Diagnostic Utility and Tendency of Bronchial and Serum Soluble Receptor for Advanced Glycation EndProducts (sRAGE) in Lung Cancer
Abstract
Simple Summary
Abstract
1. Introduction
2. Materials and Methods
2.1. Study Design
2.2. Bronchoscopy Procedures and Specimen Preparation
2.3. Blood Collection
2.4. Variables
2.5. Biochemical Assays
2.6. Ethical Statement
2.7. Statistical Analysis
3. Results
3.1. Clinical Characteristics
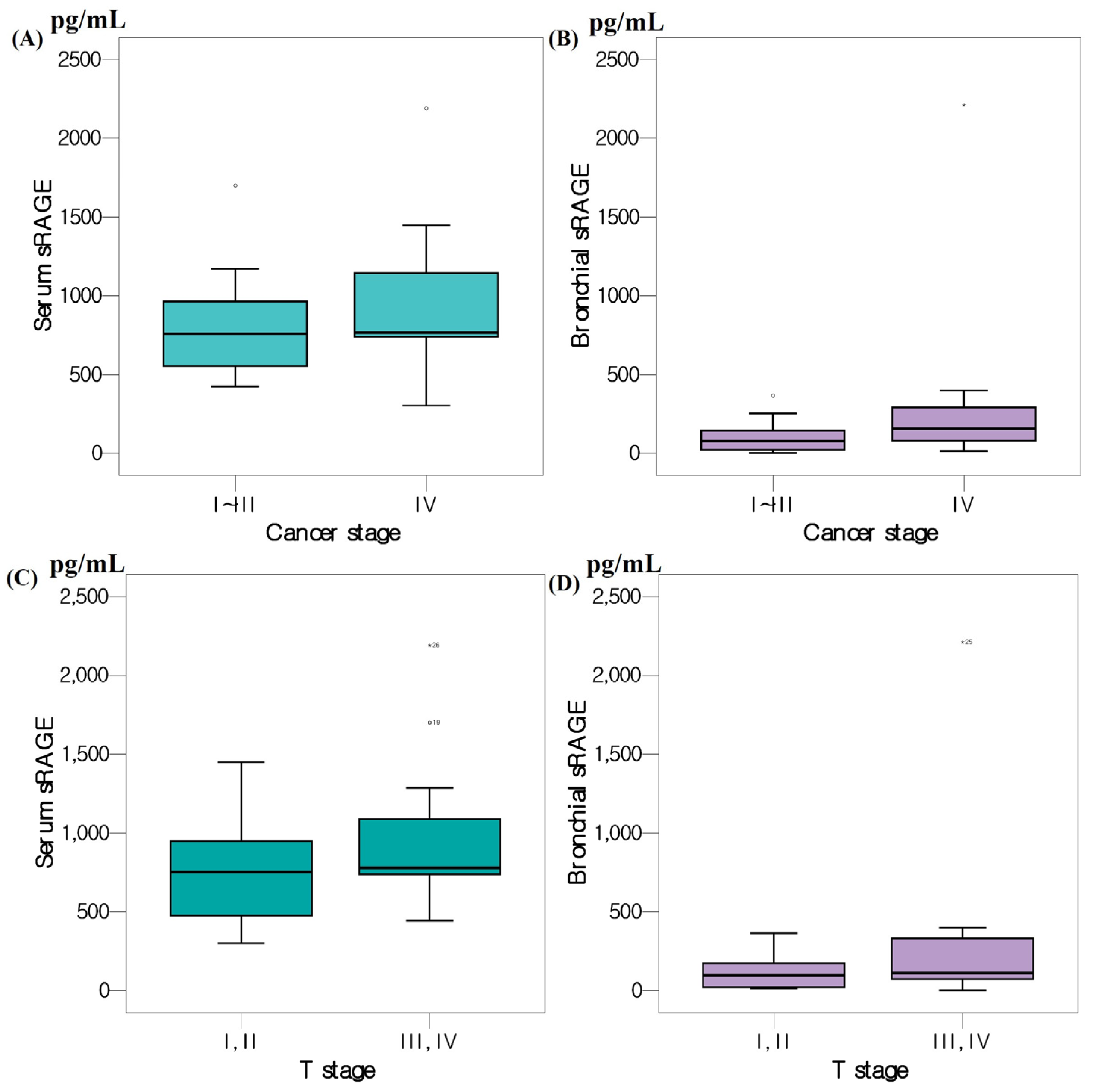
3.2. sRAGE Levels in Serum and BWF
4. Discussion
5. Conclusions
Supplementary Materials
Author Contributions
Funding
Institutional Review Board Statement
Informed Consent Statement
Data Availability Statement
Conflicts of Interest
References
- Buckley, S.T.; Ehrhardt, C. The receptor for advanced glycation end products (RAGE) and the lung. J. Biomed. Biotechnol. 2010, 2010, 917108. [Google Scholar] [CrossRef] [PubMed]
- Stern, D.; Yan, S.D.; Yan, S.F.; Schmidt, A.M. Receptor for advanced glycation endproducts: A multiligand receptor magnifying cell stress in diverse pathologic settings. Adv. Drug. Deliv. Rev. 2002, 54, 1615–1625. [Google Scholar] [CrossRef] [PubMed]
- Raucci, A.; Cugusi, S.; Antonelli, A.; Barabino, S.M.; Monti, L.; Bierhaus, A.; Reiss, K.; Saftig, P.; Bianchi, M.E. A soluble form of the receptor for advanced glycation endproducts (RAGE) is produced by proteolytic cleavage of the membrane-bound form by the sheddase a disintegrin and metalloprotease 10 (ADAM10). FASEB J. 2008, 22, 3716–3727. [Google Scholar] [CrossRef] [PubMed]
- Calfee, C.S.; Ware, L.B.; Eisner, M.D.; Parsons, P.E.; Thompson, B.T.; Wickersham, N.; Matthay, M.A.; Network, N.A. Plasma receptor for advanced glycation end products and clinical outcomes in acute lung injury. Thorax 2008, 63, 1083–1089. [Google Scholar] [CrossRef] [PubMed]
- Jabaudon, M.; Blondonnet, R.; Roszyk, L.; Bouvier, D.; Audard, J.; Clairefond, G.; Fournier, M.; Marceau, G.; Dechelotte, P.; Pereira, B.; et al. Soluble Receptor for Advanced Glycation End-Products Predicts Impaired Alveolar Fluid Clearance in Acute Respiratory Distress Syndrome. Am. J. Respir. Crit. Care Med. 2015, 192, 191–199. [Google Scholar] [CrossRef]
- Yamagishi, S.; Matsui, T.; Fukami, K. Role of receptor for advanced glycation end products (RAGE) and its ligands in cancer risk. Rejuvenation Res. 2015, 18, 48–56. [Google Scholar] [CrossRef]
- Kuniyasu, H.; Chihara, Y.; Takahashi, T. Co-expression of receptor for advanced glycation end products and the ligand amphoterin associates closely with metastasis of colorectal cancer. Oncol. Rep. 2003, 10, 445–448. [Google Scholar] [CrossRef]
- Sasahira, T.; Kirita, T.; Bhawal, U.K.; Yamamoto, K.; Ohmori, H.; Fujii, K.; Kuniyasu, H. Receptor for advanced glycation end products (RAGE) is important in the prediction of recurrence in human oral squamous cell carcinoma. Histopathology 2007, 51, 166–172. [Google Scholar] [CrossRef]
- Tesarova, P.; Kalousova, M.; Jachymova, M.; Mestek, O.; Petruzelka, L.; Zima, T. Receptor for advanced glycation end products (RAGE)--soluble form (sRAGE) and gene polymorphisms in patients with breast cancer. Cancer Investig. 2007, 25, 720–725. [Google Scholar] [CrossRef]
- Jing, R.; Cui, M.; Wang, J.; Wang, H. Receptor for advanced glycation end products (RAGE) soluble form (sRAGE): A new biomarker for lung cancer. Neoplasma 2010, 57, 55–61. [Google Scholar] [CrossRef]
- Peng, Y.; Liu, F.; Qiao, Y.; Wang, P.; Du, H.; Si, C.; Wang, X.; Chen, K.; Song, F. Genetically Modified Circulating Levels of Advanced Glycation End-Products and Their Soluble Receptor (AGEs-RAGE Axis) with Risk and Mortality of Breast Cancer. Cancers 2022, 14, 6124. [Google Scholar] [CrossRef] [PubMed]
- Bartling, B.; Hofmann, H.S.; Weigle, B.; Silber, R.E.; Simm, A. Down-regulation of the receptor for advanced glycation end-products (RAGE) supports non-small cell lung carcinoma. Carcinogenesis 2005, 26, 293–301. [Google Scholar] [CrossRef] [PubMed]
- Siegel, R.L.; Miller, K.D.; Fuchs, H.E.; Jemal, A. Cancer statistics, 2022. CA Cancer J. Clin. 2022, 72, 7–33. [Google Scholar] [CrossRef] [PubMed]
- Neacsu, F.; Varban, A.S.; Simion, G.; Surghie, R.; Patrascu, O.M.; Sajin, M.; Dumitru, M.; Vrinceanu, D. Lung cancer mimickers-a case series of seven patients and review of the literature. Rom. J. Morphol. Embryol. 2021, 62, 697–704. [Google Scholar] [CrossRef] [PubMed]
- Wiener, R.S.; Wiener, D.C.; Gould, M.K. Risks of Transthoracic Needle Biopsy: How High? Clin. Pulm. Med. 2013, 20, 29–35. [Google Scholar] [CrossRef] [PubMed]
- Detterbeck, F.C. The eighth edition TNM stage classification for lung cancer: What does it mean on main street? J. Thorac. Cardiovasc. Surg. 2018, 155, 356–359. [Google Scholar] [CrossRef] [PubMed]
- Kamo, T.; Tasaka, S.; Tokuda, Y.; Suzuki, S.; Asakura, T.; Yagi, K.; Namkoong, H.; Ishii, M.; Hasegawa, N.; Betsuyaku, T. Levels of Soluble Receptor for Advanced Glycation End Products in Bronchoalveolar Lavage Fluid in Patients with Various Inflammatory Lung Diseases. Clin. Med. Insights Circ. Respir. Pulm. Med. 2015, 9, 147–154. [Google Scholar] [CrossRef]
- da Silva, L.F.; Skupien, E.C.; Lazzari, T.K.; Holler, S.R.; de Almeida, E.G.C.; Zampieri, L.R.; Coutinho, S.E.; Andrades, M.; Silva, D.R. Advanced glycation end products (AGE) and receptor for AGE (RAGE) in patients with active tuberculosis, and their relationship between food intake and nutritional status. PLoS ONE 2019, 14, e0213991. [Google Scholar] [CrossRef]
- Ahmad, S.; Khan, H.; Siddiqui, Z.; Khan, M.Y.; Rehman, S.; Shahab, U.; Godovikova, T.; Silnikov, V.; Moinuddin. AGEs, RAGEs and s-RAGE; friend or foe for cancer. Semin. Cancer Biol. 2018, 49, 44–55. [Google Scholar] [CrossRef]
- Perrone, A.; Giovino, A.; Benny, J.; Martinelli, F. Advanced Glycation End Products (AGEs): Biochemistry, Signaling, Analytical Methods, and Epigenetic Effects. Oxid. Med. Cell. Longev. 2020, 2020, 3818196. [Google Scholar] [CrossRef]
- Erusalimsky, J.D. The use of the soluble receptor for advanced glycation-end products (sRAGE) as a potential biomarker of disease risk and adverse outcomes. Redox Biol. 2021, 42, 101958. [Google Scholar] [CrossRef] [PubMed]
- Taguchi, A.; Blood, D.C.; del Toro, G.; Canet, A.; Lee, D.C.; Qu, W.; Tanji, N.; Lu, Y.; Lalla, E.; Fu, C.; et al. Blockade of RAGE-amphoterin signalling suppresses tumour growth and metastases. Nature 2000, 405, 354–360. [Google Scholar] [CrossRef] [PubMed]
- Zhai, R.; Blondonnet, R.; Ebrahimi, E.; Belville, C.; Audard, J.; Gross, C.; Choltus, H.; Henrioux, F.; Constantin, J.M.; Pereira, B.; et al. The receptor for advanced glycation end-products enhances lung epithelial wound repair: An in vitro study. Exp. Cell Res. 2020, 391, 112030. [Google Scholar] [CrossRef] [PubMed]
- Ramspek, C.L.; Jager, K.J.; Dekker, F.W.; Zoccali, C.; van Diepen, M. External validation of prognostic models: What, why, how, when and where? Clin. Kidney J. 2021, 14, 49–58. [Google Scholar] [CrossRef]



| All Patients (n = 81) | Tuberculosis (n = 20) | Pneumonia (n = 30) | Lung Cancer (n = 31) | p-Value | |
|---|---|---|---|---|---|
| Sex, male | 49 (61%) | 15 (75%) | 16 (53%) | 18 (58%) | 0.289 |
| Age, year | 66 (54–76) | 66 (49–74) | 61 (−53–70) | 73 (62–79) | 0.034 |
| BMI, kg/m2 | 23.0 (19.8–25.8) | 22.7 (18.8–25.7) | 22.5(19.4–25.8) | 23.2 (20.6–25.8) | 0.382 |
| Smoking | 32 (40%) | 7 (35%) | 13 (46%) | 12 (37%) | 0.599 |
| Current smoker | 17 (21%) | 3 (15%) | 5 (17%) | 9 (29%) | 0.372 |
| Ex-smoker | 15 (19%) | 4 (20%) | 8 (27%) | 3 (10%) | 0.228 |
| Never-smoker | 49 (61%) | 13 (65%) | 17 (57%) | 19 (61%) | 0.834 |
| Amount, PY | 35 (26–50) | 2 (0–30) | 0 (0–30) | 30 (0–50) | 0.202 |
| Symptom | |||||
| Fever | 10 (12%) | 5 (25%) | 5 (17%) | 0 | 0.020 |
| Sputum | 13 (16%) | 3 (15%) | 10 (33%) | 0 | 0.002 |
| Cough | 31 (39%) | 7 (35%) | 13 (43%) | 11 (26%) | 0.770 |
| Hemoptysis | 10 (12%) | 2 (10%) | 7 (23%) | 1 (3%) | 0.054 |
| Comorbidity | |||||
| Hypertension | 34 (42%) | 7 (35%) | 12 (405) | 15 (48%) | 0.615 |
| Diabetes | 17 (21%) | 4 (20%) | 4 (13%) | 9 (29%) | 0.320 |
| COPD | 9 (11%) | 1 (5%) | 4 (13%) | 4 (13%) | 0.604 |
| Asthma | 10 (12%) | 2 (10%) | 2 (7%) | 6 (19%) | 0.301 |
| Cancer type | |||||
| NSCLC | 28 (90%) | ||||
| ADC | 14 (45%) | ||||
| SqCC | 14 (45%) | ||||
| SCLC | 2 (6.5%) | ||||
| Other cancer | 1 (3.2%) | ||||
| Stage | |||||
| I | 7 (22.6%) | ||||
| II | 2 (6.5%) | ||||
| III | 6 (19.4%) | ||||
| IV | 16 (51.6%) | ||||
| All Patients (n = 81) | Tuberculosis (n = 20) | Pneumonia (n = 30) | Lung Cancer (n = 31) | p-Value | |
|---|---|---|---|---|---|
| Serum sRAGE, pg/mL | 822 (678–1168) | 828 (679–1195) | 889 (680–1208) | 766 (587–1004) | 0.561 |
| BWF sRAGE, pg/mL | 167 (83–529) | 231 (108–649) | 366 (106–706) | 103 (32–254) | 0.018 |
| WBC, ×103/m3 | 7.47 (5.87–9.70) | 7.66 (5.87–9.76) | 7.16 (5.67–11.8) | 7.47 (5.90–9.23) | 0.675 |
| Neutrophil, % | 68 (58–75) | 68 (58–75) | 68 (58–83) | 67 (58–73) | 0.320 |
| Lymphocyte, % | 21 (14–29) | 21 (14–29) | 21 (6.6–29) | 2.2 (1.4–19) | 0.1329 |
| ESR, mm/hr | 39 (14–65) | 46 (13–66) | 49 (21–76) | 58 (11–57) | 0.342 |
| CRP, mg/dL | 12.5 (1.7–81.6) | 13.9 (1.9–95.4) | 32.5 (1.5–118.1) | 5.2 (1.6–31.6) | 0.303 |
| Procalcitonin, ng/dL | 0.08 (0.03–0.21) | 0.09 (0.02–0.33) | 0.12 (0.035–0.39) | 0.03 (0.03–0.10) | 0.178 |
| CEA, ng/mL | 1.9 (1.6–6.0) | 1.3 (0.9–1.8) | 3.8 (1.6–6.0) | 3.2 (1.7–10.0) | 0.038 |
| HbA1c, % | 5.85 (5.40–6.33) | 5.8 (5.6–6.0) | 5.7 (5.4–6.4) | 5.9 (5.6–6.4) | 0.938 |
| Tuberculosis cultured | 15 (19%) | 15 (75%) | 0 | 0 | <0.001 |
| Glucose, mg/dL | 112 (99–146) | 113 (97–147) | 113 (92–146) | 112 (101–143) | 0.892 |
Disclaimer/Publisher’s Note: The statements, opinions and data contained in all publications are solely those of the individual author(s) and contributor(s) and not of MDPI and/or the editor(s). MDPI and/or the editor(s) disclaim responsibility for any injury to people or property resulting from any ideas, methods, instructions or products referred to in the content. |
© 2023 by the authors. Licensee MDPI, Basel, Switzerland. This article is an open access article distributed under the terms and conditions of the Creative Commons Attribution (CC BY) license (https://creativecommons.org/licenses/by/4.0/).
Share and Cite
Kim, T.; Kim, S.J.; Choi, H.; Shin, T.R.; Sim, Y.S. Diagnostic Utility and Tendency of Bronchial and Serum Soluble Receptor for Advanced Glycation EndProducts (sRAGE) in Lung Cancer. Cancers 2023, 15, 2819. https://doi.org/10.3390/cancers15102819
Kim T, Kim SJ, Choi H, Shin TR, Sim YS. Diagnostic Utility and Tendency of Bronchial and Serum Soluble Receptor for Advanced Glycation EndProducts (sRAGE) in Lung Cancer. Cancers. 2023; 15(10):2819. https://doi.org/10.3390/cancers15102819
Chicago/Turabian StyleKim, Taehee, Soo Jung Kim, Hayoung Choi, Tae Rim Shin, and Yun Su Sim. 2023. "Diagnostic Utility and Tendency of Bronchial and Serum Soluble Receptor for Advanced Glycation EndProducts (sRAGE) in Lung Cancer" Cancers 15, no. 10: 2819. https://doi.org/10.3390/cancers15102819
APA StyleKim, T., Kim, S. J., Choi, H., Shin, T. R., & Sim, Y. S. (2023). Diagnostic Utility and Tendency of Bronchial and Serum Soluble Receptor for Advanced Glycation EndProducts (sRAGE) in Lung Cancer. Cancers, 15(10), 2819. https://doi.org/10.3390/cancers15102819

