Simple Summary
Human epidermal growth factor receptors (HER) are involved in important signaling pathways such as cell growth, proliferation, and cell death. HER3 overexpression is associated with poor prognosis in various tumors, but prognostic relevance of HER3 in cervical cancer was not studied. We analyzed HER3 expression in cervical cancer tissue using immunohistochemistry (IHC) and compared disease-free survival (DFS) and overall survival (OS) based on HER3 expression. The presence of the HER3 protein was linked to a poor prognosis in cervical cancer. DFS and OS were linked to lymph node metastasis, histology, and HER3 protein expression. HER3 expression was connected to poor DFS and OS in both low- and high-risk groups of cervical cancer patients. We suggest that HER3 IHC testing might be a useful method for recognizing cervical cancer patients who are likely to progress.
Abstract
HER3 has been recognized to have an oncogenic role in various types of cancer. However, its prognostic significance has not been elucidated in cervical cancer. The aim of this study was to investigate the prognostic significance of HER3 expression in cervical cancer using immunohistochemistry (IHC). HER3 immunohistochemical staining was performed on the tumor tissue samples of 336 cervical cancer patients. The association between the clinicopathological characteristics and patient survival analysis was assessed according to HER3 expression. HER3 IHC staining was positive in 31.0% (104/336) of the cervical cancer patients. A higher proportion of adeno-/adenosquamous carcinoma was observed in the HER3-positive group (34.6%) than in the HER3-negative group (18.8%). In survival analysis, HER3 expression was significantly associated with poorer disease-free survival (DFS) and overall survival (OS) (p < 0.001 and p = 0.002, respectively). Multivariate analysis also indicated that HER3 expression was an independent prognostic factor for DFS (hazard ratio (HR) = 2.58, 95% confidence interval (CI) 1.42–4.67, p = 0.002) and OS (HR = 3.21, 95% CI, 1.26–8.14, p = 0.014). HER3 protein expression was a poor prognostic factor of survival in patients with cervical cancer. This finding could help to provide individualized management for these patients.
1. Introduction
Cervical cancer is the fourth most common malignancy among women worldwide, and the second most prevalent cancer in several developing countries [1,2,3]. Patients with bulky tumors or adenocarcinoma histology have a poor prognosis despite comprehensive screening programs and vaccination against carcinogenic human papillomavirus (HPV) [4,5]. Clinical characteristics such as stage, lymph node metastasis, tumor size, and parametrial involvement have some prognostic value, but they aren’t enough to estimate recurrence and survival properly. As a result, biomarkers such as molecular markers are required, and patient treatment would be much improved if tumor behavior could be consistently anticipated at the time of first diagnosis [6,7].
By binding to the appropriate ligands, human epidermal growth factor receptors (HER or ErbB) are involved in important signaling pathways such as cell growth, proliferation, and cell death [8,9,10,11]. HER1 (EGFR or ErbB1), HER2 (ErbB2), HER3 (ErbB3), and HER4 (ErbB4) are the four members of the HER family [12,13,14]. Overexpression of HER causes an amplification of the receptor tyrosine kinase pathway and the loss of regulatory effects [10,15]; HER overexpression has been linked to malignant potential and poor prognosis in a variety of malignancies [12,16,17,18,19,20,21,22,23]. HER1 and HER2 targeted agents are employed in the treatment of lung, colorectal, and breast cancer in clinical practice [24,25].
Because it lacks intrinsic tyrosine kinase activity and is unable to bind adenosine triphosphate (ATP), the function and therapeutic relevance of HER3 has been underestimated [12,26]. Recent investigations, however, have established that the heterodimerization of HER3 with HER1/HER2/HER4 activates a signaling network that promotes tumor growth and metastasis [27,28,29,30]. As a result, numerous investigations are underway to create a novel anticancer drug that targets HER3 [31]. In addition to the clinical development of anti-HER3 treatment, clinical attention is being paid to the predictive and prognostic significance of HER3 overexpression in malignant solid tumors. HER3 has been studied for its prognostic value in various solid tumors, including breast, gastric colorectal, and head and neck cancer, although the results have been contradictory [22,32,33,34,35,36]. Few studies in cervical cancer found that HER3 expression was linked to recurrence [37,38], suggesting that HER3 could be a valuable diagnostic marker for these patients’ prognosis. However, little is known about the clinical and prognostic importance of HER3 expression in cervical cancer patients. We used immunohistochemistry (IHC) to investigate the prognostic impact of HER3 expression in a well-defined cohort of cervical cancer patients.
2. Methods
2.1. Patients and Tumor Samples
We reviewed the medical records of patients with cervical cancer who were treated at a single academic tertiary center in Republic of Korea between 2002 and 2009. Patients who previously had any type of treatment, such as radiation or chemotherapy, were excluded. The immunohistochemistry analysis did not include patients with rare histology or an advanced stage with primary radiation therapy. Tissue samples were collected from the patients who had signed informed consent as approved by the Institutional Review Board at Samsung Medical Center, Seoul, Korea (IRB No. 2009-09-002-002 and 2015-07-122).
In all of the patients, the primary treatment was radical hysterectomy with or without pelvic/para-aortic lymph node dissection. Adjuvant radiotherapy (RT) or concomitant chemoradiotherapy (CCRT) was given to patients who had risk factors. Patients were assessed every three months for the first two years following treatment, every six months for the next three years, and then once a year after that. Patients who relapsed within three years after adjuvant chemoradiation were classed as resistant to chemoradiation [39,40]. From the date of surgery to the date of recurrence or the final follow-up appointment, disease-free survival (DFS) was calculated. Overall survival (OS) was calculated from the date of surgery to the time of death, or from the date of last contact in case of living patients.
2.2. Tissue Microarray Formation and Immunohistochemistry
Tissue blocks used for routine pathologic examination were used to create a tissue microarray (TMA). In each case, areas with the most representative histology were chosen, and three 0.6 mm cylindrical tissue cores were taken from formalin-fixed, paraffin-embedded (FFPE) tissue blocks. To ensure that tissue sampling was adequate, light microscopy was used to analyze slice from each microarray stained with hematoxylin and eosin.
A standard streptavidin–peroxidase technique was used for HER3 and phosphorylated HER3 (pHER3) immunohistochemical staining on 4 μm sections of the TMA. We used fresh-cut sections from the original TMA blocks to prevent possible antigenicity loss during slide aging. Heat-induced antigen retrieval was performed for 40 min in a pH 8.0 buffer for HER3 and 20 min in a pH 6.0 buffer for pHER3 after deparaffinization with xylene and rehydration with a graded alcohol series. Endogenous peroxidase activity was inhibited for 5 min at room temperature with 3% H2O2. The sections were incubated with anti-HER3 rabbit monoclonal antibody at a 1:100 dilution for 60 min and with anti-pHER3 rabbit monoclonal antibody at a 1:500 dilution for 15 min. Antibodies used for immunostaining were anti-HER3 (#12708) and anti-pHER3 (Tyr1289, #4791) from Cell Signaling Technology. The Dako EnVision+ Dual Link System-HRP (Dako) and DAB+ (3,3′-diaminobenzidine; Dako) were used to detect the antigen–antibody reaction.
2.3. Immunostaining Quantitative Evaluation
The IHC staining was graded separately by two investigators (SJB and CHC) who were unaware of the clinicopathological findings. According to the distribution pattern across the cores, the level of staining was classified as 0 (no staining), 1+ (weak), 2+ (moderate), and 3+ (strong). By multiplying the intensity score (0–3) by the proportion of stained cells, the overall protein expression was computed, yielding a maximum final histoscore of 300. The expression values were dichotomized for the survival analysis using the cutoff values with the greatest discriminative power (histoscore of 57 for HER3 and 1 for pHER3).
2.4. In-Silico Analysis of GSE44001
Data from the Gene Expression Omnibus (GEO) were used to investigate the prognostic significance of HER3 expression [41,42]. GSE44001 (http://www.ncbi.nlm.nih.gov/geo/query/acc.cgi?acc=GSE44001, accessed on 5 July 2021) was evaluated in a total of 300 patient samples. Data from the cDNA-mediated annealing, selection, extension, and ligation (DASL) assay were used for the mRNA analysis [41]. For survival analysis, the acquired mRNA expression values were also dichotomized according to the cutoff values with the highest discriminative power (7.61 for HER3 mRNA [ERBB3]).
2.5. Statistical Analysis
R software version 4.0.0 was used to conduct statistical analysis. The continuous variables were compared between groups using the Student’s t-test or the Mann-Whitney U test. The expression values were dichotomized (positive vs. negative) for survival analysis using the cutoff values showing the most discriminative power in the univariate Cox model for DFS. The Kaplan–Meier method was used to predict survival distributions, and the log-rank test was used to examine the relationship between survival and each parameter. To identify the independent predictors of survival, a Cox proportional hazards model was developed. At values of p < 0.05, statistical significance was determined to be present.
3. Results
3.1. Patients’ Clinicopathological Characteristics
Table 1 summarizes the clinicopathological features of 336 patients based on their HER3 and pHER3 protein expression status. Within a mean follow-up time of 54 months (range of 1–143 months), 46 patients developed recurrence and 20 patients died. Follow radical surgery, 165 patients (49.1%) were treated with adjuvant radiation either with or without concurrent chemotherapy. Except for histologic cell type, there were no significant differences according to HER3 expression between the two groups. The HER3-positive group had a larger proportion of adeno-/adenosquamous carcinoma (34.6%) than in the HER3-negative group (18.8%). The expression of pHER3 did not differ between the two groups.
Table 1.
The 336 cervical cancer patients’ clinicopathological characteristics.
3.2. HER3 Expression and Its Prognostic Significance
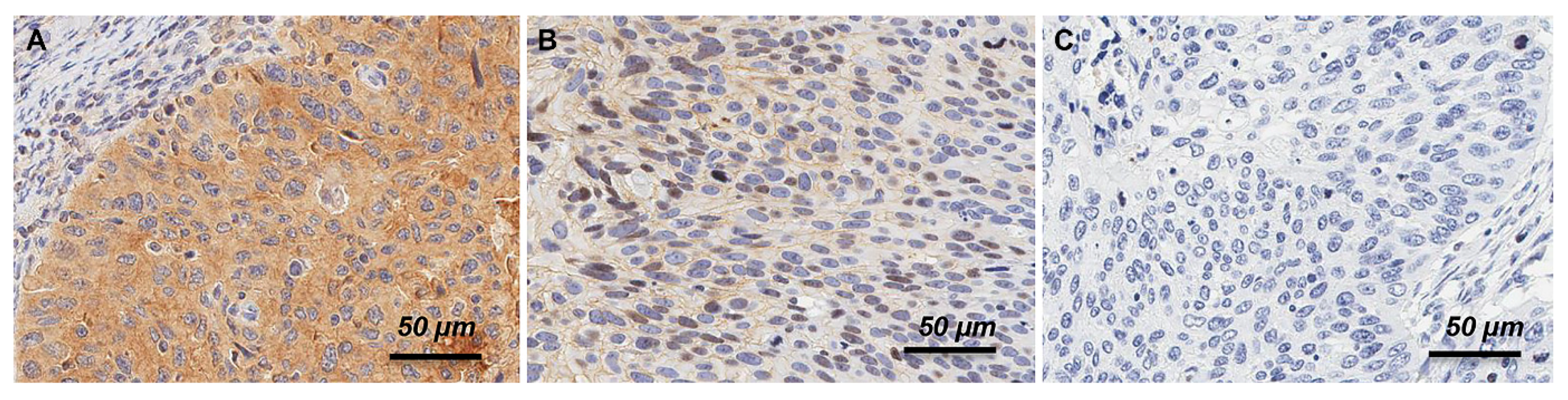
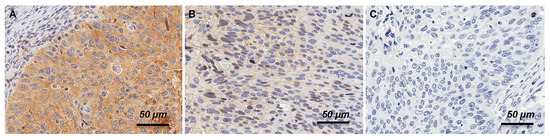
HER3 and phosphorylated HER3 expression was observed in both the membrane and cytoplasm, and representative examples of positive and negative staining are shown in Figure 1. HER3 was mainly stained in the nucleus, and pHER3 was mainly stained in the cytoplasm. Among the 336 tumors investigated, 104 (31.0%) tumors exhibited positive HER3 protein expression and 22 (6.5%) were positive for pHER3.
Figure 1.
Immunohistochemical expression of (A) HER3, (B) pHER3 protein, and (C) the negative expression of HER3/pHER3 protein in cervical cancer patients.
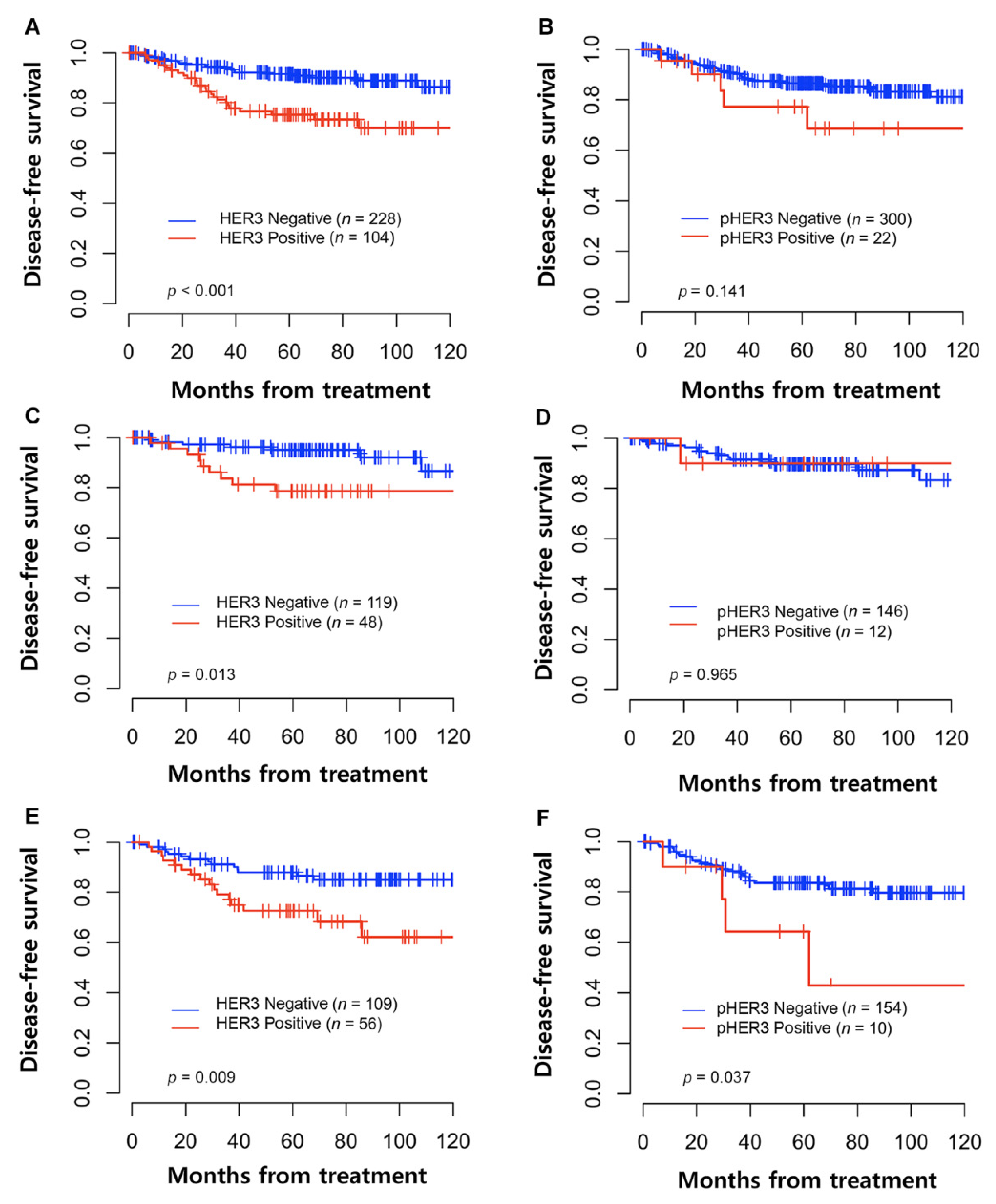
The estimated five-year DFS and OS rates for the whole group were 87% (95% confidence interval (CI): 83–91) and 96% (95% CI: 93–98), respectively. The Kaplan–Meier curves for the DFS of cervical cancer patients by HER3 and pHER3 expression are shown in Figure 2. In the total patients, HER3 expression was significantly associated with poorer DFS (p < 0.001). Furthermore, we grouped the patients according to whether adjuvant treatment was done. In both groups, the HER3-positive patients showed inferior DFS (Figure 2C,E). Additionally, positive pHER3 protein expression was associated with poor DFS, but was statistically significant only in the group of patients with adjuvant RT with or without concurrent chemotherapy (Figure 2F, p = 0.037). Similarly, statistically significant inferior OS was seen in patients with positive HER3 expression (p = 0.002), but not in those with positive pHER3 expression (p = 0.383) (Figure S1). Based on the clinical significance of HER3 protein expression, the clinical implications of HER3 mRNA expression levels were assessed using data from GSE44001. HER3 mRNA expression levels were also significantly associated with poor DFS (p = 0.002) and OS (p = 0.017) (Figure S2).
Figure 2.
Kaplan–Meier graph illustrating disease-free survival (DFS) according to HER3 and pHER3 expression in patients with cervical cancer. (A) DFS according to HER3 expression in total patients, (B) DFS according to pHER3 expression in total patients, (C) DFS according to HER3 expression in patients without adjuvant treatment, (D) DFS according to pHER3 expression in patients without adjuvant treatment, (E) DFS according to HER3 expression in patients with adjuvant radiotherapy with or without concurrent chemotherapy, (F) DFS according to pHER3 expression in patients with adjuvant radiotherapy with or without concurrent chemotherapy.
According to the Cox proportional hazards model, HER3 protein expression remained to be an independent prognostic factor for DFS (hazard ratio (HR) = 2.58, 95% CI: 1.42–4.67, p = 0.002) and OS (HR = 3.21, 95% CI: 1.26–8.14, p = 0.014) (Table 2). However, in multivariate analysis, pHER3 expression was not related with survival.
Table 2.
Multivariate analysis of the relationship between prognostic factors and survival in cervical cancer patients.
4. Discussion
The present study investigated the prognostic significance of HER3 in cervical cancer by IHC analysis. Inferior DFS and OS were observed in HER3-positive patients, regardless of a high or low risk of recurrence reflected by adjuvant therapy. Furthermore, utilizing data from a prior study [41], consistent results were observed in the examination of the connection between HER3 mRNA and prognosis. These findings imply that HER3 expression could be considered as a prognostic marker in cervical cancer, and that patients with high HER3 expression should become candidates for closer monitoring or more intense adjuvant treatment.
Despite the fact that HER3 has been shown to be overproduced in various types of malignancies [43,44], studies on the relationship between HER3 expression and the prognosis of patients with cervical cancer are scarce. Lee et al. [45] evaluated the mean biomarker expression of HER group for cervical cancer, but HER3 expression was not related to survival outcome. In contrast, another study conducted by Fuchs et al. [37] reported the overexpression of HER3 in 74.4% of squamous cell carcinoma of cervix, and HER3 overexpression was associated with poor OS (90% vs. 69%, p = 0.05). In a recent study on cervical adeno-/adenosquamous carcinoma in Japan, 56.7–77.9% showed high HER3 expression with an increased risk of recurrence (HR 6.32, 95% CI: 1.10–36.26, p = 0.039) [38]. Our study reinforces the evidence that HER3 expression is associated with the poor prognosis of patients with cervical cancer.
Four members of the HER family form homo- and heterodimers with ligand binding to the receptor. Especially, HER3 has impaired kinase activity and only acquires signaling function when it is dimerized with another HER protein [12]. Therefore, the role of other members of HER family in cervical cancer should also be considered. Recently, Muthusami et al. [46] reported a significant reduction of OS in patients with high EGFR (HER1) expression (HR 0.056, p = 0.055). Additionally, poor survival in patients with EGFR overexpression has been reported through a meta-analysis [47]. On the other hand, there are reports with contradictory results showing better prognosis with EGFR expression [37,48]. We performed additional in silico analysis using GSE44001 and TCGA data to examine the clinical significance of EGFR. Our analysis showed significantly better prognosis with expression of EGFR, which can be associated with cell type. As for HER2, multiple reports have produced rather consistent outcomes, showing worse outcome associated with HER2 overexpression [37,40,45]. It is difficult to interpret the results of several studies comprehensively. Many aspects differ from study to study, such as clinical characteristics of patients, method used to detect HER expression, and cut-off values for positive HER expression. Because of this heterogeneity, standardized study design and a larger sample size are necessary to acquire reliable result.
There are many reports about prognostic information of phosphorylated HER2 (pHER2) expression in addition to HER2 status. In patients with HER2-positive primary breast cancer, pHER2-high patients had a lower DFS rate than pHER2-low patients [49,50]. Additionally, correlation of protein expression level between HER2-pHER2 and HER2-pHER3 was reported, supporting that antibodies for pHER2 are a good method for IHC detection of HER2 [51]. However, the prognostic significance of pHER3 in addition to HER3 and correlation between their expression levels has not been evaluated. Unlike HER3 monoclonal antibody, which does not cross-react with other HER family proteins, pHER3 monoclonal antibody may cross-react with overexpressed EGFR and other receptor tyrosine kinases [52]. For this reason, the specificity of pHER3 IHC detection may be interfered with, which is a limitation of this study.
Persistent HPV infections are strongly linked to malignancies of the squamous epithelium, and HPV is thought to be the causal agent in roughly 90% of cervical cancer cases [53]. According to reports in head and neck cancer, there is an association between HPV infection and HER3 expression in HPV-positive tumors [43,54]. Paolini et al. [55] showed that HPV 16 E2 particle may interact with HER3 in conjunction with neuregulin receptor degradation protein 1 (Nrdp-1) in cervical cancer. More research is needed to determine the link between HPV infection and HER3 expression in cervical cancer patients.
Whole-exome or targeted sequencing data including the Cancer Genome Atlas (TCGA) revealed that the incidence of HER3 mutations was higher in adenocarcinoma of the uterine cervix than in squamous cell carcinoma [31,56,57]. These findings are consistent with our results that the HER3-positive group had a greater proportion of adeno-/adenosquamous carcinoma (34.6 vs. 18.8%). The histologic type of adeno-/adenosquamous carcinoma is more resistant to radiotherapy than squamous cell carcinoma [5,58]. Previous study reported that a single dose of radiation induced EGFR expression in cervical cancer tissue, suggesting the role of EGFR in RT resistance [59]. Dittmann et al. have reported that irradiation induced nuclear import of EGFR with T654 phosphorylation, increasing kinase activity essential for DNA repair [60,61]. In this study, pHER3 expression was associated with worse prognosis in patients with adjuvant RT or CCRT (p = 0.037). Also, RT resistance rate was higher in pHER3-positive patients than pHER3-negative patients (42.9 vs. 13.6%, p = 0.119), but without statistical significance. Only a small proportion of the total cohort (6.5%) exhibited expression of pHER3 in our study. This might imply that resistance to radiotherapy is related to pHER3 expression. However, evidence is still weak, and further study is needed in this regard.
Due to its resistance to radiotherapy, there is a need for novel therapies in patients with adenocarcinoma of the cervix. Studies on HER3 targeting agents are on-going [31], and HER3 inhibition has been proposed as a suppressor of tumorigenesis in head and neck squamous cell carcinoma [62]. Moreover, there is growing evidence for the role of compensatory overexpression of HER3 upon administration of EGFR or HER2 inhibitors, which could be a possible mechanism of resistance to these agents [13]. In HER2-amplified breast cancer, increased level of HER ligands due to treatment with trastuzumab led to an increase in active EGFR/HER3 dimers to promote resistance [63]. For cervical cancer, a French group reported that the combination of EGFR/HER3 dual antibody and chemoradiotherapy enhanced cancer cell death in cervical squamous cell carcinoma cells in vitro and a mouse model experiment [64]. These data indicate that HER3 could potentially be applied as a therapeutic target for cervical cancer.
5. Conclusions
Our findings demonstrated that HER3 protein expression was an independent poor prognostic factor of survival in cervical cancer patients. This information may be clinically useful in identifying cervical cancer patients who are at high risk of progression and may be useful in the management of cervical cancer patients.
Supplementary Materials
The following supporting information can be downloaded at: https://www.mdpi.com/article/10.3390/cancers14092139/s1, Figure S1: Kaplan–Meier graph showing overall survival (OS) according to HER3 and pHER3 expression in patients with cervical cancer, Figure S2: Kaplan–Meier graph showing disease-free survival (DFS) and overall survival (OS) according to HER3 mRNA expression in patients with cervical cancer.
Author Contributions
Conceptualization, C.H.C.; Methodology, C.H.C. and S.-J.B.; Investigation, J.I.S. and Y.-Y.L.; Formal Analysis, J.I.S.; Supervision, T.-J.K.; Funding Acquisition, J.-W.L. and B.-G.K.; Writing—Original Draft Preparation, C.-S.C. and J.I.S.; Writing—Review & Editing, C.-S.C., E.J.L. and C.H.C. All authors have read and agreed to the published version of the manuscript.
Funding
This research was supported by funding from the National Research Foundation of Korea (NRF-2017R1D1A1B05035844).
Institutional Review Board Statement
This study was conducted according to the guidelines of the Declaration of Helsinki, and approved by the Institutional Review Board at Samsung Medical Center, Seoul, Korea (IRB No. 2009-09-002-002 and 2015-07-122).
Informed Consent Statement
Informed consent was obtained from all subjects involved in the study.
Data Availability Statement
All data is available in the main text or Supplementary Materials. The RNA-Seq raw data was available at NCBI Gene Expression Omnibus (GEO) (GSE44001). All other data supporting the findings of this study are available from the corresponding author upon reasonable request.
Conflicts of Interest
The authors declare no conflict of interest.
References
- Kong, T.W.; Ryu, H.S.; Kim, S.C.; Enomoto, T.; Li, J.; Kim, K.H.; Shim, S.H.; Wang, P.H.; Therasakvichya, S.; Kobayashi, Y.; et al. Asian Society of Gynecologic Oncology International Workshop 2018. J. Gynecol. Oncol. 2019, 30, e39. [Google Scholar] [CrossRef] [PubMed]
- Siegel, R.L.; Miller, K.D.; Jemal, A. Cancer statistics, 2020. CA Cancer J. Clin. 2020, 70, 7–30. [Google Scholar] [CrossRef]
- Welch, H.G.; Kramer, B.S.; Black, W.C. Epidemiologic Signatures in Cancer. N. Engl. J. Med. 2019, 381, 1378–1386. [Google Scholar] [CrossRef]
- Arbyn, M.; Xu, L.; Simoens, C.; Martin-Hirsch, P.P. Prophylactic vaccination against human papillomaviruses to prevent cervical cancer and its precursors. Cochrane Database Syst. Rev. 2018, 5, CD009069. [Google Scholar] [CrossRef] [PubMed]
- Gien, L.T.; Beauchemin, M.C.; Thomas, G. Adenocarcinoma: A unique cervical cancer. Gynecol. Oncol. 2010, 116, 140–146. [Google Scholar] [CrossRef] [PubMed]
- Czerniak, B.; Olszewska-Slonina, D. Biomarkers could facilitate prediction of worse clinical outcome of cancer with special insight to cervical cancer. Contemp. Oncol. 2018, 22, 1–7. [Google Scholar] [CrossRef] [PubMed]
- Dai, F.; Chen, G.; Wang, Y.; Zhang, L.; Long, Y.; Yuan, M.; Yang, D.; Liu, S.; Cheng, Y.; Zhang, L. Identification of candidate biomarkers correlated with the diagnosis and prognosis of cervical cancer via integrated bioinformatics analysis. OncoTargets Ther. 2019, 12, 4517–4532. [Google Scholar] [CrossRef]
- Lemmon, M.A.; Schlessinger, J. Cell signaling by receptor tyrosine kinases. Cell 2010, 141, 1117–1134. [Google Scholar] [CrossRef] [PubMed]
- Ocana, A.; Pandiella, A. Targeting HER receptors in cancer. Curr. Pharm. Des. 2013, 19, 808–817. [Google Scholar] [CrossRef] [PubMed]
- Du, Z.; Lovly, C.M. Mechanisms of receptor tyrosine kinase activation in cancer. Mol. Cancer 2018, 17, 58. [Google Scholar] [CrossRef] [PubMed]
- Blume-Jensen, P.; Hunter, T. Oncogenic kinase signalling. Nature 2001, 411, 355–365. [Google Scholar] [CrossRef]
- Hynes, N.E.; Lane, H.A. ERBB receptors and cancer: The complexity of targeted inhibitors. Nat. Rev. Cancer 2005, 5, 341–354. [Google Scholar] [CrossRef] [PubMed]
- Arteaga, C.L.; Engelman, J.A. ERBB receptors: From oncogene discovery to basic science to mechanism-based cancer therapeutics. Cancer Cell 2014, 25, 282–303. [Google Scholar] [CrossRef]
- Burden, S.; Yarden, Y. Neuregulins and their receptors: A versatile signaling module in organogenesis and oncogenesis. Neuron 1997, 18, 847–855. [Google Scholar] [CrossRef]
- Yarden, Y.; Sliwkowski, M.X. Untangling the ErbB signalling network. Nat. Rev. Mol. Cell Biol. 2001, 2, 127–137. [Google Scholar] [CrossRef] [PubMed]
- Gorgoulis, V.; Aninos, D.; Mikou, P.; Kanavaros, P.; Karameris, A.; Joardanoglou, J.; Rasidakis, A.; Veslemes, M.; Ozanne, B.; Spandidos, D.A. Expression of EGF, TGF-alpha and EGFR in squamous cell lung carcinomas. Anticancer Res. 1992, 12, 1183–1187. [Google Scholar] [PubMed]
- Irish, J.C.; Bernstein, A. Oncogenes in head and neck cancer. Laryngoscope 1993, 103, 42–52. [Google Scholar] [CrossRef] [PubMed]
- Sugawa, N.; Ekstrand, A.J.; James, C.D.; Collins, V.P. Identical splicing of aberrant epidermal growth factor receptor transcripts from amplified rearranged genes in human glioblastomas. Proc. Natl. Acad. Sci. USA 1990, 87, 8602–8606. [Google Scholar] [CrossRef]
- Ross, J.S.; Fletcher, J.A. The HER-2/neu oncogene in breast cancer: Prognostic factor, predictive factor, and target for therapy. Stem Cells 1998, 16, 413–428. [Google Scholar] [CrossRef] [PubMed]
- Issing, W.J.; Heppt, W.J.; Kastenbauer, E.R. erbB-3, a third member of the erbB/epidermal growth factor receptor gene family: Its expression in head and neck cancer cell lines. Eur. Arch. Oto-Rhino-Laryngol. 1993, 250, 392–395. [Google Scholar] [CrossRef]
- Gilbertson, R.J.; Perry, R.H.; Kelly, P.J.; Pearson, A.D.; Lunec, J. Prognostic significance of HER2 and HER4 coexpression in childhood medulloblastoma. Cancer Res. 1997, 57, 3272–3280. [Google Scholar] [PubMed]
- Li, Q.; Zhang, R.; Yan, H.; Zhao, P.; Wu, L.; Wang, H.; Li, T.; Cao, B. Prognostic significance of HER3 in patients with malignant solid tumors. Oncotarget 2017, 8, 67140–67151. [Google Scholar] [CrossRef] [PubMed]
- Klijn, J.G.; Berns, P.M.; Schmitz, P.I.; Foekens, J.A. The clinical significance of epidermal growth factor receptor (EGF-R) in human breast cancer: A review on 5232 patients. Endocr. Rev. 1992, 13, 3–17. [Google Scholar] [PubMed]
- Vogel, C.L.; Cobleigh, M.A.; Tripathy, D.; Gutheil, J.C.; Harris, L.N.; Fehrenbacher, L.; Slamon, D.J.; Murphy, M.; Novotny, W.F.; Burchmore, M.; et al. Efficacy and safety of trastuzumab as a single agent in first-line treatment of HER2-overexpressing metastatic breast cancer. J. Clin. Oncol. 2002, 20, 719–726. [Google Scholar] [CrossRef] [PubMed]
- Saltz, L.B.; Meropol, N.J.; Loehrer, P.J., Sr.; Needle, M.N.; Kopit, J.; Mayer, R.J. Phase II trial of cetuximab in patients with refractory colorectal cancer that expresses the epidermal growth factor receptor. J. Clin. Oncol. 2004, 22, 1201–1208. [Google Scholar] [CrossRef] [PubMed]
- Baselga, J.; Swain, S.M. Novel anticancer targets: Revisiting ERBB2 and discovering ERBB3. Nat. Rev. Cancer 2009, 9, 463–475. [Google Scholar] [CrossRef] [PubMed]
- Smirnova, T.; Zhou, Z.N.; Flinn, R.J.; Wyckoff, J.; Boimel, P.J.; Pozzuto, M.; Coniglio, S.J.; Backer, J.M.; Bresnick, A.R.; Condeelis, J.S.; et al. Phosphoinositide 3-kinase signaling is critical for ErbB3-driven breast cancer cell motility and metastasis. Oncogene 2012, 31, 706–715. [Google Scholar] [CrossRef] [PubMed][Green Version]
- Vivanco, I.; Sawyers, C.L. The phosphatidylinositol 3-Kinase AKT pathway in human cancer. Nat. Rev. Cancer 2002, 2, 489–501. [Google Scholar] [CrossRef] [PubMed]
- Lakshmanan, I.; Seshacharyulu, P.; Haridas, D.; Rachagani, S.; Gupta, S.; Joshi, S.; Guda, C.; Yan, Y.; Jain, M.; Ganti, A.K.; et al. Novel HER3/MUC4 oncogenic signaling aggravates the tumorigenic phenotypes of pancreatic cancer cells. Oncotarget 2015, 6, 21085–21099. [Google Scholar] [CrossRef]
- Wu, X.; Chen, Y.; Li, G.; Xia, L.; Gu, R.; Wen, X.; Ming, X.; Chen, H. Her3 is associated with poor survival of gastric adenocarcinoma: Her3 promotes proliferation, survival and migration of human gastric cancer mediated by PI3K/AKT signaling pathway. Med. Oncol. 2014, 31, 903. [Google Scholar] [CrossRef] [PubMed]
- Kiavue, N.; Cabel, L.; Melaabi, S.; Bataillon, G.; Callens, C.; Lerebours, F.; Pierga, J.Y.; Bidard, F.C. ERBB3 mutations in cancer: Biological aspects, prevalence and therapeutics. Oncogene 2020, 39, 487–502. [Google Scholar] [CrossRef] [PubMed]
- Bae, S.Y.; La Choi, Y.; Kim, S.; Kim, M.; Kim, J.; Jung, S.P.; Choi, M.Y.; Lee, S.K.; Kil, W.H.; Lee, J.E.; et al. HER3 status by immunohistochemistry is correlated with poor prognosis in hormone receptor-negative breast cancer patients. Breast Cancer Res. Treat. 2013, 139, 741–750. [Google Scholar] [CrossRef]
- Ledel, F.; Hallstrom, M.; Ragnhammar, P.; Ohrling, K.; Edler, D. HER3 expression in patients with primary colorectal cancer and corresponding lymph node metastases related to clinical outcome. Eur. J. Cancer 2014, 50, 656–662. [Google Scholar] [CrossRef] [PubMed]
- Zhang, X.L.; Yang, Y.S.; Xu, D.P.; Qu, J.H.; Guo, M.Z.; Gong, Y.; Huang, J. Comparative study on overexpression of HER2/neu and HER3 in gastric cancer. World J. Surg. 2009, 33, 2112–2118. [Google Scholar] [CrossRef] [PubMed]
- Baiocchi, G.; Lopes, A.; Coudry, R.A.; Rossi, B.M.; Soares, F.A.; Aguiar, S.; Guimaraes, G.C.; Ferreira, F.O.; Nakagawa, W.T. ErbB family immunohistochemical expression in colorectal cancer patients with higher risk of recurrence after radical surgery. Int. J. Colorectal Dis. 2009, 24, 1059–1068. [Google Scholar] [CrossRef] [PubMed]
- Memon, A.A.; Sorensen, B.S.; Melgard, P.; Fokdal, L.; Thykjaer, T.; Nexo, E. Expression of HER3, HER4 and their ligand heregulin-4 is associated with better survival in bladder cancer patients. Br. J. Cancer 2004, 91, 2034–2041. [Google Scholar] [CrossRef]
- Fuchs, I.; Vorsteher, N.; Buhler, H.; Evers, K.; Sehouli, J.; Schaller, G.; Kummel, S. The prognostic significance of human epidermal growth factor receptor correlations in squamous cell cervical carcinoma. Anticancer Res. 2007, 27, 959–963. [Google Scholar] [PubMed]
- Mizuno, T.; Kojima, Y.; Yonemori, K.; Yoshida, H.; Sugiura, Y.; Ohtake, Y.; Okuma, H.S.; Nishikawa, T.; Tanioka, M.; Sudo, K.; et al. HER3 protein expression as a risk factor for post-operative recurrence in patients with early-stage adenocarcinoma and adenosquamous carcinoma of the cervix. Oncol. Lett. 2020, 20, 38. [Google Scholar] [CrossRef]
- Kim, T.J.; Lee, J.W.; Song, S.Y.; Choi, J.J.; Choi, C.H.; Kim, B.G.; Lee, J.H.; Bae, D.S. Increased expression of pAKT is associated with radiation resistance in cervical cancer. Br. J. Cancer 2006, 94, 1678–1682. [Google Scholar] [CrossRef]
- Jeong, S.Y.; Chung, J.Y.; Byeon, S.J.; Kim, C.J.; Lee, Y.Y.; Kim, T.J.; Lee, J.W.; Kim, B.G.; Chae, Y.L.; Oh, S.Y.; et al. Validation of Potential Protein Markers Predicting Chemoradioresistance in Early Cervical Cancer by Immunohistochemistry. Front. Oncol. 2021, 11, 665595. [Google Scholar] [CrossRef] [PubMed]
- Lee, Y.Y.; Kim, T.J.; Kim, J.Y.; Choi, C.H.; Do, I.G.; Song, S.Y.; Sohn, I.; Jung, S.H.; Bae, D.S.; Lee, J.W.; et al. Genetic profiling to predict recurrence of early cervical cancer. Gynecol. Oncol. 2013, 131, 650–654. [Google Scholar] [CrossRef] [PubMed]
- Choi, C.H.; Chung, J.Y.; Park, H.S.; Jun, M.; Lee, Y.Y.; Kim, B.G.; Hewitt, S.M. Pancreatic adenocarcinoma up-regulated factor expression is associated with disease-specific survival in cervical cancer patients. Hum. Pathol. 2015, 46, 884–893. [Google Scholar] [CrossRef] [PubMed]
- Brand, T.M.; Hartmann, S.; Bhola, N.E.; Peyser, N.D.; Li, H.; Zeng, Y.; Isaacson Wechsler, E.; Ranall, M.V.; Bandyopadhyay, S.; Duvvuri, U.; et al. Human Papillomavirus Regulates HER3 Expression in Head and Neck Cancer: Implications for Targeted HER3 Therapy in HPV(+) Patients. Clin. Cancer Res. 2017, 23, 3072–3083. [Google Scholar] [CrossRef] [PubMed]
- Takikita, M.; Xie, R.; Chung, J.Y.; Cho, H.; Ylaya, K.; Hong, S.M.; Moskaluk, C.A.; Hewitt, S.M. Membranous expression of Her3 is associated with a decreased survival in head and neck squamous cell carcinoma. J. Transl. Med. 2011, 9, 126. [Google Scholar] [CrossRef]
- Lee, C.M.; Shrieve, D.C.; Zempolich, K.A.; Lee, R.J.; Hammond, E.; Handrahan, D.L.; Gaffney, D.K. Correlation between human epidermal growth factor receptor family (EGFR, HER2, HER3, HER4), phosphorylated Akt (P-Akt), and clinical outcomes after radiation therapy in carcinoma of the cervix. Gynecol. Oncol. 2005, 99, 415–421. [Google Scholar] [CrossRef] [PubMed]
- Muthusami, S.; Sabanayagam, R.; Periyasamy, L.; Muruganantham, B.; Park, W.Y. A review on the role of epidermal growth factor signaling in the development, progression and treatment of cervical cancer. Int. J. Biol. Macromol. 2022, 194, 179–187. [Google Scholar] [CrossRef] [PubMed]
- Tian, W.J.; Huang, M.L.; Qin, Q.F.; Chen, Q.; Fang, K.; Wang, P.L. Prognostic Impact of Epidermal Growth Factor Receptor Overexpression in Patients with Cervical Cancer: A Meta-Analysis. PLoS ONE 2016, 11, e0158787. [Google Scholar] [CrossRef] [PubMed]
- Vosmik, M.; Laco, J.; Sirak, I.; Beranek, M.; Hovorkova, E.; Vosmikova, H.; Drastikova, M.; Hodek, M.; Zoul, Z.; Odrazka, K.; et al. Prognostic significance of human papillomavirus (HPV) status and expression of selected markers (HER2/neu, EGFR, VEGF, CD34, p63, p53 and Ki67/MIB-1) on outcome after (chemo-) radiotherapy in patients with squamous cell carcinoma of uterine cervix. Pathol. Oncol. Res. 2014, 20, 131–137. [Google Scholar] [CrossRef] [PubMed]
- Hayashi, N.; Iwamoto, T.; Gonzalez-Angulo, A.M.; Ferrer-Lozano, J.; Lluch, A.; Niikura, N.; Bartholomeusz, C.; Nakamura, S.; Hortobagyi, G.N.; Ueno, N.T. Prognostic impact of phosphorylated HER-2 in HER-2+ primary breast cancer. Oncologist 2011, 16, 956–965. [Google Scholar] [CrossRef] [PubMed]
- Ramic, S.; Asic, K.; Balja, M.P.; Paic, F.; Benkovic, V.; Knezevic, F. Correlation of phosphorylated HER2 with clinicopathological characteristics and efficacy of trastuzumab treatment for breast cancer. Anticancer Res. 2013, 33, 2509–2515. [Google Scholar] [PubMed]
- Frogne, T.; Laenkholm, A.V.; Lyng, M.B.; Henriksen, K.L.; Lykkesfeldt, A.E. Determination of HER2 phosphorylation at tyrosine 1221/1222 improves prediction of poor survival for breast cancer patients with hormone receptor-positive tumors. Breast Cancer Res. 2009, 11, R11. [Google Scholar] [CrossRef] [PubMed]
- Mukherjee, A.; Badal, Y.; Nguyen, X.T.; Miller, J.; Chenna, A.; Tahir, H.; Newton, A.; Parry, G.; Williams, S. Profiling the HER3/PI3K pathway in breast tumors using proximity-directed assays identifies correlations between protein complexes and phosphoproteins. PLoS ONE 2011, 6, e16443. [Google Scholar] [CrossRef] [PubMed]
- Walboomers, J.M.; Jacobs, M.V.; Manos, M.M.; Bosch, F.X.; Kummer, J.A.; Shah, K.V.; Snijders, P.J.; Peto, J.; Meijer, C.J.; Munoz, N. Human papillomavirus is a necessary cause of invasive cervical cancer worldwide. J. Pathol. 1999, 189, 12–19. [Google Scholar] [CrossRef]
- Pollock, N.I.; Wang, L.; Wallweber, G.; Gooding, W.E.; Huang, W.; Chenna, A.; Winslow, J.; Sen, M.; DeGrave, K.A.; Li, H.; et al. Increased Expression of HER2, HER3, and HER2:HER3 Heterodimers in HPV-Positive HNSCC Using a Novel Proximity-Based Assay: Implications for Targeted Therapies. Clin. Cancer Res. 2015, 21, 4597–4606. [Google Scholar] [CrossRef] [PubMed]
- Paolini, F.; Curzio, G.; Melucci, E.; Terrenato, I.; Antoniani, B.; Carosi, M.; Mottolese, M.; Vici, P.; Mariani, L.; Venuti, A. Human papillomavirus 16 E2 interacts with neuregulin receptor degradation protein 1 affecting ErbB-3 expression in vitro and in clinical samples of cervical lesions. Eur. J. Cancer 2016, 58, 52–61. [Google Scholar] [CrossRef] [PubMed]
- Cancer Genome Atlas Research Network; Albert Einstein College of Medicine; Analytical Biological Services; Barretos Cancer Hospital; Baylor College of Medicine; Beckman Research Institute of City of Hope; Buck Institute for Research on Aging; Canada’s Michael Smith Genome Sciences Centre; Helen, F.; Graham Cancer Center & Research Institute at Christiana Care Health Services; et al. Integrated genomic and molecular characterization of cervical cancer. Nature 2017, 543, 378–384. [Google Scholar] [CrossRef] [PubMed]
- Greenman, C.; Stephens, P.; Smith, R.; Dalgliesh, G.L.; Hunter, C.; Bignell, G.; Davies, H.; Teague, J.; Butler, A.; Stevens, C.; et al. Patterns of somatic mutation in human cancer genomes. Nature 2007, 446, 153–158. [Google Scholar] [CrossRef]
- Rose, P.G.; Java, J.J.; Whitney, C.W.; Stehman, F.B.; Lanciano, R.; Thomas, G.M. Locally advanced adenocarcinoma and adenosquamous carcinomas of the cervix compared to squamous cell carcinomas of the cervix in gynecologic oncology group trials of cisplatin-based chemoradiation. Gynecol. Oncol. 2014, 135, 208–212. [Google Scholar] [CrossRef] [PubMed]
- de Almeida, V.H.; de Melo, A.C.; Meira, D.D.; Pires, A.C.; Nogueira-Rodrigues, A.; Pimenta-Inada, H.K.; Alves, F.G.; Moralez, G.; Thiago, L.S.; Ferreira, C.G.; et al. Radiotherapy modulates expression of EGFR, ERCC1 and p53 in cervical cancer. Braz. J. Med. Biol. Res. 2017, 51, e6822. [Google Scholar] [CrossRef]
- Dittmann, K.; Mayer, C.; Fehrenbacher, B.; Schaller, M.; Raju, U.; Milas, L.; Chen, D.J.; Kehlbach, R.; Rodemann, H.P. Radiation-induced epidermal growth factor receptor nuclear import is linked to activation of DNA-dependent protein kinase. J. Biol. Chem. 2005, 280, 31182–31189. [Google Scholar] [CrossRef]
- Dittmann, K.; Mayer, C.; Fehrenbacher, B.; Schaller, M.; Kehlbach, R.; Rodemann, H.P. Nuclear EGFR shuttling induced by ionizing radiation is regulated by phosphorylation at residue Thr654. FEBS Lett. 2010, 584, 3878–3884. [Google Scholar] [CrossRef] [PubMed]
- Redlich, N.; Robinson, A.M.; Nickel, K.P.; Stein, A.P.; Wheeler, D.L.; Adkins, D.R.; Uppaluri, R.; Kimple, R.J.; Van Tine, B.A.; Michel, L.S. Anti-Trop2 blockade enhances the therapeutic efficacy of ErbB3 inhibition in head and neck squamous cell carcinoma. Cell Death Dis. 2018, 9, 5. [Google Scholar] [CrossRef] [PubMed]
- Ritter, C.A.; Perez-Torres, M.; Rinehart, C.; Guix, M.; Dugger, T.; Engelman, J.A.; Arteaga, C.L. Human breast cancer cells selected for resistance to trastuzumab in vivo overexpress epidermal growth factor receptor and ErbB ligands and remain dependent on the ErbB receptor network. Clin. Cancer Res. 2007, 13, 4909–4919. [Google Scholar] [CrossRef]
- Bourillon, L.; Demontoy, S.; Lenglet, A.; Zampieri, A.; Fraisse, J.; Jarlier, M.; Boissiere-Michot, F.; Perrochia, H.; Rathat, G.; Garambois, V.; et al. Higher Anti-Tumor Efficacy of the Dual HER3-EGFR Antibody MEHD7945a Combined with Ionizing Irradiation in Cervical Cancer Cells. Int. J. Radiat. Oncol. Biol. Phys. 2020, 106, 1039–1051. [Google Scholar] [CrossRef]
Publisher’s Note: MDPI stays neutral with regard to jurisdictional claims in published maps and institutional affiliations. |
© 2022 by the authors. Licensee MDPI, Basel, Switzerland. This article is an open access article distributed under the terms and conditions of the Creative Commons Attribution (CC BY) license (https://creativecommons.org/licenses/by/4.0/).

