Acinic Cell Carcinoma in the 21st Century: A Population-Based Study from the SEER Database and Review of Recent Molecular Genetic Advances
Abstract
Simple Summary
Abstract
1. Introduction
2. Methods
3. Results
3.1. Demographic Characteristics
3.2. Tumor Characteristics
3.3. Treatment Characteristics
3.4. Survival by Age, Sex, and Race
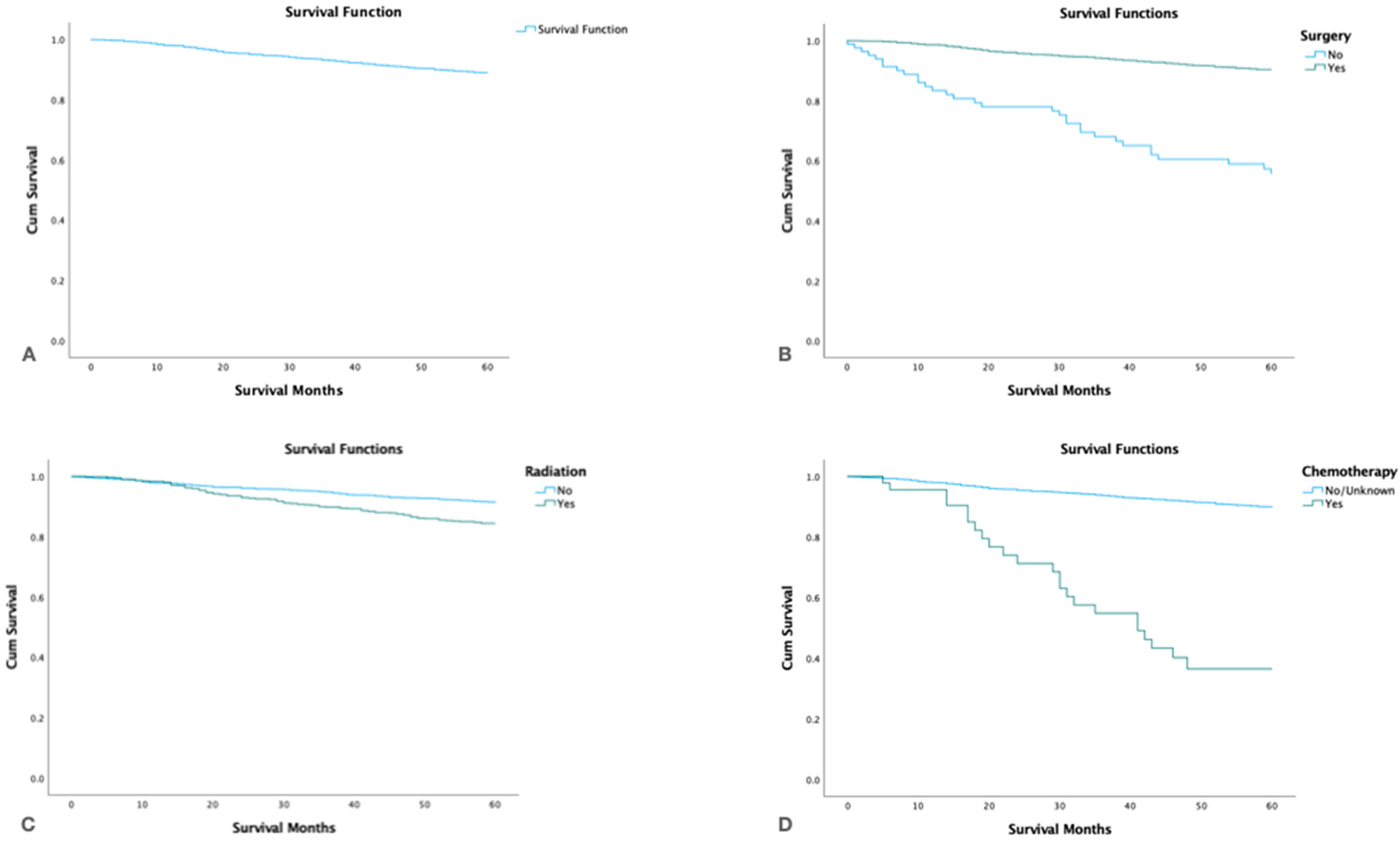
3.5. Survival by Treatment Modality
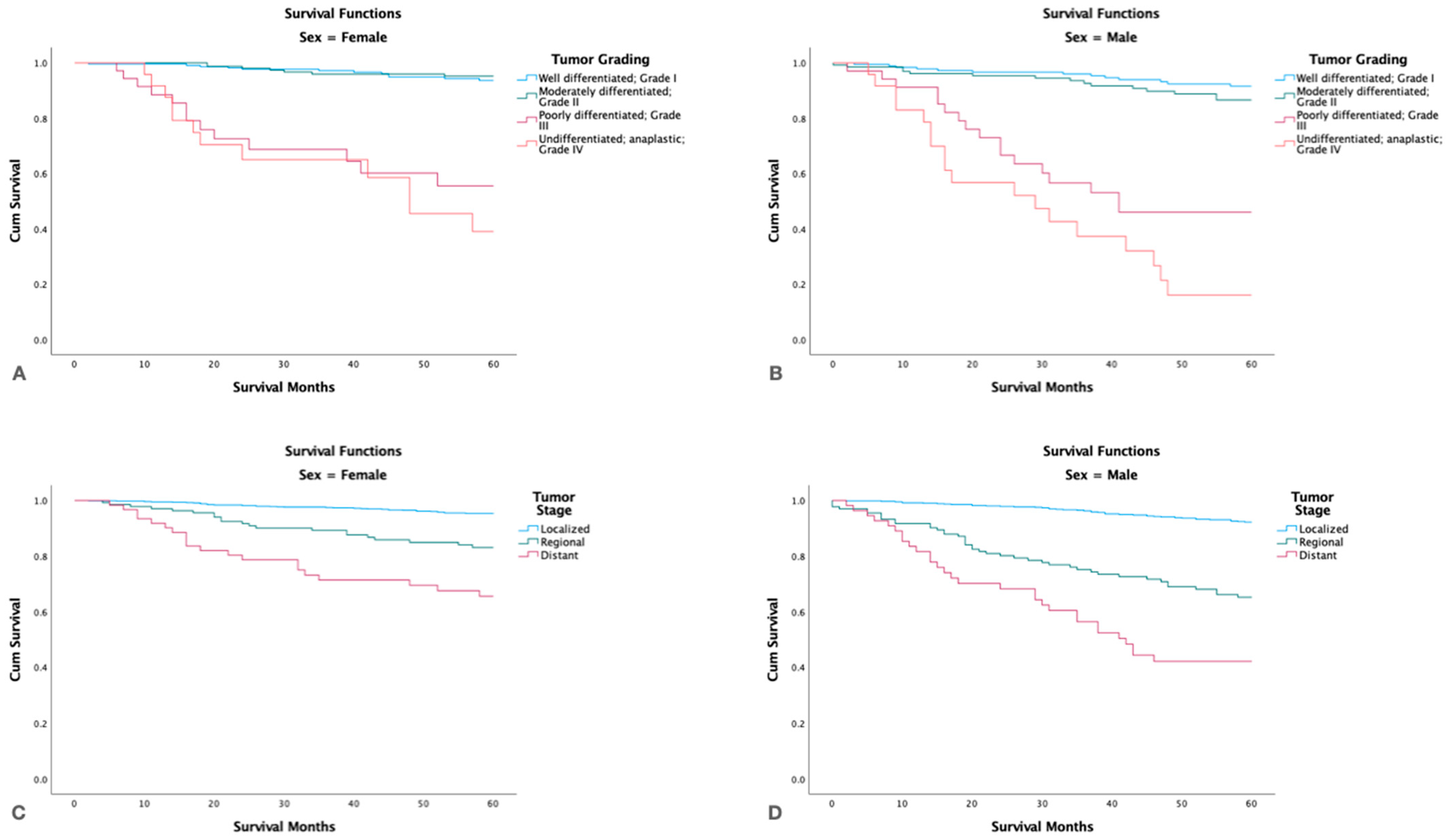
3.6. Survival by Tumor Grade, Stage, and Size
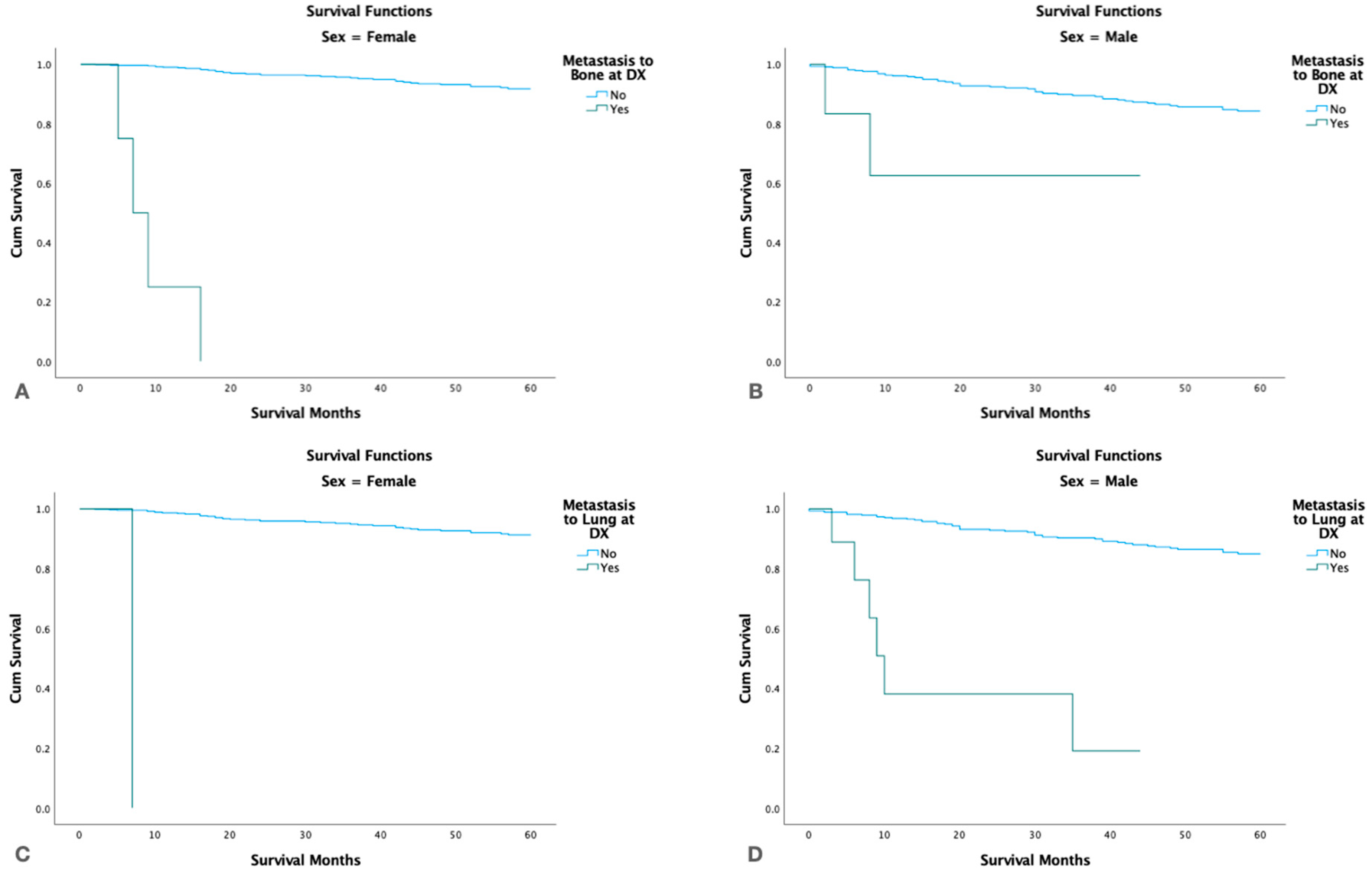
3.7. Survival with Distant Metastasis
3.8. Multivariate Analysis
4. Discussion
4.1. Recent Molecular Genetic Advances
4.2. Limitations
5. Conclusions
Author Contributions
Funding
Institutional Review Board Statement
Informed Consent Statement
Data Availability Statement
Conflicts of Interest
References
- Cavaliere, M.; De Luca, P.; Scarpa, A.; Savignano, L.; Cassandro, C.; Iemma, M. Acinic cell carcinoma of the parotid gland: From pathogenesis to management: A literature review. Eur. Arch. Oto-Rhino-Laryngol. 2020, 277, 2673–2679. [Google Scholar] [CrossRef] [PubMed]
- Neskey David, M.; Klein Jonah, D.; Hicks, S.; Garden Adam, S.; Bell Diana, M.; El-Naggar Adel, K.; Kies Merrill, S.; Weber Randal, S.; Kupferman Michael, E. Prognostic Factors Associated with Decreased Survival in Patients with Acinic Cell Carcinoma. JAMA Otolaryngol.–Head Neck Surg. 2013, 139, 1195. [Google Scholar] [CrossRef] [PubMed]
- Khosravi, M.H.; Bagherihagh, A.; Saeedi, M.; Dabirmoghaddam, P.; Kouhi, A.; Amirzade-Iranaq, M.H. Salivary Gland Cancers: A Survey through History, Classifications and Managements. In Diagnosis and Management of Head and Neck Cancer; IntechOpen: London, UK, 2017. [Google Scholar] [CrossRef]
- Kaya, E.A.; Taylor, Z.C.; Mitchell, B.J.; Guss, Z.D.; Bunn, J.D.; Fairbanks, R.K.; Lamoreaux, W.T.; Wagner, A.E.; Peressini, B.J.; Lee, C.M. Clinicopathologic Features and Survival Trends for Acinic Cell Carcinoma of the Major Salivary Glands: A Surveillance, Epidemiology, and End Results Population Analysis. World J. Oncol. 2020, 11, 188–196. [Google Scholar] [CrossRef]
- Quinn, C.; Robbins, J.R.; Shukla, M.E.; Firat, S.; Massey, B.; Schultz, C.J.; Wong, S.; Campbell, B.; Stadler, M. Acinic Cell Carcinoma of the Major Salivary Glands: Analysis of Prognostic Factors in 2950 patients. Int. J. Radiat. Oncol. Biol. Phys. 2018, 100, 1379. [Google Scholar] [CrossRef]
- Scherl, C.; Kato, M.G.; Erkul, E.; Graboyes, E.; Nguyen, S.A.; Chi, A.C.; Morgan, P.; Day, T.A. Outcomes and prognostic factors for parotid acinic cell Carcinoma: A National Cancer Database study of 2362 cases. Oral Oncol. 2018, 82, 53–60. [Google Scholar] [CrossRef]
- Chintakuntlawar, A.V.; Shon, W.; Erickson-Johnson, M.; Bilodeau, E.; Jenkins, S.M.; Davidson, J.A.; Keeney, M.G.; Rivera, M.; Price, D.L.; Moore, E.J.; et al. High-grade transformation of acinic cell carcinoma: An inadequately treated entity? Oral Surg. Oral Med. Oral Pathol. Oral Radiol. 2016, 121, 542–549.e1. [Google Scholar] [CrossRef] [PubMed]
- Xu, B.M.; Saliba, M.; Ho, A.; Viswanathan, K.; Alzumaili, B.; Dogan, S.; Ghossein, R.; Katabi, N. Head and Neck Acinic Cell Carcinoma: A New Grading System Proposal and Diagnostic Utility of NR4A3 Immunohistochemistry. Am. J. Surg. Pathol. 2022, 46, 933–941. [Google Scholar] [CrossRef]
- WHO Classification of Tumours Editorial Board. Head and Neck Tumours. Lyon (France): International Agency for Research on Cancer. In WHO Classification of Tumours Series, 5th ed.; 2022; Volume 9, Available online: https://publications.iarc.fr/ (accessed on 26 February 2023).
- Amin, M.B.; Edge, S.B.; Greene, F.L.; Byrd, D.R.; Brookland, R.K.; Washington, M.K.; Gershenwald, J.E.; Compton, C.C.; Hess, K.R.; Sullivan, D.C.; et al. AJCC Cancer Staging Manual, 8th ed.; Springer: New York, NY, USA, 2017. [Google Scholar]
- Skalova, A.; Sima, R.; Vanecek, T.; Muller, S.; Korabecna, M.; Nemcova, J.; Elmberger, G.; Leivo, I.; Passador-Santos, F.; Walter, J.; et al. Acinic cell carcinoma with high-grade transformation: A report of 9 cases with immunohistochemical study and analysis of TP53 and HER-2/neu genes. Am. J. Surg. Pathol. 2009, 33, 1137–1145. [Google Scholar] [CrossRef]
- Thompson, L.D.; Aslam, M.N.; Stall, J.N.; Udager, A.; Chiosea, S.; McHugh, J. Clinicopathologic and immunophenotypic characterization of 25 cases of acinic cell carcinoma with high-grade transformation. Head Neck Pathol. 2016, 10, 152–160. [Google Scholar] [CrossRef]
- Hoffman, H.T.; Karnell, L.H.; Robinson, R.A.; Pinkston, J.A.; Menck, H.R. National Cancer Data Base report on cancer of the head and neck: Acinic cell carcinoma. Head Neck 1999, 21, 297–309. [Google Scholar] [CrossRef]
- Xiao, C.C.; Zhan, K.Y.; White-Gilbertson, S.J.; Day, T.A. Predictors of Nodal Metastasis in Parotid Malignancies. Otolaryngol. Neck Surg. 2016, 154, 121–130. [Google Scholar] [CrossRef] [PubMed]
- Fang, Q.; Wu, J.; Du, W.; Zhang, X. Predictors of distant metastasis in parotid acinic cell carcinoma. BMC Cancer 2019, 19, 475. [Google Scholar] [CrossRef] [PubMed]
- Pang, Y.; Sun, L.; Liu, H.; Ma, J. Differential diagnosis and treatment of salivary secretory carcinoma and acinic cell carcinoma. Oral Oncol. 2021, 119, 105370. [Google Scholar] [CrossRef] [PubMed]
- Park, Y.M.; Yoon, S.O.; Kim, J.H.; Kang, M.S.; Kim, D.H.; Koh, Y.W.; Kim, S.-H.; Lim, J.-Y.; Choi, E.C. Comprehensive Analysis of Clinicopathologic Factors Predictive of an Unfavorable Prognosis in Patients with Acinic Cell Carcinoma of the Parotid Gland. Clin. Exp. Otorhinolaryngol. 2021, 14, 108–115. [Google Scholar] [CrossRef]
- Gomez Daniel, R.; Katabi, N.; Zhung, J.; Wolden Suzanne, L.; Zelefsky Michael, J.; Kraus Dennis, H.; Shah Jatin, P.; Wong Richard, J.; Ghossein Ronald, A.; Lee Nancy, Y. Clinical and pathologic prognostic fea-tures in acinic cell carcinoma of the parotid gland. Cancer 2009, 115, 2128–2137. [Google Scholar] [CrossRef]
- Mueller, S.K.; Haderlein, M.; Lettmaier, S.; Agaimy, A.; Haller, F.; Hecht, M.; Fietkau, R.; Iro, H.; Mantsopoulos, K. Targeted Therapy, Chemotherapy, Immunotherapy and Novel Treatment Options for Different Subtypes of Salivary Gland Cancer. J. Clin. Med. 2022, 11, 720. [Google Scholar] [CrossRef]
- Yibulayin, F.; Feng, L.; Wang, M.; Lu, M.M.; Luo, Y.; Liu, H.; Yang, Z.C.; Wushou, A. Head & neck acinar cell carcinoma: A population-based study using the seer registry. BMC Cancer 2020, 20, 631. [Google Scholar] [CrossRef]
- Biron, V.L.; Lentsch, E.J.; Gerry, D.R.; Bewley, A.F. Factors influencing survival in acinic cell carcinoma: A retrospective survival analysis of 2061 patients. Head Neck 2015, 37, 870–877. [Google Scholar] [CrossRef]
- Haller, F.; Skálová, A.; Ihrler, S.; Bruno, M.; Bieg, M.; Moskalev, E.A.; Erber, R.; Blank, S.; Winkelmann, C.; Hebele, S.; et al. Nuclear NR4A3 Immunostaining Is a Specific and Sensitive Novel Marker for Acinic Cell Carcinoma of the Salivary Glands. Am. J. Surg. Pathol. 2019, 43, 1264–1272. [Google Scholar] [CrossRef]
- Filion, C.; Motoi, T.; Olshen, A.B.; Laé, M.; Emnett, R.J.; Gutmann, D.H.; Perry, A.; Ladanyi, M.; Labelle, Y. The EWSR1/NR4A3 fusion protein of extraskeletal myxoid chondrosarcoma activates the PPARG nuclear receptor gene. J. Pathol. 2009, 217, 83–93. [Google Scholar] [CrossRef]
- Ross, J.S.; Gay, L.M.; Wang, K.; Vergilio, J.A.; Suh, J.; Ramkissoon, S.; Somerset, H.; Johnson, J.M.; Russell, J.; Ali, S.; et al. Comprehensive genomic profiles of metastatic and relapsed salivary gland carcinomas are as-sociated with tumor type and reveal new routes to targeted therapies. Ann. Oncol. 2017, 28, 2539–2546. [Google Scholar] [CrossRef] [PubMed]
- Porcheri, C.; Meisel, C.T.; Mitsiadis, T.A. Molecular and Cellular Modelling of Salivary Gland Tumors Open New Landscapes in Diagnosis and Treatment. Cancers 2020, 12, 3107. [Google Scholar] [CrossRef] [PubMed]
- Haller, F.; Bieg, M.; Will, R.; Körner, C.; Weichenhan, D.; Bott, A.; Ishaque, N.; Lutsik, P.; Moskalev, E.A.; Mueller, S.K.; et al. Enhancer hijacking activates oncogenic transcription factor NR4A3 in acinic cell carcinomas of the salivary glands. Nat. Commun. 2019, 10, 368. [Google Scholar] [CrossRef]
- Herz, H.M. Enhancer deregulation in cancer and other diseases. Bioessays 2016, 38, 1003–1015. [Google Scholar] [CrossRef]
- Gröschel, S.; Sanders, M.A.; Hoogenboezem, R.; de Wit, E.; Bouwman, B.A.M.; Erpelinck, C.; van der Velden, V.H.J.; Haver-mans, M.; Avellino, R.; van Lom, K.; et al. A single oncogenic enhancer rearrangement causes concomi-tant EVI1 and GATA2 deregulation in leukemia. Cell 2014, 157, 369–381. [Google Scholar] [CrossRef] [PubMed]
- Skalova, A. Mammary Analogue Secretory Carcinoma of Salivary Gland Origin: An Update and Expanded Morphologic and Immunohistochemical Spectrum of Recently Described Entity. Head Neck Pathol. 2013, 7 (Suppl. S1), S30–S36. [Google Scholar] [CrossRef]







| Variable | N (%) |
|---|---|
| Total Subjects | 2226 (100.0) |
| Age in years (Mean ± SD) | 51.2 ± 18.7 |
| Sex n (%) | |
| Male | 912 (41.0) |
| Female | 1314 (59.0) |
| Race n (%) | |
| White | 1791 (81.6) |
| African American | 206 (9.4) |
| Asian or Pacific Islander | 188 (8.6) |
| American Indian/Alaskan Native | 10 (0.5) |
| Tumor Grade (N = 836) n (%) | |
|---|---|
| Well Differentiated | 415 (49.6) |
| Moderately Differentiated | 304 (36.4) |
| Poorly Differentiated | 69 (8.3) |
| Undifferentiated | 48 (5.7) |
| Tumor Stage (N = 2010) n (%) | |
| Localized | 1621 (80.6) |
| Regional | 272 (13.5) |
| Distant | 117 (5.8) |
| Tumor Size (N = 1317) | n (%) |
| <2 cm | 547 (41.5) |
| 2–4 cm | 619 (47.0) |
| >4 cm | 151 (11.5) |
| Lymph Node Status (N = 1426) n (%) | |
| Positive N (%) | 162 (11.4) |
| Negative N (%) | 1264 (88.6) |
| Distant Metastasis (N = 25) n (%) | |
| Lung N (%) | 11 (44.0) |
| Bone N (%) | 10 (40.0) |
| Liver N (%) | 3 (12.0) |
| Brain N (%) | 1 (4.0) |
| Treatment (N = 2101) | n (%) |
|---|---|
| Surgery Only | 1337 (63.6) |
| Radiation(RT) After Surgery | 695 (33.1) |
| Chemotherapy (QT) | 38 (1.8) |
| Combined Surgery, RT, and QT | 31 (1.5) |
| Survival | Male % (95%CI) | Female % (95%CI) | White % (95%CI) | Black % (95%CI) | American Indian/Asians/Pacific Islander % (95%CI) |
|---|---|---|---|---|---|
| 1 year | 98.8 (97.6–99.4) | 99.3 (98.6–99.7) | 99.2 (98.5–99.5) | 97.7 (94.0–99.1) | 100 |
| 2 years | 97.0 (95.5–98.0) | 97.9 (96.8–98.6) | 97.3 (96.3–98.0) | 97.1 (93.1–98.8) | 100 |
| 3 years | 94.8 (92.9–96.3) | 97.3 (96.0–98.1) | 95.8 (94.6–96.8) | 96.4 (92.3–98.4) | 100 |
| 4 years | 93.2 (90.9–94.9) | 96.8 (95.5–97.7) | 94.7 (93.3–95.8) | 96.4 (92.3–98.4) | 99.2 (94.7–99.9) |
| 5 years | 91.9 (89.5–93.8) | 96.3 (94.9–97.3) | 93.8 (92.3–95.0) | 95.7 (91.2–98.0) | 99.2 (94.7–99.9) |
| Survival | Overall 5-Year. % (95%CI) | Cause Specific 5-Year. % (95%CI) | Surgery (S) % (95%CI) | S and Radiation (RT) % (95%CI) | Chemotherapy (QT) % (95%CI) | Combined S, RT, and QT % (95%CI) |
|---|---|---|---|---|---|---|
| 1 year | 98.5 (97.8–98.9) | 99.1 (98.6–99.5) | 99.4 (98.9–99.7) | 99.5 (98.6–99.9) | 100.0 | 100.0 |
| 2 years | 96.0 (95.0–96.8) | 97.6 (96.7–98.2) | 97.9 (97.1–98.5) | 96.1 (94.3–97.4) | 81.7 (61.4–92.0) | 77.4 (54.0–89.9) |
| 3 years | 94.2 (93.0–95.2) | 96.3 (95.3–97.1) | 96.8 (95.8–97.6) | 93.7 (91.4–95.4) | 63.1 (42.3–78.2) | 63.8 (40.4–80.0) |
| 4 years | 92.4 (91.1–93.6) | 95.4 (94.2–96.3) | 95.8 (94.7–96.7) | 91.8 (89.2–93.8) | 46.3 (26.5–64.0) | 44.1 (23.0–63.5) |
| 5 years | 90.6 (89.1–91.9) | 94.6 (93.3–95.6) | 95.0 (93.7–96.0) | 89.8 (87.0–92.0) | 41.7 (22.5–59.9) | 38.6 (18.4–58.5) |
| Variables | Univariate Analysis | Multivariate Analysis | |
|---|---|---|---|
| ANOVA F Value (p-Value) | Hazard Ratio (p-Value) | 95% Confidence Interval | |
| Undifferentiated | 27.3 (<0.001) | 8.3 (<0.001) | 4.0–17.2 |
| Poorly Differentiated | 27.3 (<0.001) | 6.4 (<0.001) | 3.1–13.1 |
| Distant Metastasis | 30.7 (<0.001) | 5.3 (<0.001) | 2.8–10.2 |
| Age > 50 | 26.4 (<0.001) | 3.5 (<0.001) | 1.8–6.7 |
| Tumor Size > 4 cm | 28.1 (<0.001) | 2.5 (0.006) | 1.3–4.9 |
Disclaimer/Publisher’s Note: The statements, opinions and data contained in all publications are solely those of the individual author(s) and contributor(s) and not of MDPI and/or the editor(s). MDPI and/or the editor(s) disclaim responsibility for any injury to people or property resulting from any ideas, methods, instructions or products referred to in the content. |
© 2023 by the authors. Licensee MDPI, Basel, Switzerland. This article is an open access article distributed under the terms and conditions of the Creative Commons Attribution (CC BY) license (https://creativecommons.org/licenses/by/4.0/).
Share and Cite
Khan, J.; Ullah, A.; Goodbee, M.; Lee, K.T.; Yasinzai, A.Q.K.; Lewis, J.S., Jr.; Mesa, H. Acinic Cell Carcinoma in the 21st Century: A Population-Based Study from the SEER Database and Review of Recent Molecular Genetic Advances. Cancers 2023, 15, 3373. https://doi.org/10.3390/cancers15133373
Khan J, Ullah A, Goodbee M, Lee KT, Yasinzai AQK, Lewis JS Jr., Mesa H. Acinic Cell Carcinoma in the 21st Century: A Population-Based Study from the SEER Database and Review of Recent Molecular Genetic Advances. Cancers. 2023; 15(13):3373. https://doi.org/10.3390/cancers15133373
Chicago/Turabian StyleKhan, Jaffar, Asad Ullah, Mya Goodbee, Kue Tylor Lee, Abdul Qahar Khan Yasinzai, James S. Lewis, Jr., and Hector Mesa. 2023. "Acinic Cell Carcinoma in the 21st Century: A Population-Based Study from the SEER Database and Review of Recent Molecular Genetic Advances" Cancers 15, no. 13: 3373. https://doi.org/10.3390/cancers15133373
APA StyleKhan, J., Ullah, A., Goodbee, M., Lee, K. T., Yasinzai, A. Q. K., Lewis, J. S., Jr., & Mesa, H. (2023). Acinic Cell Carcinoma in the 21st Century: A Population-Based Study from the SEER Database and Review of Recent Molecular Genetic Advances. Cancers, 15(13), 3373. https://doi.org/10.3390/cancers15133373

