, A.; et al. Micro-Ultrasound in the Diagnosis and Staging of Prostate and Bladder Cancer: A Comprehensive Review. Medicina 2022, 58, 1624. [Google Scholar] [CrossRef]
- Aveta, A.; Cilio, S.; Contieri, R.; Spena, G.; Napolitano, L.; Manfredi, C.; Franco, A.; Crocerossa, F.; Cerrato, C.; Ferro, M.; et al. Urinary MicroRNAs as Biomarkers of Urological Cancers: A Systematic Review. Int. J. Mol. Sci. 2023, 24, 10846. [Google Scholar] [CrossRef]
- Suit, H.; Skates, S.; Taghian; Okunieff, P.A.; Efird, J.T. Clinical implications of heterogeneity of tumor response to radiation therapy. Radiother. Oncol. 1992, 25, 251–260. [Google Scholar] [CrossRef]
- Tomé, W.A.; Fowler, J.F. On cold spots in tumor subvolumes. Med. Phys. 2002, 29, 1590–1598. [Google Scholar] [CrossRef] [PubMed]
- McBain, C.A.; Khoo, V.S.; Buckley, D.L.; Sykes, J.S.; Green, M.M.; Cowan, R.A.; Hutchinson, C.E.; Moore, C.J.; Price, P.M. Assessment of bladder motion for clinical radiotherapy practice using cine-magnetic resonance imaging. Int. J. Radiat. Oncol. Biol. Phys. 2009, 75, 664–671. [Google Scholar] [CrossRef] [PubMed]










Disclaimer/Publisher’s Note: The statements, opinions and data contained in all publications are solely those of the individual author(s) and contributor(s) and not of MDPI and/or the editor(s). MDPI and/or the editor(s) disclaim responsibility for any injury to people or property resulting from any ideas, methods, instructions or products referred to in the content. |
© 2023 by the authors. Licensee MDPI, Basel, Switzerland. This article is an open access article distributed under the terms and conditions of the Creative Commons Attribution (CC BY) license (https://creativecommons.org/licenses/by/4.0/).
Share and Cite
Pöttgen, C.; Hoffmann, C.; Gauler, T.; Guberina, M.; Guberina, N.; Ringbaek, T.; Santiago Garcia, A.; Krafft, U.; Hadaschik, B.; Khouya, A.; et al. Fractionation versus Adaptation for Compensation of Target Volume Changes during Online Adaptive Radiotherapy for Bladder Cancer: Answers from a Prospective Registry. Cancers 2023, 15, 4933. https://doi.org/10.3390/cancers15204933
Pöttgen C, Hoffmann C, Gauler T, Guberina M, Guberina N, Ringbaek T, Santiago Garcia A, Krafft U, Hadaschik B, Khouya A, et al. Fractionation versus Adaptation for Compensation of Target Volume Changes during Online Adaptive Radiotherapy for Bladder Cancer: Answers from a Prospective Registry. Cancers. 2023; 15(20):4933. https://doi.org/10.3390/cancers15204933
Chicago/Turabian StylePöttgen, Christoph, Christian Hoffmann, Thomas Gauler, Maja Guberina, Nika Guberina, Toke Ringbaek, Alina Santiago Garcia, Ulrich Krafft, Boris Hadaschik, Aymane Khouya, and et al. 2023. "Fractionation versus Adaptation for Compensation of Target Volume Changes during Online Adaptive Radiotherapy for Bladder Cancer: Answers from a Prospective Registry" Cancers 15, no. 20: 4933. https://doi.org/10.3390/cancers15204933
APA StylePöttgen, C., Hoffmann, C., Gauler, T., Guberina, M., Guberina, N., Ringbaek, T., Santiago Garcia, A., Krafft, U., Hadaschik, B., Khouya, A., & Stuschke, M. (2023). Fractionation versus Adaptation for Compensation of Target Volume Changes during Online Adaptive Radiotherapy for Bladder Cancer: Answers from a Prospective Registry. Cancers, 15(20), 4933. https://doi.org/10.3390/cancers15204933

