Atezolizumab/Bevacizumab vs. Lenvatinib as First-Line Therapy for Unresectable Hepatocellular Carcinoma: A Real-World, Multi-Center Study
Abstract
:Simple Summary
Abstract
1. Introduction
2. Materials and Methods
2.1. Treatment Regimens
2.2. Assessment of Clinical Outcomes
2.3. Statistical Analysis
3. Results
3.1. Baseline Characteristics
3.2. Treatment Responses
3.3. OS and PFS
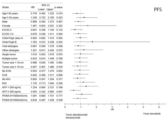
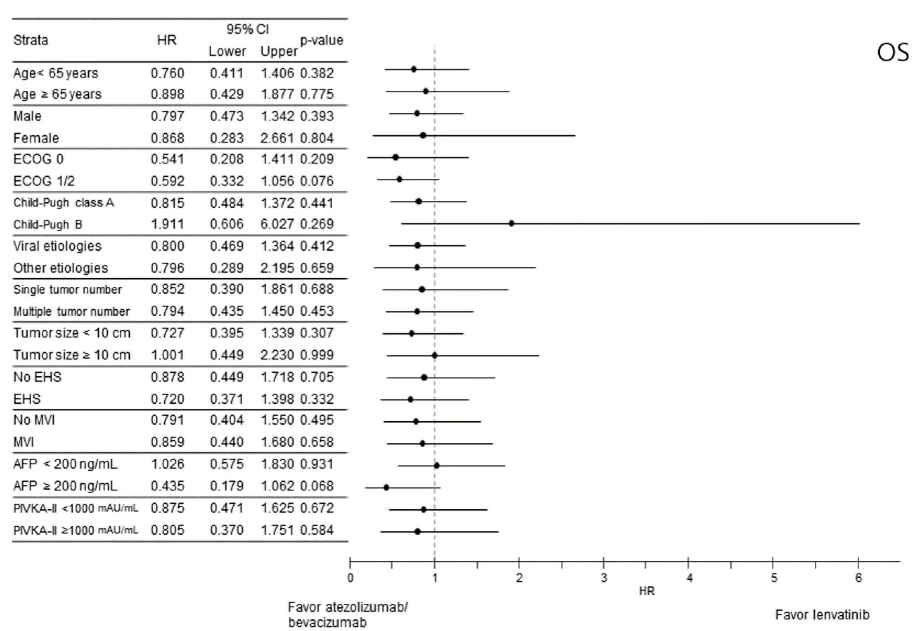
3.4. PS-Matched and IPTW Analyses of Clinical Efficacy
3.5. Subsequent Therapy
3.6. Safety
4. Discussion
5. Conclusions
Supplementary Materials
Author Contributions
Funding
Institutional Review Board Statement
Informed Consent Statement
Data Availability Statement
Acknowledgments
Conflicts of Interest
References
- Sung, H.; Ferlay, J.; Siegel, R.L. Global cancer statistics 2020: Globocan estimates of incidence and mortality worldwide for 36 cancers in 185 countries. CA Cancer J. Clin. 2021, 71, 209–249. [Google Scholar] [CrossRef]
- Chon, Y.E.; Jeong, S.W.; Jun, D.W. Hepatocellular carcinoma statistics in south korea. Clin. Mol. Hepatol. 2021, 27, 512–514. [Google Scholar] [CrossRef]
- Akinyemiju, T.; Abera, S.; Ahmed, M.; Alam, N.; Alemayohu, M.A.; Allen, C.; Al-Raddadi, R.; Alvis-Guzman, N.; Amoako, Y.; Artaman, A.; et al. The burden of primary liver cancer and underlying etiologies from 1990 to 2015 at the global, regional, and national level: Results from the global burden of disease study 2015. JAMA Oncol. 2017, 3, 1683–1691. [Google Scholar] [PubMed]
- Chon, Y.E.; Jung, K.S.; Kim, M.J.; Choi, J.Y.; An, C.; Park, J.Y.; Ahn, S.H.; Kim, B.K.; Kim, S.U. Predictors of failure to detect early hepatocellular carcinoma in patients with chronic hepatitis b who received regular surveillance. Aliment. Pharmacol. Ther. 2018, 47, 1201–1212. [Google Scholar] [CrossRef] [PubMed] [Green Version]
- Llovet, J.M.; Bustamante, J.; Castells, A.; Vilana, R.; Ayuso Mdel, C.; Sala, M.; Brú, C.; Rodés, J.; Bruix, J. Natural history of untreated nonsurgical hepatocellular carcinoma: Rationale for the design and evaluation of therapeutic trials. Hepatology 1999, 29, 62–67. [Google Scholar] [CrossRef]
- Bruix, J.; Raoul, J.L.; Sherman, M.; Mazzaferro, V.; Bolondi, L.; Craxi, A.; Galle, P.R.; Santoro, A.; Beaugrand, M.; Sangiovanni, A.; et al. Efficacy and safety of sorafenib in patients with advanced hepatocellular carcinoma: Subanalyses of a phase iii trial. J. Hepatol. 2012, 57, 821–829. [Google Scholar] [CrossRef] [PubMed] [Green Version]
- Marrero, J.A.; Kudo, M.; Venook, A.P.; Ye, S.L.; Bronowicki, J.P.; Chen, X.P.; Dagher, L.; Furuse, J.; Geschwind, J.H.; de Guevara, L.L.; et al. Observational registry of sorafenib use in clinical practice across child-pugh subgroups: The gideon study. J. Hepatol. 2016, 65, 1140–1147. [Google Scholar] [CrossRef] [PubMed] [Green Version]
- Torimura, T.; Iwamoto, H. Optimizing the management of intermediate-stage hepatocellular carcinoma: Current trends and prospects. Clin. Mol. Hepatol. 2021, 27, 236–245. [Google Scholar] [CrossRef] [PubMed]
- Kudo, M.; Finn, R.S.; Qin, S.; Han, K.H.; Ikeda, K.; Piscaglia, F.; Baron, A.; Park, J.W.; Han, G.; Jassem, J.; et al. Lenvatinib versus sorafenib in first-line treatment of patients with unresectable hepatocellular carcinoma: A randomised phase 3 non-inferiority trial. Lancet 2018, 391, 1163–1173. [Google Scholar] [CrossRef] [Green Version]
- El-Khoueiry, A.B.; Sangro, B.; Yau, T.; Crocenzi, T.S.; Kudo, M.; Hsu, C.; Kim, T.Y.; Choo, S.P.; Trojan, J.; Welling, T.H.R.; et al. Nivolumab in patients with advanced hepatocellular carcinoma (checkmate 040): An open-label, non-comparative, phase 1/2 dose escalation and expansion trial. Lancet 2017, 389, 2492–2502. [Google Scholar] [CrossRef]
- Zhu, A.X.; Finn, R.S.; Edeline, J.; Cattan, S.; Ogasawara, S.; Palmer, D.; Verslype, C.; Zagonel, V.; Fartoux, L.; Vogel, A.; et al. Pembrolizumab in patients with advanced hepatocellular carcinoma previously treated with sorafenib (keynote-224): A non-randomised, open-label phase 2 trial. Lancet Oncol. 2018, 19, 940–952. [Google Scholar] [CrossRef]
- Yau, T.; Park, J.; Finn, R.; Cheng, A.-L.; Mathurin, P.; Edeline, J.; Kudo, M.; Han, K.-H.; Harding, J.; Merle, P.; et al. Checkmate 459: A randomized, multi-center phase iii study of nivolumab (nivo) vs. sorafenib (sor) as first-line (1l) treatment in patients (pts) with advanced hepatocellular carcinoma (ahcc). Ann. Oncol. 2019, 30, v874–v875. [Google Scholar] [CrossRef]
- Finn, R.S.; Ryoo, B.Y.; Merle, P.; Kudo, M.; Bouattour, M.; Lim, H.Y.; Breder, V.; Edeline, J.; Chao, Y.; Ogasawara, S.; et al. Pembrolizumab as second-line therapy in patients with advanced hepatocellular carcinoma in keynote-240: A randomized, double-blind, phase iii trial. J. Clin. Oncol. Off. J. Am. Soc. Clin. Oncol. 2020, 38, 193–202. [Google Scholar] [CrossRef]
- Lee, M.S.; Ryoo, B.Y.; Hsu, C.H.; Numata, K.; Stein, S.; Verret, W.; Hack, S.P.; Spahn, J.; Liu, B.; Abdullah, H.; et al. Atezolizumab with or without bevacizumab in unresectable hepatocellular carcinoma (go30140): An open-label, multicentre, phase 1b study. Lancet Oncol. 2020, 21, 808–820. [Google Scholar] [CrossRef]
- Finn, R.S.; Qin, S.; Ikeda, M.; Galle, P.R.; Ducreux, M.; Kim, T.Y.; Kudo, M.; Breder, V.; Merle, P.; Kaseb, A.O.; et al. Atezolizumab plus bevacizumab in unresectable hepatocellular carcinoma. N. Engl. J. Med. 2020, 382, 1894–1905. [Google Scholar] [CrossRef]
- Llovet, J.M.; Montal, R.; Sia, D.; Finn, R.S. Molecular therapies and precision medicine for hepatocellular carcinoma. Nat. Rev. Clin. Oncol. 2018, 15, 599–616. [Google Scholar] [CrossRef]
- Heimbach, J.K.; Kulik, L.M.; Finn, R.S.; Sirlin, C.B.; Abecassis, M.M.; Roberts, L.R.; Zhu, A.X.; Murad, M.H.; Marrero, J.A. Aasld guidelines for the treatment of hepatocellular carcinoma. Hepatology 2018, 67, 358–380. [Google Scholar] [CrossRef] [Green Version]
- European Association For The Study Of The Liver. Easl clinical practice guidelines: Management of hepatocellular carcinoma. J. Hepatol. 2018, 69, 182–236. [Google Scholar] [CrossRef] [Green Version]
- Lencioni, R.; Llovet, J.M. Modified recist (mrecist) assessment for hepatocellular carcinoma. Semin. Liver Dis. 2010, 30, 52–60. [Google Scholar] [CrossRef] [Green Version]
- Yamashita, T.; Kudo, M.; Ikeda, K.; Izumi, N.; Tateishi, R.; Ikeda, M.; Aikata, H.; Kawaguchi, Y.; Wada, Y.; Numata, K.; et al. Reflect-a phase 3 trial comparing efficacy and safety of lenvatinib to sorafenib for the treatment of unresectable hepatocellular carcinoma: An analysis of japanese subset. J. Gastroenterol. 2020, 55, 113–122. [Google Scholar] [CrossRef] [PubMed] [Green Version]
- Pfister, D.; Núñez, N.G.; Pinyol, R.; Govaere, O.; Pinter, M.; Szydlowska, M.; Gupta, R.; Qiu, M.; Deczkowska, A.; Weiner, A.; et al. NASH limits anti-tumour surveillance in immunotherapy-treated HCC. Nature 2021, 592, 450–456. [Google Scholar] [CrossRef] [PubMed]
- Hapani, S.; Chu, D.; Wu, S. Risk of gastrointestinal perforation in patients with cancer treated with bevacizumab: A meta-analysis. Lancet Oncol. 2009, 10, 559–568. [Google Scholar] [CrossRef]
- Pomej, K.; Scheiner, B. Vascular complications in patients with hepatocellular carcinoma treated with sorafenib. Cancers 2020, 12, 2961. [Google Scholar] [CrossRef] [PubMed]



| Variable | All (n = 232) | LENV Group (n = 146) | ATE/BEV Group (n = 86) | p-Value |
|---|---|---|---|---|
| Age, years | 62 (56–62) | 62 (55–70) | 62 (56–71) | 0.564 |
| Male | 194 (83.6) | 124 (84.9) | 70 (81.4) | 0.582 |
| ECOG PS | ||||
| 0 | 141 (60.8) | 105 (71.9) | 36 (41.9) | <0.001 |
| 1/2 | 91 (39.2) | 41 (28.1) | 50 (58.2) | |
| Etiology | 0.582 | |||
| HBV | 152 (65.5) | 90 (61.6) | 62 (72.1) | |
| HCV | 22 (9.5) | 19 (13.0) | 3 (2.5) | |
| Alcohol | 23 (9.9) | 12 (8.2) | 11 (12.8) | |
| Others | 35 (15.1) | 25 (17.1) | 10 (11.7) | |
| BCLC stage | ||||
| B | 32 (13.8) | 14 (9.6) | 18 (20.9) | 0.001 |
| C | 200 (86.2) | 132 (90.4) | 68 (79.1) | |
| Child-Pugh Class | ||||
| A | 209 (90.0) | 127 (87.0) | 82 (95.4) | 0.169 |
| B | 23 (10.0) | 19 (13.0) | 4 (4.7) | |
| Number of intraheptic tumors | ||||
| 0 | 20 (8.6) | 14 (9.6) | 6 (7.0) | 0.001 |
| 1 | 55 (23.7) | 34 (23.3) | 21 (24.4) | |
| 2 | 41 (17.7) | 14 (9.6) | 27 (31.4) | |
| 3 | 18 (7.8) | 12 (8.2) | 6 (7.0) | |
| >3 | 98 (42.2) | 72 (49.3) | 26 (30.2) | |
| Maximal size of intraheptic tumor, cm | 6.0 (2.8–11.3) | 7.0 (3.0–11.6) | 4.9 (2.2–10.0) | 0.197 |
| Extrahepatic metastasis | 128 (55.1) | 91 (62.3) | 37 (43.0) | 0.006 |
| Macrovascular invasion | 119 (51.3) | 76 (52.1) | 43 (50.0) | 0.787 |
| Platelet count > 100 × 103/uL | 172 (74.1) | 105 (71.9) | 67 (77.9) | 0.314 |
| AFP, ng/mL | 159 (12–2698) | 185 (12–3138) | 91 (12–2383) | 0.303 |
| PIVKA-II, mAU/mL | 934 (58–10,218) | 1899 (75–12,965) | 223 (38–4872) | 0.540 |
| Previous treatment | 153 (65.9) | 93 (63.7) | 60 (69.8) | 0.391 |
| Surgery | 42 (18.1) | 19 (13.0) | 23 (26.7) | 0.013 |
| Transarterial therapy | 122 (52.6) | 77 (52.7) | 45 (52.3) | 1.000 |
| Radioablation therapy | 28 (12.1) | 19 (13.0) | 9 (10.5) | 0.678 |
| Radiation therapy | 60 (25.8) | 40 (27.4) | 20 (23.3) | 0.298 |
| Presence of varices | 147 (63.4) | 87 (59.6) | 60 (69.8) | 0.295 |
| Treated varices at baseline | 48 (20.7) | 28 (19.2) | 20 (23.3) | 0.195 |
| Response | RECIST 1.1 | Modified RECIST | ||||
|---|---|---|---|---|---|---|
| LENV Group | ATE/BEV Group | p-Value | LENV Group | ATE/BEV Group | p-Value | |
| Complete response | 2 (1.4) | 3 (3.5) | 0.745 | 2 (1.4) | 3 (3.5) | 0.742 |
| Partial response | 44 (30.1) | 25 (29.1) | 47 (32.2) | 27 (31.4) | ||
| Stable disease | 66 (45.2) | 37 (43.0) | 63 (43.2) | 35 (40.7) | ||
| Progressive disease | 34 (23.3) | 21 (24.4) | 34 (23.3) | 21 (24.4) | ||
| Objective response rate | 31.5 | 32.6 | 0.868 | 33.6 | 34.9 | 0.485 |
| Disease control rate | 76.7 | 75.6 | 0.760 | 76.8 | 75.6 | 0.682 |
| Clinical Responses and Survival Outcomes | LENV Group | ATE/BEV Group | p-Value |
|---|---|---|---|
| Entire cohort, unadjusted | n = 146 | n = 86 | |
| Objective response rate, % | 31.5 | 32.6 | 0.704 |
| Overall survival, months (95% CI) | 12.8 (6.7–18.9) | N/A | 0.357 |
| Progression-free survival, months (95% CI) | 6.0 (5.2–6.7) | 5.7 (2.1–9.3) | 0.738 |
| Entire cohort, PS-matched | n = 78 | n = 78 | |
| Objective response rate, % | 37.2 | 32.0 | 0.501 |
| Overall survival, month (95% CI) | 19.9 (9.8–19.9) | N/A | 0.897 |
| Progression-free survival, months (95% CI) | 7.3 (5.7–9.4) | 5.7 (3.8–10.5) | 0.391 |
| Entire cohort, IPTW analysis | n = 136 | n = 136 | |
| Objective response rate, % | 32.4 | 31.4 | 0.861 |
| Overall survival, months (95% CI) | 19.9 (11.1–N/A) | N/A | 0.508 |
| Progression-free survival, months (95% CI) | 6.0 (5.0–7.3) | 4.3 (3.0–8.0) | 0.468 |
| LENV Group (n = 146) | ATE/BEV Group (n = 86) | |||
|---|---|---|---|---|
| Adverse Events | Any Grade n (%) | Grade 3 or 4 n (%) | Any Grade n (%) | Grade 3 or 4 n (%) |
| Hypertension | 22 (15.1) | 4 (2.7) | 36 (41.9) | 5 (5.8) |
| AST elevation | 35 (24.0) | 1 (0.7) | 32 (37.2) | 7 (8.1) |
| Thrombocytopenia | 22 (15.1) | 0 | 31 (36.0) | 3 (3.5) |
| Fatigue | 36 (24.7) | 3 (2.1) | 31 (36.0) | 0 |
| Anemia | 8 (5.5) | 1 (0.7) | 22 (25.6) | 1 (1.2) |
| Anorexia | 42 (28.8) | 10 (6.8) | 20 (23.3) | 0 |
| ALT elevation | 29 (19.9) | 0 | 19 (22.1) | 2 (2.3) |
| Proteinuria | 25 (17.1) | 4 (2.7) | 19 (22.1) | 1 (1.2) |
| Total bilirubin elevation | 22 (15.1) | 1 (0.7) | 15 (17.4) | 4 (4.7) |
| Nausea | 14 (9.6) | 0 | 11 (12.8) | 0 |
| Rash | 2 (1.4) | 0 | 10 (11.6) | 2 (2.3) |
| Neutropenia | 12 (8.2) | 0 | 10 (11.6) | 2 (2.3) |
| Pruritus | 4 (2.8) | 0 | 7 (8.1) | 1 (1.2) |
| Gastrointestinal bleeding | 4 (2.7) | 4 (2.7) | 5 (5.8) | 3 (3.5) |
| Vomiting | 6 (4.1) | 0 | 4 (4.7) | 0 |
| Gastrointestinal perforation | 1 (0.7) | 1 (0.7) | 3 (3.5) | 3 (3.5) |
| Diarrhea | 20 (13.7) | 4 (2.7) | 3 (3.5) | 0 |
| Hypothyroidism | 12 (8.2) | 0 | 2 (2.3) | 0 |
| Intracranial hemorrhage | 0 | 0 | 1 (1.2) | 1 (1.2) |
| Pulmonary embolism | 1 (0.7) | 1 (0.7) | 1 (1.2) | 1 (1.2) |
Publisher’s Note: MDPI stays neutral with regard to jurisdictional claims in published maps and institutional affiliations. |
© 2022 by the authors. Licensee MDPI, Basel, Switzerland. This article is an open access article distributed under the terms and conditions of the Creative Commons Attribution (CC BY) license (https://creativecommons.org/licenses/by/4.0/).
Share and Cite
Kim, B.K.; Cheon, J.; Kim, H.; Kang, B.; Ha, Y.; Kim, D.Y.; Hwang, S.G.; Chon, Y.E.; Chon, H.J. Atezolizumab/Bevacizumab vs. Lenvatinib as First-Line Therapy for Unresectable Hepatocellular Carcinoma: A Real-World, Multi-Center Study. Cancers 2022, 14, 1747. https://doi.org/10.3390/cancers14071747
Kim BK, Cheon J, Kim H, Kang B, Ha Y, Kim DY, Hwang SG, Chon YE, Chon HJ. Atezolizumab/Bevacizumab vs. Lenvatinib as First-Line Therapy for Unresectable Hepatocellular Carcinoma: A Real-World, Multi-Center Study. Cancers. 2022; 14(7):1747. https://doi.org/10.3390/cancers14071747
Chicago/Turabian StyleKim, Beom Kyung, Jaekyung Cheon, Hyeyeong Kim, Beodeul Kang, Yeonjung Ha, Do Young Kim, Seong Gyu Hwang, Young Eun Chon, and Hong Jae Chon. 2022. "Atezolizumab/Bevacizumab vs. Lenvatinib as First-Line Therapy for Unresectable Hepatocellular Carcinoma: A Real-World, Multi-Center Study" Cancers 14, no. 7: 1747. https://doi.org/10.3390/cancers14071747
APA StyleKim, B. K., Cheon, J., Kim, H., Kang, B., Ha, Y., Kim, D. Y., Hwang, S. G., Chon, Y. E., & Chon, H. J. (2022). Atezolizumab/Bevacizumab vs. Lenvatinib as First-Line Therapy for Unresectable Hepatocellular Carcinoma: A Real-World, Multi-Center Study. Cancers, 14(7), 1747. https://doi.org/10.3390/cancers14071747

