Real-World Results of Stereotactic Body Radiotherapy for 399 Medically Operable Patients with Stage I Histology-Proven Non-Small Cell Lung Cancer
Abstract
Simple Summary
Abstract
1. Introduction
2. Materials and Methods
2.1. Study Design
2.2. Patients Characteristics
2.3. Treatment Methods
2.4. Evaluation and STATISTICS
3. Results
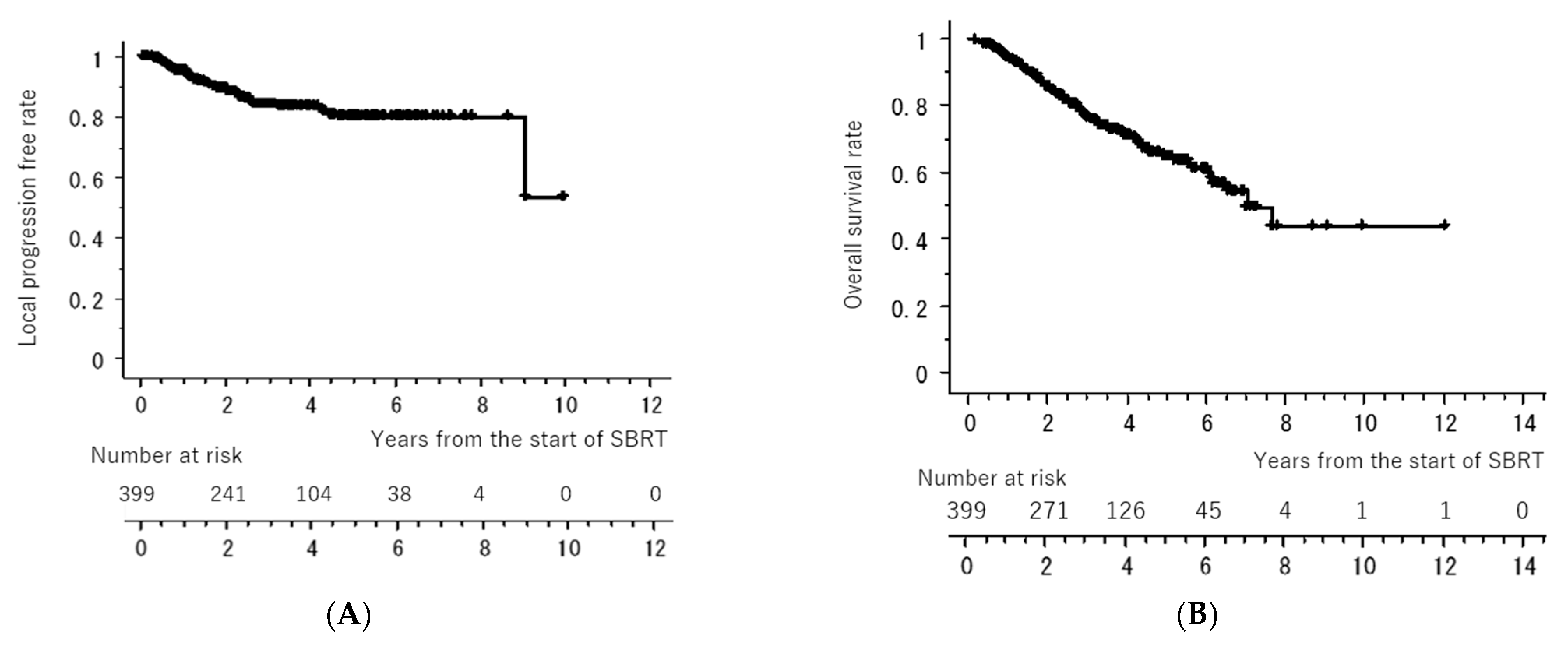
3.1. Local Control and Survival
3.2. Toxicity
4. Discussion
| Author [References No.] | Type of Study | Pt. No (Stage) | Age Min–Max (Median) | Dose Gy/ Fraction (fx) | Median Follow-Up (Months) | Local Control | Overall Survival |
|---|---|---|---|---|---|---|---|
| Onishi H. [16] | Retrospective | 87 (IA 65, IB 22) | 51–87 (77) | 45–72.5 Gy/3–10 fr | 55 | IA 92%, IB 73% (at 5-year) | IA 72%, IB 62% (at 5-year) |
| Nagata Y. [17] | Prospective | IA 64 | 50–91 (79) | 48 Gy/4 fr | 67 | 85.4% (at 3-year) | 76.5% (at 3-year) |
| Timmerman R. [18] | Prospective | 26 (IA 23, IB 3) | 54–88 (72) | 54 Gy/3 fr | 48 | 96% (at 4-year) | 56% (at 4-year) |
| Chang J. [11] | Prospective | 31 (IA 27, IB 4) | 43–82 (67) | 54 Gy/3 fr (peripheral) 50 Gy/4 fr (central) | 40 | 96% (at 3-year) | 95% (at 3-year) |
| Chang J. [26] | Prospective | IA 80 | Mean 69 | 54 Gy/3 fr (peripheral) 50–60 Gy/4 fr (central) | 61 | not shown | 87% (at 5-year) |
| This study | Retrospective | 399 (IA 292, IB 107) | 40–89 (75) | 48–70 Gy/4–10 fr | 38 | IA 86.2%, IB 78.4% (at 3-year) | IA 78.6%, IB 75.1% (at 3-year) |
5. Conclusions
Author Contributions
Funding
Institutional Review Board Statement
Informed Consent Statement
Data Availability Statement
Acknowledgments
Conflicts of Interest
References
- World Cancer Report 2020, WHO IARC Publications Website—World Cancer Report: Cancer Research for Cancer Prevention. Available online: https://publications.iarc.fr/Non-Series-Publications/World-Cancer-Reports/World-Cancer-Report-Cancer-Research-For-Cancer-Prevention-2020 (accessed on 15 May 2023).
- Demographic Data of World Health Organization. Available online: https://platform.who.int/data/maternal-newborn-child-adolescent-ageing/ageing-data/ageing---demographics (accessed on 15 May 2023).
- Shinde, A.; Li, R.; Kim, J.; Salgia, R.; Hurria, A.; Amini, A. Stereotactic body radiation therapy (SBRT) for early-stage lung cancer in the elderly. Semin. Oncol. 2018, 45, 210–219. [Google Scholar] [CrossRef] [PubMed]
- Mutsaers, A.; Zhang, T.W.; Louie, A.; Rodrigues, G.; Palma, D.; Qu, M. Stereotactic or Conventional Radiation for Early-Stage Non-small Cell Lung Cancer: A Systematic Review and Meta-Analysis. Cureus 2023, 15, e38198. [Google Scholar] [CrossRef]
- Loganadane, G.; Martinetti, F.; Mercier, O.; Krhili, S.; Riet, F.G.; Mbagui, R.; To, H.; Le Péchoux, C.; Levy, A. Stereotactic ablative radiotherapy for early stage non-small cell lung cancer: A critical literature review of predictive factors of relapse. Cancer Treat. Rev. 2016, 50, 240–246. [Google Scholar] [CrossRef] [PubMed]
- Murray, P.; Franks, K.; Hanna, G.G. A systematic review of outcomes following stereotactic ablative radiotherapy in the treatment of early-stage primary lung cancer. Br. J. Radiol. 2017, 90, 20160732. [Google Scholar] [CrossRef] [PubMed]
- Chen, H.; Louie, A.V.; Boldt, R.G.; Rodrigues, G.B.; Palma, D.A.; Senan, S. Quality of Life After Stereotactic Ablative Radiotherapy for Early-Stage Lung Cancer: A Systematic Review. Clin. Lung Cancer 2016, 17, e141–e149. [Google Scholar] [CrossRef]
- NCCN Clinical Practice Guideline in Oncology. Non-Small Cell Lung Cancer. Version 3. 2023. Available online: https://www.nccn.org/login?ReturnURL=https://www.nccn.org/professionals/physician_gls/pdf/nscl.pdf (accessed on 15 May 2023).
- Jang, J.K.; Atay, S.M.; Ding, L.; David, E.A.; Wightman, S.C.; Kim, A.W.; Ye, J.C. Patterns of use of stereotactic body radiation therapy ompared with surgery for definitive treatment of primary early-stage non-small cell lung cancer. Am. J. Clin. Oncol. 2022, 45, 146–154. [Google Scholar] [CrossRef]
- Evers, J.; Jaeger, K.; Hendriks, L.E.L.; Sangen, M.; Terhaard, C.; Siesling, S.; Ruysscher, D.; Struikmans, H.; Aarts, M.J. Trends and variations in treatment of stage I-III non-small cell lung cancer from 2008 to 2018: A nationwide population-based study from the Netherlands. Lung Cancer 2021, 155, 103–113. [Google Scholar] [CrossRef]
- Chang, J.Y.; Senan, S.; Paul, M.A.; Mehran, R.J.; Louie, A.V.; Balter, P.; Groen, H.J.; McRae, S.E.; Widder, J.; Feng, L.; et al. Stereotactic ablative radiotherapy versus lobectomy for operable stage I non-small-cell lung cancer: A pooled analysis of two randomised trials. Lancet Oncol. 2015, 16, 630–637. [Google Scholar] [CrossRef]
- Sherman, R.E.; Anderson, S.A.; Dal Pan, G.J.; Gray, G.W.; Gross, T.; Hunter, N.L.; LaVange, L.; Marinac-Dabic, D.; Marks, P.W.; Robb, M.A.; et al. Real-World Evidence—What Is It and What Can It Tell Us. N. Engl. J. Med. 2016, 375, 2293–2297. [Google Scholar] [CrossRef]
- Yuan, H.; Ali, M.S.; Brouwer, E.S.; Girman, C.J.; Guo, J.J.; Lund, J.L.; Patorno, E.; Slaughter, J.L.; Wen, X.; Bennett, D. Real-World Evidence: What It Is and What It Can Tell Us According to the International Society for Pharmacoepidemiology (ISPE) Comparative Effectiveness Research (CER) Special Interest Group (SIG). Clin. Pharmacol. Ther. 2018, 104, 239–241. [Google Scholar] [CrossRef]
- Jarow, J.P.; LaVange, L.; Woodcock, J. Multidimensional Evidence Generation and FDA Regulatory Decision Making: Defining and Using “Real-World” Data. JAMA 2017, 318, 703–704. [Google Scholar] [CrossRef] [PubMed]
- Faroni, L.; Ferreira, C.G.; Moraes, F.; Baldotto, C.; Zukin, M.; Aran, V.; Araujo, L.H. Real-World Evidence of Health Outcomes Related to Lung Stereotactic Body Radiation Therapy in Brazil. JCO Glob. Oncol. 2022, 8, e2200061. [Google Scholar] [CrossRef]
- Onishi, H.; Shirato, H.; Nagata, Y.; Hiraoka, M.; Fujino, M.; Gomi, K.; Karasawa, K.; Hayakawa, K.; Niibe, Y.; Takai, Y.; et al. Stereotactic body radiotherapy (SBRT) for operable stage I non-small-cell lung cancer: Can SBRT be comparable to surgery. Int. J. Radiat. Oncol. Biol. Phys. 2011, 81, 1352–1358. [Google Scholar] [CrossRef] [PubMed]
- Nagata, Y.; Hiraoka, M.; Shibata, T.; Onishi, H.; Kokubo, M.; Karasawa, K.; Shioyama, Y.; Onimaru, R.; Kozuka, T.; Kunieda, E.; et al. Prospective Trial of Stereotactic Body Radiation Therapy for Both Operable and Inoperable T1N0M0 Non-Small Cell Lung Cancer: Japan Clinical Oncology Group Study JCOG0403. Int. J. Radiat. Oncol. Biol. Phys. 2015, 93, 989–996. [Google Scholar] [CrossRef] [PubMed]
- Timmerman, R.D.; Paulus, R.; Pass, H.I.; Gore, E.M.; Edelman, M.J.; Galvin, J.; Straube, W.L.; Nedzi, L.A.; McGarry, R.C.; Robinson, C.G.; et al. Stereotactic Body Radiation Therapy for Operable Early-Stage Lung Cancer: Findings from the NRG Oncology RTOG 0618 Trial. JAMA Oncol. 2018, 4, 1263–1266. [Google Scholar] [CrossRef]
- Tandberg, D.J.; Tong, B.C.; Ackerson, B.G.; Kelsey, C.R. Surgery versus stereotactic body radiation therapy for stage I non-small cell lung cancer: A comprehensive review. Cancer 2018, 124, 667–678. [Google Scholar] [CrossRef]
- Matsuo, Y.; Chen, F.; Hamaji, M.; Kawaguchi, A.; Ueki, N.; Nagata, Y.; Sonobe, M.; Morita, S.; Date, H.; Hiraoka, M. Comparison of long-term survival outcomes between stereotactic body radiotherapy and sublobar resection for stage I non-small-cell lung cancer in patients at high risk for lobectomy: A propensity score matching analysis. Eur. J. Cancer 2014, 50, 2932–2938. [Google Scholar] [CrossRef]
- Shirvani, S.M.; Jiang, J.; Chang, J.Y.; Welsh, J.; Likhacheva, A.; Buchholz, T.A.; Swisher, S.G.; Smith, B.D. Lobectomy, sublobar resection, and stereotactic ablative radiotherapy for early-stage non-small cell lung cancers in the elderly. JAMA Surg. 2014, 149, 1244–1253. [Google Scholar] [CrossRef]
- Ezer, N.; Veluswamy, R.R.; Mhango, G.; Rosenzweig, K.E.; Powell, C.A.; Wisnivesky, J.P. Outcomes after Stereotactic Body Radiotherapy versus Limited Resection in Older Patients with Early-Stage Lung Cancer. J. Thorac. Oncol. 2015, 10, 1201–1206. [Google Scholar] [CrossRef]
- Kastelijn, E.A.; El Sharouni, S.Y.; Hofman, F.N.; Van Putte, B.P.; Monninkhof, E.M.; Van Vulpen, M.; Schramel, F.M. Clinical Outcomes in Early-stage NSCLC Treated with Stereotactic Body Radiotherapy Versus Surgical Resection. Anticancer Res. 2015, 35, 5607–5614. [Google Scholar]
- Mokhles, S.; Verstegen, N.; Maat, A.P.; Birim, Ö.; Bogers, A.J.; Mokhles, M.M.; Lagerwaard, F.J.; Senan, S.; Takkenberg, J.J. Comparison of clinical outcome of stage I non-small cell lung cancer treated surgically or with stereotactic radiotherapy: Results from propensity score analysis. Lung Cancer 2015, 87, 283–289. [Google Scholar] [CrossRef] [PubMed]
- Puri, V.; Crabtree, T.D.; Bell, J.M.; Broderick, S.R.; Morgensztern, D.; Colditz, G.A.; Kreisel, D.; Krupnick, A.S.; Patterson, G.A.; Meyers, B.F.; et al. Treatment Outcomes in Stage I Lung Cancer: A Comparison of Surgery and Stereotactic Body Radiation Therapy. J. Thorac. Oncol. 2015, 10, 1776–1784. [Google Scholar] [CrossRef]
- Chang, J.Y.; Mehran, R.J.; Feng, L.; Verma, V.; Liao, Z.; Welsh, J.W.; Lin, S.H.; O’Reilly, M.S.; Jeter, M.D.; Balter, P.A.; et al. Stereotactic ablative radiotherapy for operable stage I non-small-cell lung cancer (revised STARS): Long-term results of a single-arm, prospective trial with prespecified comparison to surgery. Lancet Oncol. 2021, 22, 1448–1457. [Google Scholar] [CrossRef] [PubMed]
- Cao, C.; Wang, D.; Chung, C.; Tian, D.; Rimner, A.; Huang, J.; Jones, D.R. A systematic review and meta-analysis of stereotactic body radiation therapy versus surgery for patients with non-small cell lung cancer. J. Thorac. Cardiovasc. Surg. 2019, 157, 362–373.e8. [Google Scholar] [CrossRef] [PubMed]
- Saji, H.; Okada, M.; Tsuboi, M.; Nakajima, R.; Suzuki, K.; Aokage, K.; Aoki, T.; Okami, J.; Yoshino, I.; Ito, H.; et al. Segmentectomy versus lobectomy in small-sized peripheral non-small-cell lung cancer (JCOG0802/WJOG4607L): A multicentre, open-label, phase 3, randomized, controlled, non-inferiority trial. Lancet 2022, 399, 1607–1617. [Google Scholar] [CrossRef]
- Nakamura, K.; Saji, H.; Nakajima, R.; Okada, M.; Asamura, H.; Shibata, T.; Nakamura, S.; Tada, H.; Tsuboi, M. A phase III randomized trial of lobectomy versus limited resection for small-sized peripheral non-small cell lung cancer (JCOG0802/WJOG4607L). Jpn. J. Clin. Oncol. 2010, 40, 271–274. [Google Scholar] [CrossRef]
- Okami, J.; Nishiyama, K.; Fujiwara, A.; Konishi, K.; Kanou, T.; Tokunaga, T.; Teshima, T.; Higashiyama, M. Radiotherapy for postoperative thoracic lymph node recurrence of non-small-cell lung cancer provides better outcomes if the disease is asymptomatic and a single-station involvement. J. Thorac. Oncol. 2013, 8, 1417–1424. [Google Scholar] [CrossRef]
- Matsuoka, H.; Okada, M.; Sakamoto, T.; Tsubota, N. Complications and outcomes after pulmonary resection for cancer in patients 80 to 89 years of age. Eur. J. Cardio-Thoracic Surg. 2005, 28, 380–383. [Google Scholar] [CrossRef][Green Version]
- Schneider, B.J.; Daly, M.E.; Kennedy, E.B.; Antonoff, M.B.; Broderick, S.; Feldman, J.; Jolly, S.; Meyers, B.; Rocco, G.; Rusthoven, C.; et al. Stereotactic Body Radiotherapy for Early-Stage Non-Small-Cell Lung Cancer: American Society of Clinical Oncology Endorsement of the American Society for Radiation Oncology Evidence-Based Guideline. J. Clin. Oncol. 2018, 36, 710–719. [Google Scholar] [CrossRef]
- Schneider, T.; Pfannschmidt, J.; Muley, T.; Reimer, P.; Eberhardt, R.; Herth, F.J.; Dienemann, H.; Hoffmann, H. A retrospective analysis of short and long-term survival after curative pulmonary resection for lung cancer in elderly. Lung Cancer 2008, 62, 221–227. [Google Scholar] [CrossRef]
- Jaklitsch, M.T.; Mery, C.M.; Audisio, R.A. The use of surgery to treat lung cancer in elderly patients. Lancet Oncol. 2003, 4, 463–471. [Google Scholar] [CrossRef] [PubMed]
- Onishi, H.; Yamashita, H.; Shioyama, Y.; Matsumoto, Y.; Takayama, K.; Matsuo, Y.; Miyakawa, A.; Matsushita, H.; Aoki, M.; Nihei, K.; et al. Stereotactic Body Radiation Therapy for Patients with Pulmonary Interstitial Change: High Incidence of Fatal Radiation Pneumonitis in a Retrospective Multi-Institutional Study. Cancers 2018, 10, 257. [Google Scholar] [CrossRef] [PubMed]




| Characteristics | Total (n = 399) |
|---|---|
| Age, years | Median 75 (range: 40–89) |
| Sex | |
| Male | 262 |
| Female | 137 |
| Performance status | |
| ECOG score 0 | 237 |
| ECOG score 1 | 129 |
| ECOG score 2 | 14 |
| ECOG score unknown | 19 |
| Pathology | |
| Adenocarcinoma | 267 |
| Squamous cell carcinoma | 96 |
| Other type of non-small cell lung cancer | 36 |
| Disease stage (UICC Version 7) | |
| Stage IA | 292 |
| Stage IB | 107 |
| Tumor diameter, mm | Mean 26 (range: 5–55) |
| Pulmonary emphysema | |
| (−) | 255 |
| (+) | 50 |
| Unknown | 94 |
| Pulmonary interstitial change | |
| (−) | 292 |
| (+) | 31 |
| Unknown | 76 |
| SBRT Technique | Number of Institutions (n = 20) |
|---|---|
| CTV margin (mm) | |
| 0 | 14 |
| 1–3 | 2 |
| 5 | 3 |
| 6–8 | 1 |
| Immobilization | |
| Vacuum-type pillow | 14 |
| Body-frame | 4 |
| Shell-type | 2 |
| Breathing motion management | |
| Breath-hold | 8 |
| Abdominal compression | 6 |
| Gating | 2 |
| Real-time tumor tracking | 1 |
| Free | 3 |
| PTV–CTV margin (mm) | |
| 5 (all directions) | 18 |
| Cranio-caudal 6, others 5 | 1 |
| Cranio-caudal 8, dorsal 7, others 6 | 1 |
| Image guidance method | |
| On board cone-beam CT | 9 |
| Portal image | 6 |
| In-room CT | 2 |
| ExacTrac | 2 |
| Real-time tumor tracking | 1 |
| Ports | |
| Multiple static ports | 18 |
| Rotational arcs | 2 |
| Energy of X-ray | |
| 6 MV | 17 |
| 6, 10 MV | 3 |
| Calculation algorithm | |
| Superposition | 10 |
| AAA | 6 |
| Monte Carlo | 2 |
| CC convolution | 2 |
| Prescription point | |
| Isocenter (80–90% isodose covered PTV) | 16 |
| PTV periphery | 4 |
| Dose (Gy)/fractionations | |
| 48–52/4 | 17 |
| 60–70/10 | 2 |
| Others | 1 |
| Variables | Univariate Analysis | Multivariate Analysis | ||
|---|---|---|---|---|
| Hazard Ratio (95% CI *) | p-Value | |||
| PS | 0 vs. 1, 2 | 0.01 | 0.62 (0.38–1.01) | 0.05 |
| Gender | Female vs. Male | <0.01 | 0.25 (0.12–0.53) | <0.01 |
| Age | <75 years vs. ≥75 years | 0.42 | 0.65 (0.38–1.12) | 0.11 |
| Stage | IA vs. IB | 0.14 | 1.02 (0.60–1.75) | 0.93 |
| Histology | Squamous cell carcinoma vs. Adenocarcinoma | <0.01 | 1.25 (0.74–2.10) | 0.40 |
| Pulmonary emphysema | (+) vs. (−) | <0.01 | 0.75 (0.39–1.43) | 0.38 |
| Pulmonary interstitial change | (+) vs. (−) | <0.01 | 4.88 (2.47–9.61) | <0.01 |
Disclaimer/Publisher’s Note: The statements, opinions and data contained in all publications are solely those of the individual author(s) and contributor(s) and not of MDPI and/or the editor(s). MDPI and/or the editor(s) disclaim responsibility for any injury to people or property resulting from any ideas, methods, instructions or products referred to in the content. |
© 2023 by the authors. Licensee MDPI, Basel, Switzerland. This article is an open access article distributed under the terms and conditions of the Creative Commons Attribution (CC BY) license (https://creativecommons.org/licenses/by/4.0/).
Share and Cite
Onishi, H.; Shioyama, Y.; Matsumoto, Y.; Matsuo, Y.; Miyakawa, A.; Yamashita, H.; Matsushita, H.; Aoki, M.; Nihei, K.; Kimura, T.; et al. Real-World Results of Stereotactic Body Radiotherapy for 399 Medically Operable Patients with Stage I Histology-Proven Non-Small Cell Lung Cancer. Cancers 2023, 15, 4382. https://doi.org/10.3390/cancers15174382
Onishi H, Shioyama Y, Matsumoto Y, Matsuo Y, Miyakawa A, Yamashita H, Matsushita H, Aoki M, Nihei K, Kimura T, et al. Real-World Results of Stereotactic Body Radiotherapy for 399 Medically Operable Patients with Stage I Histology-Proven Non-Small Cell Lung Cancer. Cancers. 2023; 15(17):4382. https://doi.org/10.3390/cancers15174382
Chicago/Turabian StyleOnishi, Hiroshi, Yoshiyuki Shioyama, Yasuo Matsumoto, Yukinori Matsuo, Akifumi Miyakawa, Hideomi Yamashita, Haruo Matsushita, Masahiko Aoki, Keiji Nihei, Tomoki Kimura, and et al. 2023. "Real-World Results of Stereotactic Body Radiotherapy for 399 Medically Operable Patients with Stage I Histology-Proven Non-Small Cell Lung Cancer" Cancers 15, no. 17: 4382. https://doi.org/10.3390/cancers15174382
APA StyleOnishi, H., Shioyama, Y., Matsumoto, Y., Matsuo, Y., Miyakawa, A., Yamashita, H., Matsushita, H., Aoki, M., Nihei, K., Kimura, T., Ishiyama, H., Murakami, N., Nakata, K., Takeda, A., Uno, T., Nomiya, T., Taguchi, H., Seo, Y., Komiyama, T., ... Saito, M. (2023). Real-World Results of Stereotactic Body Radiotherapy for 399 Medically Operable Patients with Stage I Histology-Proven Non-Small Cell Lung Cancer. Cancers, 15(17), 4382. https://doi.org/10.3390/cancers15174382

