In Situ/Microinvasive Adenocarcinoma of the Uterine Cervix and HPV-Type Impact: Pathologic Features, Treatment Options, and Follow-Up Outcomes—Cervical Adenocarcinoma Study Group (CAS-Group)
Abstract
Simple Summary
Abstract
1. Introduction
2. Materials and Methods
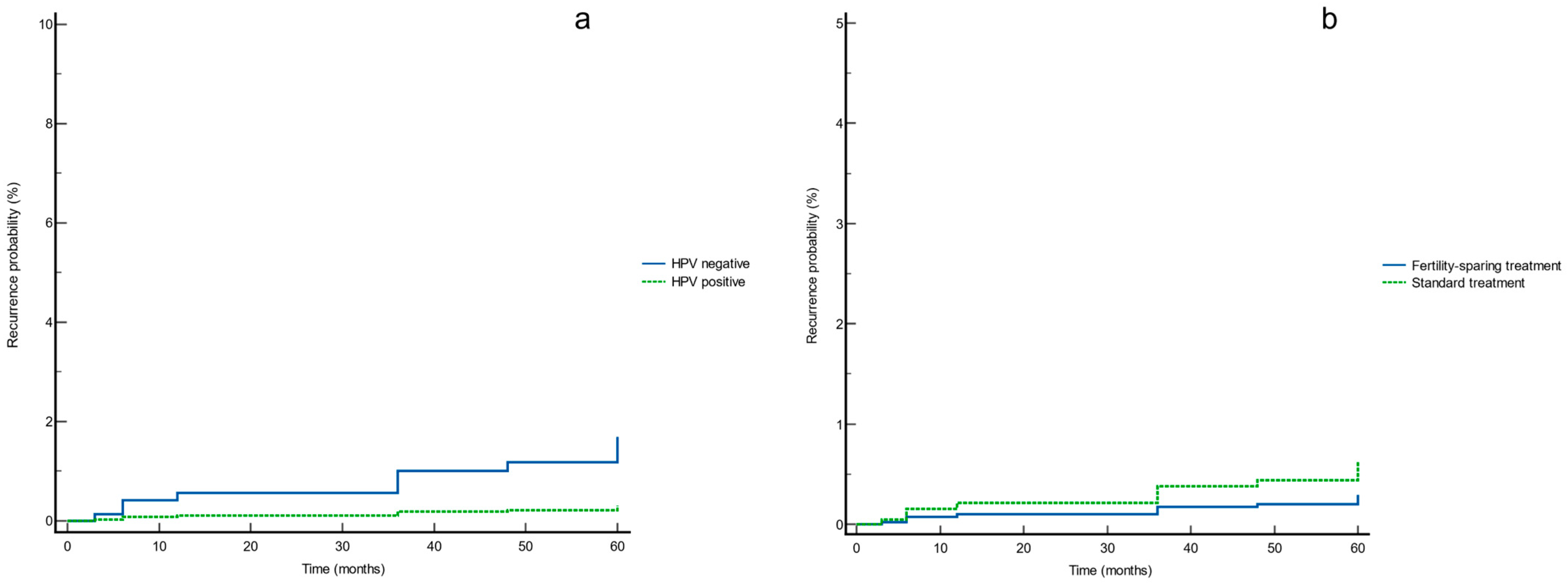
3. Results
4. Discussion
5. Conclusions
Author Contributions
Funding
Institutional Review Board Statement
Informed Consent Statement
Data Availability Statement
Conflicts of Interest
References
- Bray, F.; Carstensen, B.; Møller, H.; Zappa, M.; Žakelj, M.P.; Lawrence, G.; Hakama, M.; Weiderpass, E. Incidence trends of adenocarcinoma of the cervix in 13 European countries. Cancer Epidemiol. Biomark. Prev. 2005, 14, 2191–2199. [Google Scholar] [CrossRef] [PubMed]
- Liverani, C.A.; Di Giuseppe, J.; Giannella, L.; Delli Carpini, G.; Ciavattini, A. Cervical Cancer Screening Guidelines in the Postvaccination Era: Review of the Literature. J. Oncol. 2020, 2020, 8887672. [Google Scholar] [CrossRef] [PubMed]
- Ciavattini, A.; Giannella, L.; De Vincenzo, R.; Di Giuseppe, J.; Papiccio, M.; Lukic, A.; Delli Carpini, G.; Perino, A.; Frega, A.; Sopracordevole, F.; et al. HPV Vaccination: The Position Paper of the Italian Society of Colposcopy and Cervico-Vaginal Pathology (SICPCV). Vaccines 2020, 8, 354. [Google Scholar] [CrossRef] [PubMed]
- Park, K.J. Cervical adenocarcinoma: Integration of HPV status, pattern of invasion, morphology and molecular markers into classification. Histopathology 2020, 76, 112–127. [Google Scholar] [CrossRef]
- Fontham, E.T.H.; Wolf, A.M.D.; Church, T.R.; Etzioni, R.; Flowers, C.R.; Herzig, A.; Guerra, C.E.; Oeffinger, K.C.; Shih, Y.T.; Walter, L.C.; et al. Cervical cancer screening for individuals at average risk: 2020 guideline update from the American Cancer Society. CA Cancer J. Clin. 2020, 70, 321–346. [Google Scholar] [CrossRef]
- Talaat, A.; Brinkmann, D.; Dhundee, J.; Hana, Y.; Bevan, J.; Irvine, R.; Bailey, S.; Woolas, R. Risk of significant gynaecological pathology in women with glandular neoplasia on cervical cytology. Cytopathology 2012, 23, 371–377. [Google Scholar] [CrossRef]
- Ciavattini, A.; Giannella, L.; Delli Carpini, G.; Tsiroglou, D.; Sopracordevole, F.; Chiossi, G.; Di Giuseppe, J. Italian Society of Colposcopy and Cervico-Vaginal Pathology (SICPCV). Adenocarcinoma in situ of the uterine cervix: Clinical practice guidelines from the Italian society of colposcopy and cervical pathology (SICPCV). Eur. J. Obstet. Gynecol. Reprod. Biol. 2019, 240, 273–277. [Google Scholar] [CrossRef]
- Giannella, L.; Rossi, P.G.; Carpini, G.D.; Di Giuseppe, J.; Bogani, G.; Gardella, B.; Monti, E.; Liverani, C.A.; Ghelardi, A.; Insinga, S.; et al. Age-related distribution of uncommon HPV genotypes in cervical intraepithelial neoplasia grade 3. Gynecol. Oncol. 2021, 161, 741–747. [Google Scholar] [CrossRef]
- Teoh, D.; Musa, F.; Salani, R.; Huh, W.; Jimenez, E. Diagnosis and Management of Adenocarcinoma in Situ: A Society of Gynecologic Oncology Evidence-Based Review and Recommendations. Obstet. Gynecol. 2020, 135, 869–878. [Google Scholar] [CrossRef]
- Stolnicu, S.; Barsan, I.; Hoang, L.; Patel, P.; Terinte, C.; Pesci, A.; Aviel-Ronen, S.; Kiyokawa, T.; Alvarado-Cabrero, I.; Oliva, E.; et al. Stromal invasion pattern identifies patients at lowest risk of lymph node metastasis in HPV-associated endocervical adenocarcinomas, but is irrelevant in adenocarcinomas unassociated with HPV. Gynecol. Oncol. 2018, 150, 56–60. [Google Scholar] [CrossRef]
- Giannella, L.; Di Giuseppe, J.; Delli Carpini, G.; Grelloni, C.; Fichera, M.; Sartini, G.; Caimmi, S.; Natalini, L.; Ciavattini, A. HPV-Negative Adenocarcinomas of the Uterine Cervix: From Molecular Characterization to Clinical Implications. Int. J. Mol. Sci. 2022, 23, 15022. [Google Scholar] [CrossRef]
- Baalbergen, A.; Smedts, F.; Ewing, P.; Snijders, P.J.; Meijer, C.J.; Helmerhorst, T.J. HPV-type has no impact on survival of patients with adenocarcinoma of the uterine cervix. Gynecol. Oncol. 2013, 128, 530–534. [Google Scholar] [CrossRef]
- Gazzetta Ufficiale della Repubblica Italiana. Available online: https://www.gazzettaufficiale.it/eli/gu/2012/03/26/72/sg/pdf (accessed on 1 April 2023).
- Seoud, M.; Tjalma, W.A.; Ronsse, V. Cervical adenocarcinoma: Moving towards better prevention. Vaccine 2011, 29, 9148–9158. [Google Scholar] [CrossRef]
- FIGO Committee on Gynecologic Oncology. FIGO staging for carcinoma of the vulva, cervix, and corpus uteri. Int. J. Gynaecol. Obstet. 2014, 125, 97–98. [Google Scholar] [CrossRef]
- Kurman, R.J.; Carcangiu, M.L.; Herrington, C.S.; Young, R.H. WHO Classification of Tumours of the Female Reproductive Organs, 4th ed.; IARC: Lyon, France, 2014. [Google Scholar]
- Koh, W.J.; Abu-Rustum, N.R.; Bean, S.; Bradley, K.; Campos, S.M.; Cho, K.R.; Chon, H.S.; Chu, C.; Clark, R.; Cohn, D.; et al. Cervical Cancer, Version 3.2019, NCCN Clinical Practice Guidelines in Oncology. J. Natl. Compr. Cancer Netw. 2019, 17, 64–84. [Google Scholar] [CrossRef]
- Perkins, R.B.; Guido, R.S.; Castle, P.E.; Chelmow, D.; Einstein, M.H.; Garcia, F.; Huh, W.K.; Kim, J.J.; Moscicki, A.-B.; Nayar, R.; et al. 2019 ASCCP Risk-Based Management Consensus Guidelines Committee. 2019 ASCCP Risk-Based Management Consensus Guidelines for Abnormal Cervical Cancer Screening Tests and Cancer Precursors. J. Low. Genit. Tract Dis. 2020, 24, 102–131. [Google Scholar] [CrossRef]
- Baalbergen, A.; Helmerhorst, T.J. Adenocarcinoma in situ of the uterine cervix—A systematic review. Int. J. Gynecol. Cancer 2014, 24, 1543–1548. [Google Scholar] [CrossRef]
- Bean, L.M.; Ward, K.K.; Plaxe, S.C.; McHale, M.T. Survival of women with microinvasive adenocarcinoma of the cervix is not improved by radical surgery. Am. J. Obstet. Gynecol. 2017, 217, 332.e1–332.e6. [Google Scholar] [CrossRef]
- Belkić, K.; Andersson, S.; Alder, S.; Mints, M.; Megyessi, D. Predictors of treatment failure for adenocarcinoma in situ of the uterine cervix: Up to 14 years of recorded follow-up. Oncol. Lett. 2022, 24, 357. [Google Scholar] [CrossRef]
- Costa, S.; Venturoli, S.; Negri, G.; Sideri, M.; Preti, M.; Pesaresi, M.; Falasca, A.; Barbieri, D.; Zerbini, M.; Santini, D.; et al. Factors predicting the outcome of conservatively treated adenocarcinoma in situ of the uterine cervix: An analysis of 166 cases. Gynecol. Oncol. 2012, 124, 490–495. [Google Scholar] [CrossRef]
- Baalbergen, A.; Smedts, F.; Helmerhorst, T.J. Conservative therapy in microinvasive adenocarcinoma of the uterine cervix is justified: An analysis of 59 cases and a review of the literature. Int. J. Gynecol. Cancer 2011, 21, 1640–1645. [Google Scholar] [CrossRef] [PubMed]
- Liu, J.; Wang, Y.; Wan, X.; Zou, J.; Zhu, Y.; Lv, W.; Shen, Y. Comparison of the safety between cervical conization and hysterectomy for patients with cervical adenocarcinoma in situ. J. Gynecol. Oncol. 2023, 34, e8. [Google Scholar] [CrossRef] [PubMed]
- Giannella, L.; Fodero, C.; Boselli, F.; Rubino, T.; Mfuta, K.; Prandi, S. Age-related changes in pre- and post-conization HPV genotype distribution among women with high-grade cervical intraepithelial neoplasia. Int. J. Gynaecol. Obstet. 2017, 137, 72–77. [Google Scholar] [CrossRef] [PubMed]
- Stolnicu, S.; Hoang, L.; Soslow, R.A. Recent advances in invasive adenocarcinoma of the cervix. Virchows Arch. 2019, 475, 537–549. [Google Scholar] [CrossRef]
- Rodríguez-Carunchio, L.; Soveral, I.; Steenbergen, R.D.; Torné, A.; Martinez, S.; Fusté, P.; Pahisa, J.; Marimon, L.; Ordi, J.; del Pino, M. HPV-negative carcinoma of the uterine cervix: A distinct type of cervical cancer with poor prognosis. BJOG Int. J. Obstet. Gynaecol. 2015, 122, 119–127. [Google Scholar] [CrossRef]
- Dabić, M.M.; Nola, M.; Tomicić, I.; Dotlić, S.; Petrovecki, M.; Jukić, S. Adenocarcinoma of the uterine cervix: Prognostic significance of clinicopathologic parameters, flow cytometry analysis and HPV infection. Acta Obstet. Gynecol. Scand. 2008, 87, 366–372. [Google Scholar] [CrossRef]
- Bogani, G.; Ghelardi, A.; Sopracordevole, F.; Annoni, M.; Ciavattini, A.; Giannella, L.; De Vincenzo, R.; Cattani, P.; Barbero, M.; Vercellini, P.; et al. Human papillomavirus (HPV) vaccination: A call for action in Italy. Int. J. Gynecol. Cancer 2023, ijgc-2023. [Google Scholar] [CrossRef]
- Lai, C.-H.; Chang, C.-J.; Huang, H.-J.; Hsueh, S.; Chao, A.; Yang, J.-E.; Lin, C.-T.; Huang, S.-L.; Hong, J.-H.; Chou, H.-H.; et al. Role of human papillomavirus genotype in prognosis of early-stage cervical cancer undergoing primary surgery. J. Clin. Oncol. 2007, 25, 3628–3634. [Google Scholar] [CrossRef]
- Kim, J.Y.; Nam, B.H.; Lee, J.A. Is human papillomavirus genotype an influencing factor on radiotherapy outcome? Ambiguity caused by an association of HPV 18 genotype and adenocarcinoma histology. J. Gynecol. Oncol. 2011, 22, 32–38. [Google Scholar] [CrossRef]
- Molijn, A.; Jenkins, D.; Chen, W.; Zhang, X.; Pirog, E.; Enqi, W.; Liu, B.; Schmidt, J.; Cui, J.; Qiao, Y.; et al. Chinese HPV Typing Group. The complex relationship between human papillomavirus and cervical adenocarcinoma. Int. J. Cancer 2016, 138, 409–416. [Google Scholar] [CrossRef]
- Jenkins, D.; Molijn, A.; Kazem, S.; Pirog, E.C.; Alemany, L.; de Sanjosé, S.; Dinjens, W.; Quint, W. Molecular and pathological basis of HPV-negative cervical adenocarcinoma seen in a global study. Int. J. Cancer 2020, 147, 2526–2536. [Google Scholar] [CrossRef]



| Independent Variables | n (%) (Sample Size = 148) |
|---|---|
| Age (years) (median and interquartile ranges) | 40.5 (34.0–49.0) |
| Menopause | 26 (17.6) |
| Nulligravid | 66 (44.6) |
| Smoking habit | 38 (25.6) |
| Vaccinated | 10 (6.8) |
| Conization Type | |
| CKC | 11 (7.4) |
| Laser conization | 36 (24.3) |
| LEEP | 101 (68.2) |
| Cone length (mm) (median and interquartile ranges) | 16.5 (13.0–21.0) |
| Pap Test | |
| Negative | 5 (3.4) |
| ASCUS/LSIL | 18 (12.2) |
| ASCH+ | 94 (63.5) |
| AGC-NOS | 19 (12.8) |
| AGC-FN | 4 (2.7) |
| AIS | 8 (5.4) |
| Definitive Treatment | |
| Fertility-sparing | 85 (57.4) |
| Standard treatment | 63 (42.6) |
| HPV status | |
| Positive | 124 (83.8) |
| Negative | 24 (16.2) |
| Adnexa | |
| Salpingo-oophorectomy | 41 (27.7) |
| Salpingectomy | 15 (10.1) |
| Not performed | 92 (62.2) |
| Positive LVS | 16 (10.8) |
| Stage | |
| 1A1 | 23 (15.5) |
| 1A2 | 21 (14.2) |
| AIS | 104 (70.3) |
| Histopatology | |
| Clear cell | 1 (0.7) |
| Endometrioid | 1 (0.7) |
| Gastric type | 1 (0.7) |
| Serous | 1 (0.7) |
| Signet ring cell | 1 (0.7) |
| Intestinal type | 10 (6.8) |
| Mucinous-NOS | 5 (3.4) |
| Usual type | 120 (81.1) |
| Villoglandular | 8 (5.4) |
| Positive hr-HPV in follow-up | 29 (19.6) |
| Positive Pap test in follow-up | |
| ASCUS/LSIL | 5 (3.4) |
| ASCH+ | 7 (4.7) |
| Recurrence | |
| AIS | 4 (2.7) |
| VAIN 2/3 | 2 (1.3) |
| CIN 3 | 1 (0.7) |
| Invasive glandular | 3 (2.0) |
| Invasive squamous | 1 (0.7) |
| Time to recurrence (mean ± standard deviation, months) | 33.0 ± 22.9 |
| Time to HPV positivity (mean ± standard deviation, months) | 26.4 ± 18.9 |
| Independent Variables | HPV-Positive (124) n (%) | HPV-Negative (24) n (%) | p Value |
|---|---|---|---|
| Age (median and interquartile ranges, years) | 39.5 (34.0–48.0) | 47 (35.5–56.5) | 0.032 |
| Menopause | 18 (14.5) | 8 (33.3) | 0.027 |
| Nulligravid | 59 (47.6) | 7 (29.2) | 0.098 |
| Smoking habit | 29 (23.4) | 9 (37.5) | 0.148 |
| Vaccinated | 10 (8.1) | 0 (0.0) | 0.151 |
| Conization Type | 0.425 | ||
| CKC | 8 (6.5) | 3 (12.5) | |
| Laser C | 32 (25.8) | 4 (16.7) | |
| LEEP | 84 (67.7) | 17 (70.8) | |
| Cone length (median and interquartile ranges, mm) | 16.5 (13.0–20.5) | 16.5 (15.0–25.0) | 0.485 |
| Pap Test | 0.336 | ||
| Negative | 3 (2.4) | 2 (8.3) | |
| ASCUS/LSIL | 15 (12.1) | 3 (12.5) | |
| ASCH+ | 106 (85.5) | 19 (79.2) | |
| Definitive Treatment | 0.089 | ||
| Fertility-sparing | 75 (60.5) | 10 (41.7) | |
| Standard treatment | 49 (39.5) | 14 (58.3) | |
| Adnexa | 0.094 | ||
| Salpingo-oophorectomy | 30 (24.2) | 11 (45.8) | |
| Salpingectomy | 13 (10.5) | 2 (8.3) | |
| Positive LVS | 9 (7.3) | 7 (29.2) | 0.001 |
| Stage | 0.642 | ||
| 1A1 | 18 (14.5) | 5 (20.8) | |
| 1A2 | 17 (13.7) | 4 (16.7) | |
| AIS | 89 (71.8) | 15 (62.5) | |
| Histopatology | 0.049 | ||
| Usual type | 104 (83.9) | 16 (66.7) | |
| Other histology type | 20 (16.1) | 8 (33.3) | |
| Positive hr-HPV in follow-up | 28 (22.6) | 1 (4.2) | 0.038 |
| Positive Pap test in follow-up | 0.415 | ||
| ASCUS/LSIL | 5 (4.0) | 0 (0.0) | |
| ASCH+ | 5 (4.0) | 2 (8.3) | |
| Negative | 114 (91.9) | 22 (91.7) | |
| Recurrence | 0.457 | ||
| In situ disease | 5 (4.0) | 2 (8.3) | |
| Invasive disease | 4 (3.2) | 0 (0.0) | |
| No recurrence | 115 (92.8) | 22 (91.7) | |
| Time to recurrence (mean ± standard deviation)—Months | 36.0 ± 23.0 | 19.5 ± 23.33 | 0.384 |
| Predictor Variables | Coefficient b | Standard Error | Exp(b) | 95% CI of Exp(b) |
|---|---|---|---|---|
| Age | −0.084 | 0.051 | 0.91 | 0.83 to 1.01 |
| Histopatology = other histology | 0.66 | 0.64 | 1.94 | 0.54 to 6.94 |
| Menopause | - | - | - | - |
| Lymphovascular space involvement = yes | 0.49 | 1.00 | 1.64 | 0.22 to 11.75 |
| HPV test in follow-up = positive | 2.98 | 0.97 | 19.74 | 2.91 to 133.81 |
| Definitive treatment = standard treatment | 0.77 | 0.74 | 2.17 | 0.50 to 9.34 |
| HPV status = negative HPV | 1.71 | 1.18 | 5.56 | 0.54 to 57.01 |
| Recurrence Type | HPV Genotypes n (%) | ||||
|---|---|---|---|---|---|
| HPV-16 | HPV-18 | HPV-45 | Other HPVs | Multiple Infections | |
| No recurrence | 19 (28.4) | 15 (22.4) | 5 (7.5) | 8 (11.9) | 20 (29.9) |
| In situ recurrence | 1 (20) | 3 (60) | 1 (20) | 0 (0.0) | 0 (0.0) |
| Invasive recurrence | 1 (25) | 3 (75) | 0 (0.0) | 0 (0.0) | 0 (0.0) |
Disclaimer/Publisher’s Note: The statements, opinions and data contained in all publications are solely those of the individual author(s) and contributor(s) and not of MDPI and/or the editor(s). MDPI and/or the editor(s) disclaim responsibility for any injury to people or property resulting from any ideas, methods, instructions or products referred to in the content. |
© 2023 by the authors. Licensee MDPI, Basel, Switzerland. This article is an open access article distributed under the terms and conditions of the Creative Commons Attribution (CC BY) license (https://creativecommons.org/licenses/by/4.0/).
Share and Cite
Giannella, L.; Delli Carpini, G.; Di Giuseppe, J.; Bogani, G.; Sopracordevole, F.; Clemente, N.; Giorda, G.; De Vincenzo, R.P.; Evangelista, M.T.; Gardella, B.; et al. In Situ/Microinvasive Adenocarcinoma of the Uterine Cervix and HPV-Type Impact: Pathologic Features, Treatment Options, and Follow-Up Outcomes—Cervical Adenocarcinoma Study Group (CAS-Group). Cancers 2023, 15, 2876. https://doi.org/10.3390/cancers15112876
Giannella L, Delli Carpini G, Di Giuseppe J, Bogani G, Sopracordevole F, Clemente N, Giorda G, De Vincenzo RP, Evangelista MT, Gardella B, et al. In Situ/Microinvasive Adenocarcinoma of the Uterine Cervix and HPV-Type Impact: Pathologic Features, Treatment Options, and Follow-Up Outcomes—Cervical Adenocarcinoma Study Group (CAS-Group). Cancers. 2023; 15(11):2876. https://doi.org/10.3390/cancers15112876
Chicago/Turabian StyleGiannella, Luca, Giovanni Delli Carpini, Jacopo Di Giuseppe, Giorgio Bogani, Francesco Sopracordevole, Nicolò Clemente, Giorgio Giorda, Rosa Pasqualina De Vincenzo, Maria Teresa Evangelista, Barbara Gardella, and et al. 2023. "In Situ/Microinvasive Adenocarcinoma of the Uterine Cervix and HPV-Type Impact: Pathologic Features, Treatment Options, and Follow-Up Outcomes—Cervical Adenocarcinoma Study Group (CAS-Group)" Cancers 15, no. 11: 2876. https://doi.org/10.3390/cancers15112876
APA StyleGiannella, L., Delli Carpini, G., Di Giuseppe, J., Bogani, G., Sopracordevole, F., Clemente, N., Giorda, G., De Vincenzo, R. P., Evangelista, M. T., Gardella, B., Dominoni, M., Monti, E., Alessi, C., Alessandrini, L., Pagan, A., Caretto, M., Ghelardi, A., Amadori, A., Origoni, M., ... Ciavattini, A. (2023). In Situ/Microinvasive Adenocarcinoma of the Uterine Cervix and HPV-Type Impact: Pathologic Features, Treatment Options, and Follow-Up Outcomes—Cervical Adenocarcinoma Study Group (CAS-Group). Cancers, 15(11), 2876. https://doi.org/10.3390/cancers15112876

