Dose-Volume Histogram Parameters and Quality of Life in Patients with Prostate Cancer Treated with Surgery and High-Dose Volumetric-Intensity-Modulated Arc Therapy to the Prostate Bed
Abstract
Simple Summary
Abstract
1. Introduction
2. Methods
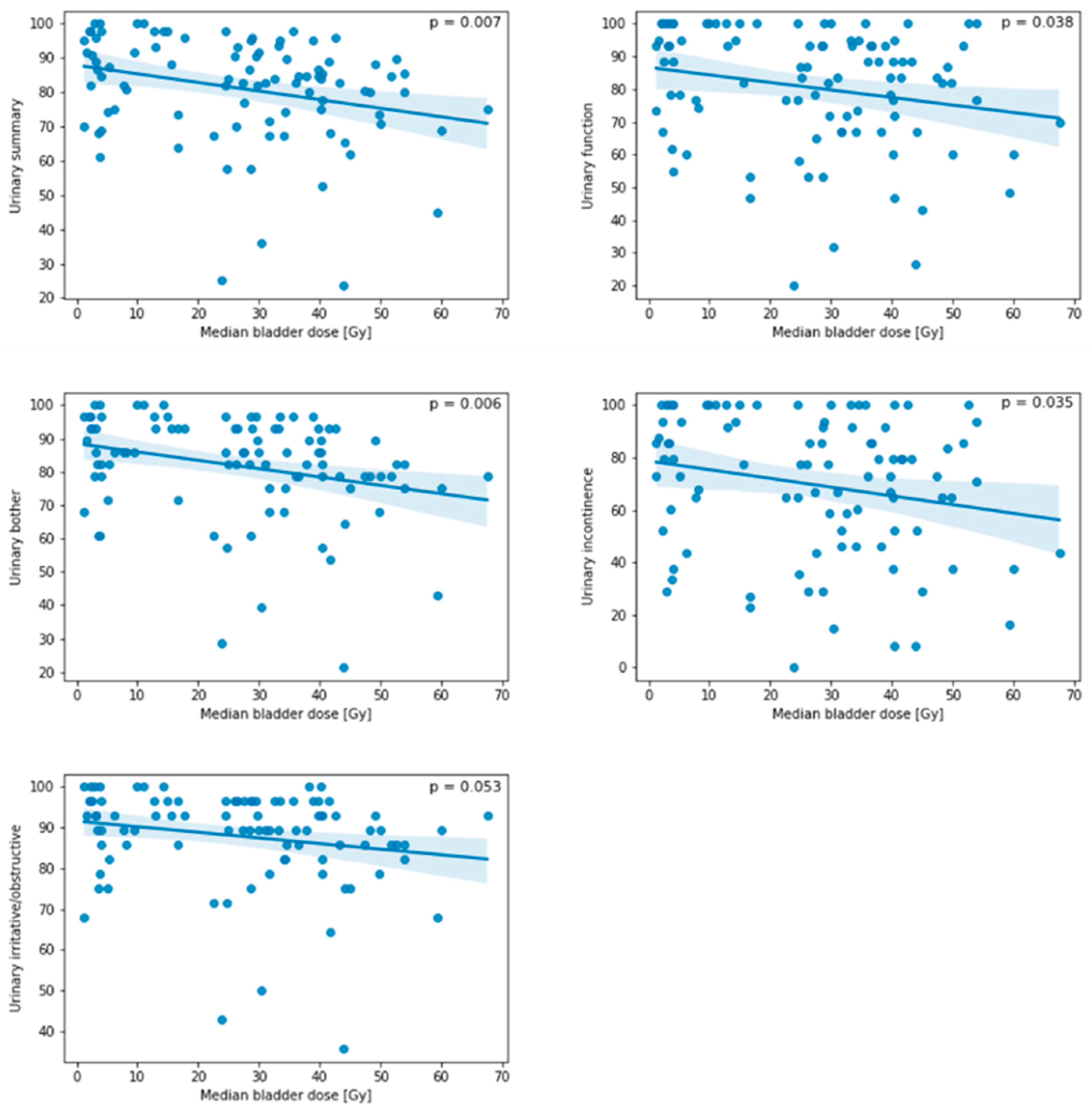
3. Results
4. Discussion
4.1. Summary of Study Objectives and Cohort
4.2. Bladder Volumes and QoL
4.3. Rectal Volumes and QoL
4.4. Penile Bulb and QoL
4.5. Relevance of the Study
4.6. Strengths and Weaknesses
5. Conclusions
Supplementary Materials
Author Contributions
Funding
Institutional Review Board Statement
Informed Consent Statement
Data Availability Statement
Conflicts of Interest
References
- Emami, B.; Lyman, J.; Brown, A.; Cola, L.; Goitein, M.; Munzenrider, J.E.; Shank, B.; Solin, L.J.; Wesson, M. Tolerance of Normal Tissue to Therapeutic Irradiation. Int. J. Radiat. Oncol. Biol. Phys. 1991, 21, 109–122. [Google Scholar] [CrossRef] [PubMed]
- Bentzen, S.M.; Constine, L.S.; Deasy, J.O.; Eisbruch, A.; Jackson, A.; Marks, L.B.; Ten Haken, R.K.; Yorke, E.D. Quantitative Analyses of Normal Tissue Effects in the Clinic (QUANTEC): An Introduction to the Scientific Issues. Int. J. Radiat. Oncol. Biol. Phys. 2010, 76, S3–S9. [Google Scholar] [CrossRef]
- Olsson, C.E.; Jackson, A.; Deasy, J.O.; Thor, M. A Systematic Post-QUANTEC Review of Tolerance Doses for Late Toxicity after Prostate Cancer Radiation Therapy. Int. J. Radiat. Oncol. Biol. Phys. 2018, 102, 1514–1532. [Google Scholar] [CrossRef]
- Petersen, P.M.; Cook, A.D.; Sydes, M.R.; Clarke, N.; Cross, W.; Kynaston, H.; Logue, J.; Neville, P.; Payne, H.; Parmar, M.K.; et al. Salvage Radiation Therapy after Radical Prostatectomy: Analysis of Toxicity by Dose-Fractionation in the RADICALS-RT Trial. Int. J. Radiat. Oncol. Biol. Phys. 2023. [Google Scholar] [CrossRef]
- Kneebone, A.; Fraser-Browne, C.; Duchesne, G.M.; Fisher, R.; Frydenberg, M.; Herschtal, A.; Williams, S.G.; Brown, C.; Delprado, W.; Haworth, A.; et al. Adjuvant Radiotherapy versus Early Salvage Radiotherapy Following Radical Prostatectomy (TROG 08.03/ANZUP RAVES): A Randomised, Controlled, Phase 3, Non-Inferiority Trial. Lancet Oncol. 2020, 21, 1331–1340. [Google Scholar] [CrossRef]
- Pollack, A.; Karrison, T.G.; Balogh, A.G.; Gomella, L.G.; Low, D.A.; Bruner, D.W.; Wefel, J.S.; Martin, A.-G.; Michalski, J.M.; Angyalfi, S.J.; et al. The Addition of Androgen Deprivation Therapy and Pelvic Lymph Node Treatment to Prostate Bed Salvage Radiotherapy (NRG Oncology/RTOG 0534 SPPORT): An International, Multicentre, Randomised Phase 3 Trial. Lancet 2022, 399, 1886–1901. [Google Scholar] [CrossRef]
- Tran, P.T.; Lowe, K.; Wang, H.; Tsai, H.-L.; Song, D.Y.; Hung, A.; Hearn, J.W.D.; Lotan, T.L.; Paller, C.J.; Markowski, M.C.; et al. Phase II, Double-Blind, Randomized Study of Salvage Radiation Therapy (SRT) plus Enzalutamide or Placebo for High-Risk PSA-Recurrent Prostate Cancer after Radical Prostatectomy: The SALV-ENZA Trial. J. Clin. Oncol. 2022, 40, 5012. [Google Scholar] [CrossRef]
- Ghadjar, P.; Hayoz, S.; Bernhard, J.; Zwahlen, D.R.; Hölscher, T.; Gut, P.; Polat, B.; Hildebrandt, G.; Müller, A.-C.; Plasswilm, L.; et al. Dose-Intensified versus Conventional-Dose Salvage Radiotherapy for Biochemically Recurrent Prostate Cancer after Prostatectomy: The SAKK 09/10 Randomized Phase 3 Trial. Eur. Urol. 2021, 80, 306–315. [Google Scholar] [CrossRef] [PubMed]
- Meijer, D.; Eppinga, W.S.C.; Mohede, R.M.; Vanneste, B.G.L.; Meijnen, P.; Meijer, O.W.M.; Daniels, L.A.; van den Bergh, R.C.N.; Lont, A.P.; Ettema, R.H.; et al. Prostate-Specific Membrane Antigen Positron Emission Tomography/Computed Tomography Is Associated with Improved Oncological Outcome in Men Treated with Salvage Radiation Therapy for Biochemically Recurrent Prostate Cancer. Eur. Urol. Oncol. 2022, 5, 146–152. [Google Scholar] [CrossRef] [PubMed]
- Harmon, G.; Chan, D.; Lee, B.; Miller, C.; Gorbonos, A.; Gupta, G.; Quek, M.; Woods, M.; Savir-Baruch, B.; Harkenrider, M.M.; et al. Validating Modern NRG Oncology Pelvic Nodal and Groupe Francophone de Radiothérapie Urologique Prostate Bed Contouring Guidelines for Post-Prostatectomy Salvage Radiation: A Secondary Analysis of the LOCATE Trial. Int. J. Radiat. Oncol. Biol. Phys. 2021, 111, 1195–1203. [Google Scholar] [CrossRef]
- Spratt, D.E.; Dai, D.L.Y.; Den, R.B.; Troncoso, P.; Yousefi, K.; Ross, A.E.; Schaeffer, E.M.; Haddad, Z.; Davicioni, E.; Mehra, R.; et al. Performance of a Prostate Cancer Genomic Classifier in Predicting Metastasis in Men with Prostate-Specific Antigen Persistence Postprostatectomy. Eur. Urol. 2018, 74, 107–114. [Google Scholar] [CrossRef] [PubMed]
- Chang, P.; Szymanski, K.M.; Dunn, R.L.; Chipman, J.J.; Litwin, M.S.; Nguyen, P.L.; Sweeney, C.J.; Cook, R.; Wagner, A.A.; DeWolf, W.C.; et al. Expanded Prostate Cancer Index Composite for Clinical Practice: Development and Validation of a Practical Health Related Quality of Life Instrument for Use in the Routine Clinical Care of Patients with Prostate Cancer. J. Urol. 2011, 186, 865–872. [Google Scholar] [CrossRef]
- Barry, M.J.; Fowler, F.J., Jr.; O’Leary, M.P.; Bruskewitz, R.C.; Holtgrewe, H.L.; Mebust, W.K.; Cockett, A.T.; The Measurement Committee of the American Urological Association. The American Urological Association Symptom Index for Benign Prostatic Hyperplasia. J. Urol. 1992, 148, 1549–1557; Discussion 1564. [Google Scholar] [CrossRef]
- Umbehr, M.H.; Bachmann, L.M.; Poyet, C.; Hammerer, P.; Steurer, J.; Puhan, M.A.; Frei, A. The German Version of the Expanded Prostate Cancer Index Composite (EPIC): Translation, Validation and Minimal Important Difference Estimation. Health Qual. Life Outcomes 2018, 16, 36. [Google Scholar] [CrossRef]
- Poortmans, P.; Bossi, A.; Vandeputte, K.; Bosset, M.; Miralbell, R.; Maingon, P.; Boehmer, D.; Budiharto, T.; Symon, Z.; van den Bergh, A.C.M.; et al. Guidelines for Target Volume Definition in Post-Operative Radiotherapy for Prostate Cancer, on Behalf of the EORTC Radiation Oncology Group. Radiother. Oncol. 2007, 84, 121–127. [Google Scholar] [CrossRef]
- Ghadjar, P.; Zelefsky, M.J.; Spratt, D.E.; Munck af Rosenschöld, P.; Oh, J.H.; Hunt, M.; Kollmeier, M.; Happersett, L.; Yorke, E.; Deasy, J.O.; et al. Impact of Dose to the Bladder Trigone on Long-Term Urinary Function after High-Dose Intensity Modulated Radiation Therapy for Localized Prostate Cancer. Int. J. Radiat. Oncol. Biol. Phys. 2014, 88, 339–344. [Google Scholar] [CrossRef] [PubMed]
- Akthar, A.S.; Wong, A.C.; Parekh, A.D.; Hubert, G.; Son, C.H.; Pelizzari, C.A.; Liauw, S.L. Late Toxicity after Post-Prostatectomy Intensity Modulated Radiation Therapy: Evaluating Normal-Tissue Sparing Guidelines. Adv. Radiat. Oncol. 2018, 3, 339–345. [Google Scholar] [CrossRef]
- Jolnerovski, M.; Salleron, J.; Beckendorf, V.; Peiffert, D.; Baumann, A.-S.; Bernier, V.; Huger, S.; Marchesi, V.; Chira, C. Intensity-Modulated Radiation Therapy from 70Gy to 80Gy in Prostate Cancer: Six- Year Outcomes and Predictors of Late Toxicity. Radiat. Oncol. 2017, 12, 99. [Google Scholar] [CrossRef]
- Thor, M.; Deasy, J.O.; Paulus, R.; Robert Lee, W.; Amin, M.B.; Bruner, D.W.; Low, D.A.; Shah, A.B.; Malone, S.C.; Michalski, J.M.; et al. Tolerance Doses for Late Adverse Events after Hypofractionated Radiotherapy for Prostate Cancer on Trial NRG Oncology/RTOG 0415. Radiother. Oncol. 2019, 135, 19–24. [Google Scholar] [CrossRef]
- Parker, C.; Sydes, M.R.; Catton, C.; Kynaston, H.; Logue, J.; Murphy, C.; Morgan, R.C.; Mellon, K.; Morash, C.; Parulekar, W.; et al. Radiotherapy and Androgen Deprivation in Combination after Local Surgery (RADICALS): A New Medical Research Council/National Cancer Institute of Canada Phase III Trial of Adjuvant Treatment after Radical Prostatectomy. BJU Int. 2007, 99, 1376–1379. [Google Scholar] [CrossRef] [PubMed]
- Solanki, A.A.; Puckett, L.L.; Kujundzic, K.; Katsoulakis, E.; Park, J.; Kapoor, R.; Hagan, M.; Kelly, M.; Palta, J.; Ballas, L.K.; et al. Consensus Quality Measures and Dose Constraints for Prostate Cancer From the Veterans Affairs Radiation Oncology Quality Surveillance Program and American Society for Radiation Oncology Expert Panel. Pract. Radiat. Oncol. 2023, 13, e149–e165. [Google Scholar] [CrossRef]
- Marks, L.B.; Yorke, E.D.; Jackson, A.; Ten Haken, R.K.; Constine, L.S.; Eisbruch, A.; Bentzen, S.M.; Nam, J.; Deasy, J.O. Use of Normal Tissue Complication Probability Models in the Clinic. Int. J. Radiat. Oncol. Biol. Phys. 2010, 76, S10–S19. [Google Scholar] [CrossRef] [PubMed]
- Zwahlen, D.R.; Lang, S.; Hrbacek, J.; Glanzmann, C.; Kloeck, S.; Najafi, Y.; Streller, T.; Studer, G.; Zaugg, K.; Luetolf, U.M. The Use of Photon Beams of a Flattening Filter-Free Linear Accelerator for Hypofractionated Volumetric Modulated Arc Therapy in Localized Prostate Cancer. Int. J. Radiat. Oncol. Biol. Phys. 2012, 83, 1655–1660. [Google Scholar] [CrossRef] [PubMed]
- Christiansen, R.L.; Dysager, L.; Hansen, C.R.; Jensen, H.R.; Schytte, T.; Nyborg, C.J.; Bertelsen, A.S.; Agergaard, S.N.; Mahmood, F.; Hansen, S.; et al. Online Adaptive Radiotherapy Potentially Reduces Toxicity for High-Risk Prostate Cancer Treatment. Radiother. Oncol. 2022, 167, 165–171. [Google Scholar] [CrossRef] [PubMed]
- Rasmusson, E.; Gunnlaugsson, A.; Wieslander, E.; Höglund, P.; Widmark, A.; Fransson, P.; Kjellén, E.; Nilsson, P. Erectile Dysfunction and Absorbed Dose to Penile Base Structures in a Randomized Trial Comparing Ultrahypofractionated and Conventionally Fractionated Radiation Therapy for Prostate Cancer. Int. J. Radiat. Oncol. Biol. Phys. 2020, 107, 143–151. [Google Scholar] [CrossRef]
- Murray, J.; Tree, A.C. Prostate Cancer—Advantages and Disadvantages of MR-Guided RT. Clin. Transl. Radiat. Oncol. 2019, 18, 68–73. [Google Scholar] [CrossRef]
- Munoz, F.; Fiorica, F.; Caravatta, L.; Rosa, C.; Ferella, L.; Boldrini, L.; Fionda, B.; Alitto, A.R.; Nardangeli, A.; Dionisi, F.; et al. Outcomes and Toxicities of Re-Irradiation for Prostate Cancer: A Systematic Review on Behalf of the Re-Irradiation Working Group of the Italian Association of Radiotherapy and Clinical Oncology (AIRO). Cancer Treat. Rev. 2021, 95, 102176. [Google Scholar] [CrossRef] [PubMed]
- Zhong, J.; Brown, S.; Serra, M.; Shuttleworth, P.; Bownes, P.; Thompson, C.; Reed, R.; Reeves, K.; Dubec, M.; McHugh, D.; et al. Reirradiation Options for Previously Irradiated Prostate Cancer (RO-PIP): Feasibility Study Investigating Toxicity Outcomes Following Reirradiation with Stereotactic Body Radiotherapy (SBRT) versus High-Dose-Rate Brachytherapy (HDR-BT). BMJ Open 2022, 12, e068580. [Google Scholar] [CrossRef]






| Characteristics | Mean | Median | Range | IQR |
|---|---|---|---|---|
| Age [years] | ||||
| At diagnosis | 64.4 | 64.9 | 50.8–77.6 | 61.0–68.5 |
| At surgery | 64.8 | 65.2 | 51.1–77.8 | 61.4–69.3 |
| At radiotherapy | 68.3 | 68.9 | 51.6–83.4 | 64.6–72.9 |
| At survey | 71.0 | 72.1 | 53.4–85.6 | 66.6–75.9 |
| Follow-up after radiotherapy [years] | 2.7 | 2.3 | 0.2–7.6 | 1.2–4.0 |
| Pre-RT PSA [ng/mL] | 0.90 | 0.35 | 0.0–12.2 | 0.21–0.64 |
| Total dose to the prostate bed [Gy] | 71.8 | 72 | 70–76 | 72–72 |
| Dose per fraction [Gy] | 1.92 | 2 | 1.8–2 | 2–2 |
Disclaimer/Publisher’s Note: The statements, opinions and data contained in all publications are solely those of the individual author(s) and contributor(s) and not of MDPI and/or the editor(s). MDPI and/or the editor(s) disclaim responsibility for any injury to people or property resulting from any ideas, methods, instructions or products referred to in the content. |
© 2023 by the authors. Licensee MDPI, Basel, Switzerland. This article is an open access article distributed under the terms and conditions of the Creative Commons Attribution (CC BY) license (https://creativecommons.org/licenses/by/4.0/).
Share and Cite
Hanke, L.; Tang, H.; Schröder, C.; Windisch, P.; Kudura, K.; Shelan, M.; Buchali, A.; Bodis, S.; Förster, R.; Zwahlen, D.R. Dose-Volume Histogram Parameters and Quality of Life in Patients with Prostate Cancer Treated with Surgery and High-Dose Volumetric-Intensity-Modulated Arc Therapy to the Prostate Bed. Cancers 2023, 15, 3454. https://doi.org/10.3390/cancers15133454
Hanke L, Tang H, Schröder C, Windisch P, Kudura K, Shelan M, Buchali A, Bodis S, Förster R, Zwahlen DR. Dose-Volume Histogram Parameters and Quality of Life in Patients with Prostate Cancer Treated with Surgery and High-Dose Volumetric-Intensity-Modulated Arc Therapy to the Prostate Bed. Cancers. 2023; 15(13):3454. https://doi.org/10.3390/cancers15133454
Chicago/Turabian StyleHanke, Luca, Hongjian Tang, Christina Schröder, Paul Windisch, Ken Kudura, Mohamed Shelan, André Buchali, Stephan Bodis, Robert Förster, and Daniel R. Zwahlen. 2023. "Dose-Volume Histogram Parameters and Quality of Life in Patients with Prostate Cancer Treated with Surgery and High-Dose Volumetric-Intensity-Modulated Arc Therapy to the Prostate Bed" Cancers 15, no. 13: 3454. https://doi.org/10.3390/cancers15133454
APA StyleHanke, L., Tang, H., Schröder, C., Windisch, P., Kudura, K., Shelan, M., Buchali, A., Bodis, S., Förster, R., & Zwahlen, D. R. (2023). Dose-Volume Histogram Parameters and Quality of Life in Patients with Prostate Cancer Treated with Surgery and High-Dose Volumetric-Intensity-Modulated Arc Therapy to the Prostate Bed. Cancers, 15(13), 3454. https://doi.org/10.3390/cancers15133454

