The Association between Lymph Node Dissection and Survival in Lymph Node-Negative Upper Urinary Tract Urothelial Cancer
Simple Summary
Abstract
1. Introduction
2. Materials and Methods
2.1. Ethics
2.2. Statistical Analysis
3. Results
3.1. Cohort Characteristics
3.2. Factors Associated with LND Performance
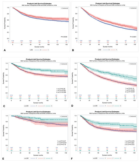
3.3. Association between LND and Survival
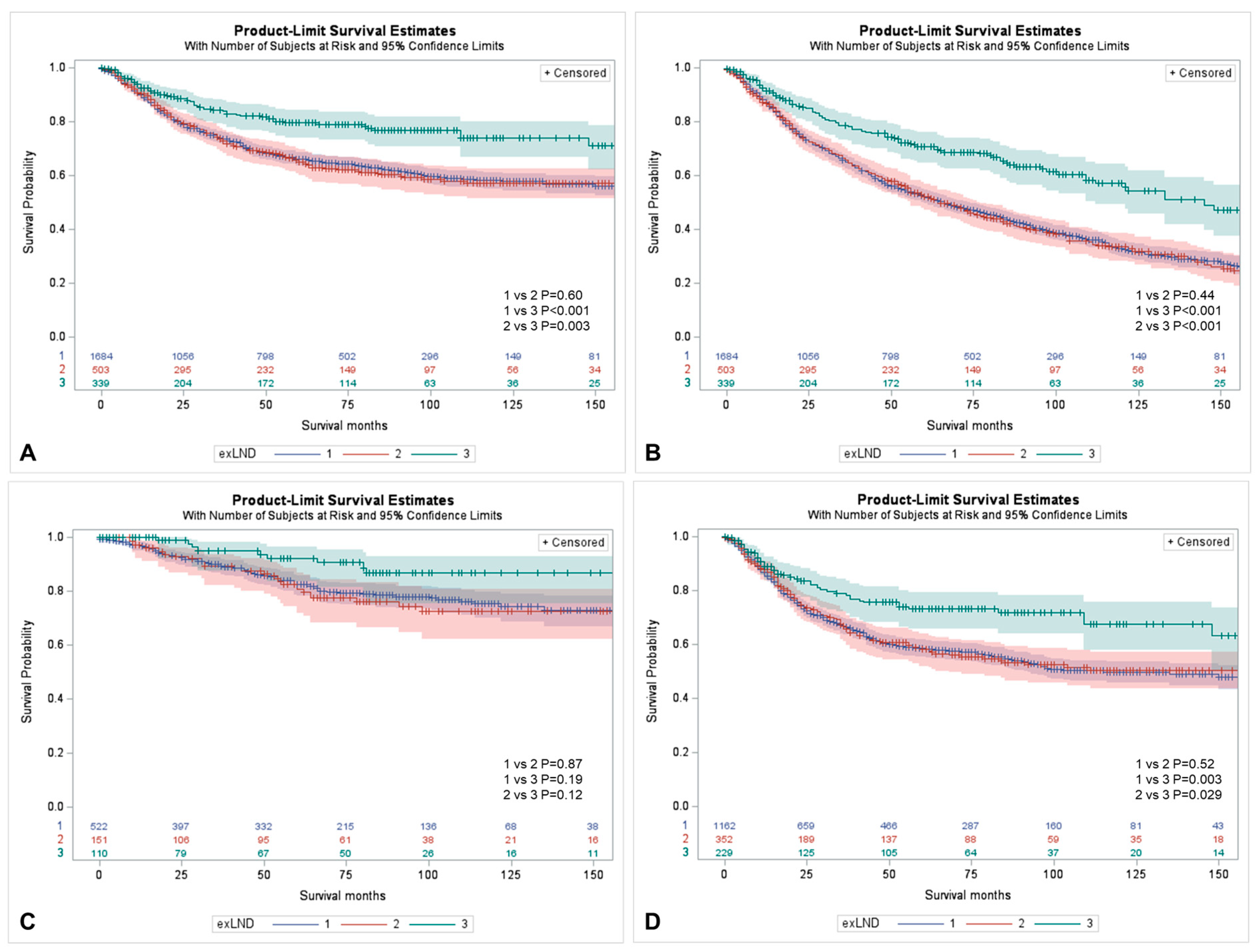
3.4. Association between the Extent of LND and Survival
3.5. Predictors of CSS in N0 UTUC
4. Discussion
5. Conclusions
Author Contributions
Funding
Institutional Review Board Statement
Informed Consent Statement
Data Availability Statement
Conflicts of Interest
References
- Rouprêt, M.; Babjuk, M.; Burger, M.; Capoun, O.; Cohen, D.; Compérat, E.M.; Cowan, N.C.; Dominguez-Escrig, J.L.; Gontero, P.; Mostafid, A.H.; et al. European Association of Urology Guidelines on Upper Urinary Tract Urothelial Carcinoma: 2020 Update. Eur. Urol. 2021, 79, 62–79. [Google Scholar] [CrossRef]
- Dominguez-Escrig, J.L.; Peyronnet, B.; Seisen, T.; Bruins, H.M.; Yuan, C.Y.; Babjuk, M.; Böhle, A.; Burger, M.; Compérat, E.M.; Gontero, P.; et al. Potential Benefit of Lymph Node Dissection during Radical Nephroureterectomy for Upper Tract Urothelial Carcinoma: A Systematic Review by the European Association of Urology Guidelines Panel on Non–muscle-invasive Bladder Cancer. Eur. Urol. Focus 2019, 5, 224–241. [Google Scholar] [CrossRef]
- Inokuchi, J.; Kuroiwa, K.; Kakehi, Y.; Sugimoto, M.; Tanigawa, T.; Fujimoto, H.; Gotoh, M.; Masumori, N.; Ogawa, O.; Eto, M.; et al. Role of lymph node dissection during radical nephroureterectomy for upper urinary tract urothelial cancer: Multi-institutional large retrospective study JCOG1110A. World J. Urol. 2017, 35, 1737–1744. [Google Scholar] [CrossRef] [PubMed]
- Moschini, M.; Foerster, B.; Abufaraj, M.; Soria, F.; Seisen, T.; Roupret, M.; Colin, P.; De la Taille, A.; Peyronnet, B.; Bensalah, K.; et al. Trends of lymphadenectomy in upper tract urothelial carcinoma (UTUC) patients treated with radical nephroureterectomy. World J. Urol. 2017, 35, 1541–1547. [Google Scholar] [CrossRef] [PubMed]
- Roscigno, M.; Shariat, S.F.; Margulis, V.; Karakiewicz, P.; Remzi, M.; Kikuchi, E.; Langner, C.; Lotan, Y.; Weizer, A.; Bensalah, K.; et al. Impact of lymph node dissection on cancer specific survival in patients with upper tract urothelial carcinoma treated with radical nephroureterectomy. J. Urol. 2009, 181, 2482–2489. [Google Scholar] [CrossRef] [PubMed]
- Dong, F.; Xu, T.; Wang, X.; Shen, Y.; Zhang, X.; Chen, S.; Zhong, S.; Zhang, M.; Ding, Q. Lymph node dissection could bring survival benefits to patients diagnosed with clinically node-negative upper urinary tract urothelial cancer: A population-based, propensity score-matched study. Int. J. Clin. Oncol. 2019, 24, 296–305. [Google Scholar] [CrossRef]
- Burger, M.; Shariat, S.F.; Fritsche, H.M.; Martinez-Salamanca, J.I.; Matsumoto, K.; Chromecki, T.F.; Ficarra, V.; Kassouf, W.; Seitz, C.; Pycha, A.; et al. No overt influence of lymphadenectomy on cancer-specific survival in organ-confined versus locally advanced upper urinary tract urothelial carcinoma undergoing radical nephroureterectomy: A retrospective international, multi-institutional study. World J. Urol. 2011, 29, 465–472. [Google Scholar] [CrossRef]
- Chappidi, M.R.; Kates, M.; Johnson, M.H.; Hahn, N.M.; Bivalacqua, T.J.; Pierorazio, P.M. Lymph node yield and tumor location in patients with upper tract urothelial carcinoma undergoing nephroureterectomy affects survival: A U.S. population–based analysis (2004–2012). Urol. Oncol. Semin. Orig. Investig. 2016, 34, 531.e15–531.e24. [Google Scholar] [CrossRef]
- Abouassaly, R.; Alibhai, S.M.H.; Shah, N.; Timilshina, N.; Fleshner, N.; Finelli, A. Troubling Outcomes From Population-level Analysis of Surgery for Upper Tract Urothelial Carcinoma. Urology 2010, 76, 895–901. [Google Scholar] [CrossRef]
- Soria, F.; Pradere, B.; Hurle, R.; D’Andrea, D.; Albisinni, S.; Diamand, R.; Laukhtina, E.; Di Trapani, E.; Aziz, A.; Krajewski, W.; et al. Radical Nephroureterectomy Tetrafecta: A Proposal Reporting Surgical Strategy Quality at Surgery. Eur. Urol. Open Sci. 2022, 42, 1–8. [Google Scholar] [CrossRef]
- Abe, T.; Shinohara, N.; Muranaka, M.; Sazawa, A.; Maruyama, S.; Osawa, T.; Harabayashi, T.; Kubota, K.; Matsuno, Y.; Shibata, T.; et al. Role of lymph node dissection in the treatment of urothelial carcinoma of the upper urinary tract: Multi-institutional relapse analysis and immunohistochemical re-evaluation of negative lymph nodes. Eur. J. Surg. Oncol. 2010, 36, 1085–1091. [Google Scholar] [CrossRef] [PubMed]
- Roscigno, M.; Shariat, S.F.; Margulis, V.; Karakiewicz, P.; Remzi, M.; Kikuchi, E.; Zigeuner, R.; Weizer, A.; Sagalowsky, A.; Bensalah, K.; et al. The Extent of Lymphadenectomy Seems to Be Associated with Better Survival in Patients with Nonmetastatic Upper-Tract Urothelial Carcinoma: How Many Lymph Nodes Should Be Removed? Eur. Urol. 2009, 56, 512–519. [Google Scholar] [CrossRef]
- Xylinas, E.; Kluth, L.; Rieken, M.; Rouprêt, M.; Al Hussein Al Awamlh, B.; Clozel, T.; Sun, M.; Karakiewicz, P.I.; Gonen, M.; Shariat, S.F. External validation of the pathological nodal staging score in upper tract urothelial carcinoma: A population-based study. Urol. Oncol. Semin. Orig. Investig. 2017, 35, 33.e21–33.e26. [Google Scholar] [CrossRef] [PubMed][Green Version]
- Zapała, Ł.; Ślusarczyk, A.; Korczak, B.; Kurzyna, P.; Leki, M.; Lipiński, P.; Miłow, J.; Niemczyk, M.; Pocheć, K.; Późniak, M.; et al. The View Outside of the Box: Reporting Outcomes Following Radical Cystectomy Using Pentafecta from a Multicenter Retrospective Analysis. Front. Oncol. 2022, 12, 841852. [Google Scholar] [CrossRef] [PubMed]
- Bi, L.; Huang, H.; Fan, X.; Li, K.; Xu, K.; Jiang, C.; Liu, H.; Dong, W.; Zhang, S.; Yang, X.; et al. Extended vs non-extended pelvic lymph node dissection and their influence on recurrence-free survival in patients undergoing radical cystectomy for bladder cancer: A systematic review and meta-analysis of comparative studies. BJU Int. 2014, 113, E39–E48. [Google Scholar] [CrossRef] [PubMed]
- Crozier, J.; Papa, N.; Perera, M.; Ngo, B.; Bolton, D.; Sengupta, S.; Lawrentschuk, N. Comparative sensitivity and specificity of imaging modalities in staging bladder cancer prior to radical cystectomy: A systematic review and meta-analysis. World J. Urol. 2019, 37, 667–690. [Google Scholar] [CrossRef] [PubMed]
- Peyrottes, A.; Califano, G.; Ouzaïd, I.; Lainé-Caroff, P.; Long Depaquit, T.; Hermieu, J.F.; Xylinas, E. Lymph Node Dissection During Radical Nephro-Ureterectomy for Upper Tract Urothelial Carcinoma: A Review. Front. Surg. 2022, 9, 852969. Available online: https://www.frontiersin.org/articles/10.3389/fsurg.2022.852969 (accessed on 16 September 2023). [CrossRef]
- Zhai, T.S.; Jin, L.; Zhou, Z.; Liu, X.; Liu, H.; Chen, W.; Lu, J.-Y.; Yao, X.-D.; Feng, L.-M.; Ye, L. Effect of lymph node dissection on stage-specific survival in patients with upper urinary tract urothelial carcinoma treated with nephroureterectomy. BMC Cancer 2019, 19, 1207. [Google Scholar] [CrossRef]
- Hsieh, H.C.; Wang, C.L.; Chen, C.S.; Yang, C.K.; Li, J.R.; Wang, S.S.; Cheng, C.-L.; Lin, C.-Y.; Chiu, K.-Y. The prognostic impact of lymph node dissection for clinically node-negative upper urinary tract urothelial carcinoma in patients who are treated with radical nephroureterectomy. PLoS ONE 2022, 17, e0278038. [Google Scholar] [CrossRef]
- Lee, H.Y.; Chang, C.H.; Huang, C.P.; Yu, C.C.; Lo, C.W.; Chung, S.D.; Wu, W.-C.; Chen, I.-H.A.; Lin, J.-T.; Jiang, Y.-H.; et al. Is Lymph Node Dissection Necessary during Radical Nephroureterectomy for Clinically Node-Negative Upper Tract Urothelial Carcinoma? A Multi-Institutional Study. Front. Oncol. 2022, 12, 791620. Available online: https://www.frontiersin.org/articles/10.3389/fonc.2022.791620 (accessed on 30 December 2022). [CrossRef]
- Xia, H.R.; Li, S.G.; Zhai, X.Q.; Liu, M.; Guo, X.X.; Wang, J.Y. The Value of Lymph Node Dissection in Patients With Node-Positive Upper Urinary Tract Urothelial Cancer: A Retrospective Cohort Study. Front. Oncol. 2022, 12, 889144. [Google Scholar] [CrossRef] [PubMed]
- Piontkowski, A.J.; Corsi, N.; Morisetty, S.; Majdalany, S.; Rakic, I.; Li, P.; Arora, S.; Jamil, M.; Rogers, C.; Autorino, R.; et al. Benefit of lymph node dissection in cN+ patients in the treatment of upper tract urothelial carcinoma: Analysis of NCDB registry. Urol. Oncol. 2022, 40, 409.e9–409.e17. [Google Scholar] [CrossRef] [PubMed]
- Roscigno, M.; Shariat, S.F.; Freschi, M.; Margulis, V.; Karakiewizc, P.; Suardi, N.; Remzi, M.; Zigeuner, R.; Bolenz, C.; Kikuchi, E.; et al. Assessment of the Minimum Number of Lymph Nodes Needed to Detect Lymph Node Invasion at Radical Nephroureterectomy in Patients With Upper Tract Urothelial Cancer. Urology 2009, 74, 1070–1074. [Google Scholar] [CrossRef] [PubMed]
- Birtle, A.; Johnson, M.; Chester, J.; Jones, R.; Dolling, D.; Bryan, R.T.; Harris, C.; Winterbottom, A.; Blacker, A.; Catto, J.W.F.; et al. Adjuvant chemotherapy in upper tract urothelial carcinoma (the POUT trial): A phase 3, open-label, randomised controlled trial. Lancet 2020, 395, 1268–1277. [Google Scholar] [CrossRef] [PubMed]
- Ślusarczyk, A.; Garbas, K.; Zapała, P.; Zapała, Ł.; Radziszewski, P. Oncological outcomes of high-grade T1 non-muscle-invasive bladder cancer treatment in octogenarians. Int. Urol. Nephrol. 2021, 53, 1591–1597. [Google Scholar] [CrossRef]
- Ślusarczyk, A.; Zapała, P.; Olszewska-Ślusarczyk, Z.; Radziszewski, P. The prediction of cancer-specific mortality in T1 non-muscle-invasive bladder cancer: Comparison of logistic regression and artificial neural network: A SEER population-based study. Int. Urol. Nephrol. 2023, 55, 2205–2213. [Google Scholar] [CrossRef]
- Nielsen, M.E.; Shariat, S.F.; Karakiewicz, P.I.; Lotan, Y.; Rogers, C.G.; Amiel, G.E.; Bastian, P.J.; Vazina, A.; Gupta, A.; Lerner, S.P.; et al. Advanced age is associated with poorer bladder cancer-specific survival in patients treated with radical cystectomy. Eur. Urol. 2007, 51, 699–706; discussion 706–708. [Google Scholar] [CrossRef]
- Ślusarczyk, A.; Zapała, P.; Zapała, Ł.; Borkowski, T.; Radziszewski, P. Cancer-Specific Survival of Patients with Non-Muscle-Invasive Bladder Cancer: A Population-Based Analysis. Ann. Surg. Oncol. 2023. [Google Scholar]
- Ferro, M.; Chiujdea, S.; Vartolomei, M.D.; Bove, P.; Porreca, A.; Busetto, G.M.; del Giudice, F.; Antonelli, A.; Foschi, N.; Racioppi, M.; et al. Advanced Age Impacts Survival after Radical Nephroureterectomy for Upper Tract Urothelial Carcinoma. Clin. Genitourin. Cancer 2023. Available online: https://www.sciencedirect.com/science/article/pii/S1558767323001842 (accessed on 15 September 2023). [CrossRef]


| Characteristics of the Whole Cohort | |||
|---|---|---|---|
| Variable | Number of pts. | % | |
| Gender | male | 2620 | 56.36 |
| female | 2029 | 43.64 | |
| Age (years) | <60 | 623 | 13.40 |
| 60–70 | 1164 | 25.04 | |
| 70–80 | 1637 | 35.21 | |
| >80 | 1225 | 26.35 | |
| Lymph node dissection | not performed | 3740 | 80.45 |
| <4 LN removed | 541 | 11.64 | |
| ≥4 LN removed | 368 | 7.92 | |
| Grade | low-grade | 902 | 19.40 |
| high-grade | 3433 | 73.84 | |
| unknown | 314 | 6.75 | |
| Tumor T category | Ta | 28 | 0.60 |
| T1 | 1688 | 36.31 | |
| T2 | 916 | 19.70 | |
| T3 | 1836 | 39.49 | |
| T4 | 181 | 3.89 | |
| Tumor size | <2 cm | 624 | 13.42 |
| ≥2 cm | 3563 | 76.64 | |
| unspecified | 462 | 9.94 | |
| Location | renal pelvis | 3038 | 65.35 |
| ureter | 1611 | 34.65 | |
| Laterality | right | 2328 | 50.08 |
| left | 2318 | 49.86 | |
| unspecified | 3 | 0.06 | |
| Year of diagnosis | <2010 | 1872 | 40.27 |
| ≥2010 | 2777 | 59.73 | |
| Adjuvant chemotherapy | no/ unknown | 3986 | 85.74 |
| yes | 663 | 14.26 | |
| Race | White | 4056 | 87.24 |
| Black | 196 | 4.22 | |
| other * | 397 | 8.54 | |
| Marital status | single/divorced/widowed | 1722 | 37.04 |
| married ** | 2767 | 59.52 | |
| status unknown | 160 | 3.44 | |
| Income annually | <USD 65,000 | 2109 | 45.36 |
| ≥USD 65,000 | 2540 | 54.64 | |
| Metropolitan citizenship *** | no | 622 | 13.38 |
| yes | 4024 | 86.56 | |
| Cancer-specific death | no | 3219 | 69.24 |
| yes | 1430 | 30.76 | |
| All-cause death | no | 2115 | 45.49 |
| yes | 2534 | 54.51 | |
| Whole Cohort—before Propensity Score Matching | ||||||
|---|---|---|---|---|---|---|
| Characteristics | No LND | LND | ||||
| Variable | Number of pts. | % | Number of pts. | % | p-Value | |
| Gender | male | 2118 | 56.63 | 502 | 55.23 | 0.46 |
| female | 1622 | 43.37 | 407 | 44.77 | ||
| Age (years) | <60 | 490 | 13.10 | 133 | 14.63 | 0.013 |
| 60–70 | 923 | 24.68 | 241 | 26.51 | ||
| 70–80 | 1303 | 34.84 | 334 | 36.74 | ||
| >80 | 1024 | 27.38 | 201 | 22.11 | ||
| Grade | low-grade | 781 | 22.36 | 121 | 14.37 | <0.0001 |
| high-grade | 2712 | 77.64 | 721 | 85.63 | ||
| Tumor T category | Ta | 26 | 0.70 | 2 | 0.22 | 0.002 |
| T1 | 1404 | 37.54 | 284 | 31.24 | ||
| T2 | 722 | 19.30 | 194 | 21.34 | ||
| T3 | 1449 | 38.74 | 387 | 42.57 | ||
| T4 | 139 | 3.72 | 42 | 4.62 | ||
| Tumour size | <2 cm | 508 | 13.58 | 116 | 12.76 | 0.047 |
| ≥2 cm | 2842 | 75.99 | 721 | 79.32 | ||
| unspecified | 390 | 10.43 | 72 | 7.92 | ||
| Location | pelvis | 2487 | 66.50 | 551 | 60.62 | 0.001 |
| ureter | 1253 | 33.50 | 358 | 39.38 | ||
| Year of diagnosis | <2010 | 1595 | 42.65 | 277 | 30.47 | <0.0001 |
| ≥2010 | 2145 | 57.35 | 632 | 69.53 | ||
| Adjuvant chemotherapy | no/unknown | 3260 | 87.17 | 726 | 79.87 | <0.0001 |
| yes | 480 | 12.83 | 183 | 20.13 | ||
| Race | White | 3289 | 87.94 | 767 | 84.38 | 0.014 |
| Black | 152 | 4.06 | 44 | 4.84 | ||
| other * | 299 | 7.99 | 98 | 10.78 | ||
| Cancer-specific death | no | 2535 | 67.78 | 684 | 75.25 | <0.0001 |
| yes | 1205 | 32.22 | 225 | 24.75 | ||
| All-cause death | no | 1604 | 42.89 | 511 | 56.22 | <0.0001 |
| yes | 2136 | 57.11 | 398 | 43.78 | ||
| Propensity Score-Matched Cohort | ||||||
|---|---|---|---|---|---|---|
| Characteristics | No LND | LND | ||||
| Variable | Number of pts. | % | Number of pts. | % | p-Value | |
| Gender | male | 971 | 57.66 | 465 | 55.23 | 0.25 |
| female | 713 | 42.34 | 377 | 44.77 | ||
| Age (years) | <60 | 226 | 13.42 | 116 | 13.78 | 0.95 |
| 60–70 | 461 | 27.38 | 228 | 27.08 | ||
| 70–80 | 609 | 36.16 | 311 | 36.94 | ||
| >80 | 388 | 23.04 | 187 | 22.21 | ||
| Grade | low-grade | 239 | 14.19 | 121 | 14.37 | 0.90 |
| high-grade | 1445 | 85.81 | 721 | 85.63 | ||
| Tumor T category | Ta | 4 | 0.24 | 2 | 0.24 | 1.0 |
| T1 | 518 | 30.76 | 259 | 30.76 | ||
| T2 | 358 | 21.26 | 179 | 21.26 | ||
| T3 | 728 | 43.23 | 364 | 43.23 | ||
| T4 | 76 | 4.51 | 38 | 4.51 | ||
| Tumor size | <2 cm | 226 | 13.42 | 110 | 13.06 | 0.57 |
| ≥2 cm | 1356 | 80.52 | 672 | 79.81 | ||
| unspecified | 102 | 6.06 | 60 | 7.13 | ||
| Location | pelvis | 1012 | 60.10 | 506 | 60.10 | 1.0 |
| ureter | 672 | 39.90 | 336 | 39.90 | ||
| Year of diagnosis | <2010 | 528 | 31.35 | 263 | 31.24 | 0.96 |
| ≥2010 | 1156 | 68.65 | 579 | 68.76 | ||
| Adjuvant chemotherapy | no/unknown | 1402 | 83.25 | 682 | 81.00 | 0.17 |
| yes | 282 | 16.75 | 160 | 19.00 | ||
| Race | White | 1459 | 86.64 | 712 | 84.56 | 0.33 |
| Black | 65 | 3.86 | 40 | 4.75 | ||
| other * | 160 | 9.50 | 90 | 10.69 | ||
| Cancer-specific death | no | 1154 | 68.53 | 628 | 74.58 | 0.016 |
| yes | 530 | 31.47 | 214 | 25.42 | ||
| All-cause death | no | 772 | 45.84 | 468 | 55.58 | <0.0001 |
| yes | 912 | 54.16 | 374 | 44.42 | ||
| Factors Predicting Cancer-Specific Survival—Multivariable Analysis | |||||||
|---|---|---|---|---|---|---|---|
| Variables | before PSM | after PSM | |||||
| HR | 95% CI | p-value | HR | 95% CI | p-Value | ||
| Lymph node dissection | not performed | ref | <0.0001 | ref | 0.0008 | ||
| <4 LN removed | 0.858 | 0.724–1.017 | 0.0775 | 0.935 | 0.781–1.120 | 0.4653 | |
| ≥4 LN removed | 0.559 | 0.430–0.727 | <0.0001 | 0.598 | 0.457–0.783 | 0.0002 | |
| Tumor T category | T1 | ref | <0.0001 | ref | <0.0001 | ||
| Ta | 1.317 | 0.586–2.961 | 0.5056 | 1.334 | 0.185–9.606 | 0.7750 | |
| T2 | 1.440 | 1.209–1.714 | <0.0001 | 1.477 | 1.156–1.887 | 0.0018 | |
| T3 | 2.540 | 2.205–2.927 | <0.0001 | 2.553 | 2.084–3.128 | <0.0001 | |
| T4 | 5.481 | 4.373–6.870 | <0.0001 | 4.598 | 3.404–6.211 | <0.0001 | |
| Grade | high vs. low | 1.782 | 1.511–2.101 | <0.0001 | 2.149 | 1.617–2.856 | <0.0001 |
| Age (years) | <60 | ref | <0.0001 | ref | <0.0001 | ||
| 60–70 | 1.420 | 1.142–1.766 | 0.0016 | 1.511 | 1.131–2.017 | 0.0052 | |
| 70–80 | 1.938 | 1.580–2.377 | <0.0001 | 1.872 | 1.421–2.466 | <0.0001 | |
| >80 | 2.749 | 2.234–3.382 | <0.0001 | 2.714 | 2.044–3.604 | <0.0001 | |
| Tumor size | <2 cm | ref | 0.0004 | ref | |||
| ≥2 cm | 1.261 | 1.055–1.506 | 0.0108 | 1.438 | 1.122–1.843 | 0.0041 | |
| unspecified | 1.576 | 1.255–1.979 | <0.0001 | 1.673 | 1.185–2.363 | 0.0035 | |
| Location | pelvis vs. ureter | 0.754 | 0.671–0.848 | <0.0001 | 0.749 | 0.641–0.874 | 0.0003 |
| Income annually | <USD 65,000 vs. ≥USD 65,000 | 1.125 | 1.010–1.252 | 0.0324 | - | - | - |
Disclaimer/Publisher’s Note: The statements, opinions and data contained in all publications are solely those of the individual author(s) and contributor(s) and not of MDPI and/or the editor(s). MDPI and/or the editor(s) disclaim responsibility for any injury to people or property resulting from any ideas, methods, instructions or products referred to in the content. |
© 2023 by the authors. Licensee MDPI, Basel, Switzerland. This article is an open access article distributed under the terms and conditions of the Creative Commons Attribution (CC BY) license (https://creativecommons.org/licenses/by/4.0/).
Share and Cite
Ślusarczyk, A.; Zapała, P.; Piecha, T.; Rajwa, P.; Moschini, M.; Radziszewski, P. The Association between Lymph Node Dissection and Survival in Lymph Node-Negative Upper Urinary Tract Urothelial Cancer. Cancers 2023, 15, 4660. https://doi.org/10.3390/cancers15184660
Ślusarczyk A, Zapała P, Piecha T, Rajwa P, Moschini M, Radziszewski P. The Association between Lymph Node Dissection and Survival in Lymph Node-Negative Upper Urinary Tract Urothelial Cancer. Cancers. 2023; 15(18):4660. https://doi.org/10.3390/cancers15184660
Chicago/Turabian StyleŚlusarczyk, Aleksander, Piotr Zapała, Tomasz Piecha, Paweł Rajwa, Marco Moschini, and Piotr Radziszewski. 2023. "The Association between Lymph Node Dissection and Survival in Lymph Node-Negative Upper Urinary Tract Urothelial Cancer" Cancers 15, no. 18: 4660. https://doi.org/10.3390/cancers15184660
APA StyleŚlusarczyk, A., Zapała, P., Piecha, T., Rajwa, P., Moschini, M., & Radziszewski, P. (2023). The Association between Lymph Node Dissection and Survival in Lymph Node-Negative Upper Urinary Tract Urothelial Cancer. Cancers, 15(18), 4660. https://doi.org/10.3390/cancers15184660
