Cancer Patients’ Survival According to Socioeconomic Environment in a High-Income Country with Universal Health Coverage
Abstract
:Simple Summary
Abstract
1. Introduction
2. Materials and Methods
3. Results
3.1. The Cohort
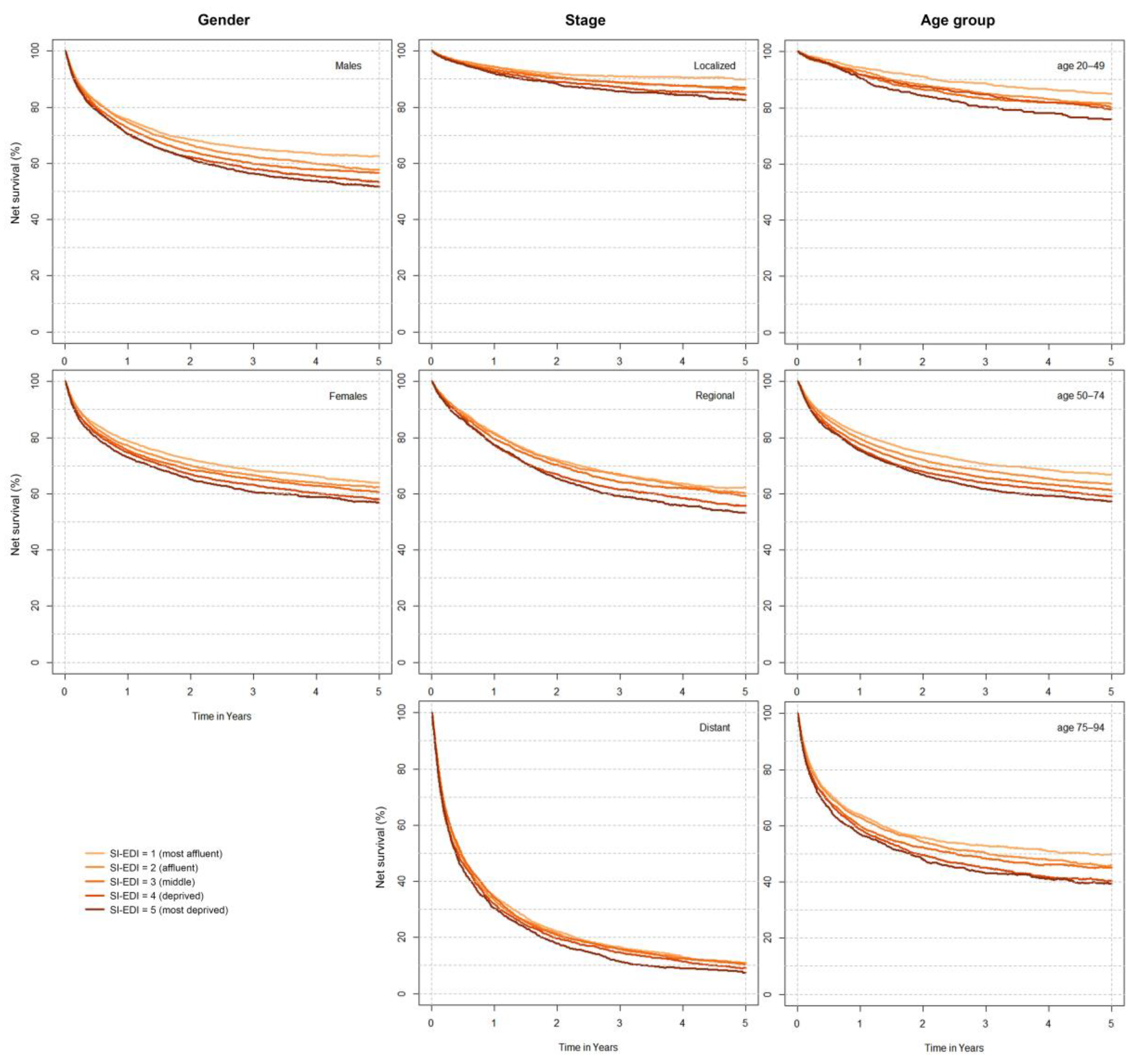
3.2. All Cancer Sites Combined
3.3. Analysis by Cancer Sites
4. Discussion
4.1. Data and Methods
4.2. All Cancers Combined
4.3. Analysis by Cancer Sites
5. Conclusions
Supplementary Materials
Author Contributions
Funding
Institutional Review Board Statement
Informed Consent Statement
Data Availability Statement
Conflicts of Interest
References
- Launoy, G.; Zadnik, V.; Coleman, M.P. Social Environment and Cancer in Europe: Towards an Evidence-Based Public Health Policy; Springer: Cham, Switzerland, 2021; p. 323. [Google Scholar]
- Mihor, A.; Tomsic, S.; Zagar, T.; Lokar, K.; Zadnik, V. Socioeconomic inequalities in cancer incidence in Europe: A comprehensive review of population-based epidemiological studies. Radiol. Oncol. 2020, 54, 1–13. [Google Scholar] [CrossRef] [PubMed] [Green Version]
- Allemani, C.; Matsuda, T.; Di Carlo, V.; Harewood, R.; Matz, M.; Niksic, M.; Bonaventure, A.; Valkov, M.; Johnson, C.J.; Esteve, J.; et al. Global surveillance of trends in cancer survival 2000-14 (CONCORD-3): Analysis of individual records for 37 513 025 patients diagnosed with one of 18 cancers from 322 population-based registries in 71 countries. Lancet 2018, 391, 1023–1075. [Google Scholar] [CrossRef] [Green Version]
- Sant, M.; Minicozzi, P.; Primic-Zakelj, M.; Otter, R.; Francisci, S.; Gatta, G.; Berrino, F.; De Angelis, R. Cancer survival in Europe, 1999-2007: Doing better, feeling worse? Eur. J. Cancer 2015, 51, 2101–2103. [Google Scholar] [CrossRef] [PubMed]
- Zadnik, V.; Primic Zakelj, M.; Lokar, K.; Jarm, K.; Ivanus, U.; Zagar, T. Cancer burden in Slovenia with the time trends analysis. Radiol. Oncol. 2017, 51, 47–55. [Google Scholar] [CrossRef] [Green Version]
- Lokar, K.; Zagar, T.; Zadnik, V. Estimation of the Ecological Fallacy in the Geographical Analysis of the Association of Socio-Economic Deprivation and Cancer Incidence. Int. J. Environ. Res. Public Health 2019, 16, 296. [Google Scholar] [CrossRef] [Green Version]
- Baili, P.; Di Salvo, F.; Marcos-Gragera, R.; Siesling, S.; Mallone, S.; Santaquilani, M.; Micheli, A.; Lillini, R.; Francisci, S.; Group, E.-W. Age and case mix-standardised survival for all cancer patients in Europe 1999–2007: Results of EUROCARE-5, a population-based study. Eur. J. Cancer 2015, 51, 2120–2129. [Google Scholar] [CrossRef]
- Zadnik, V.; Zagar, T.; Lokar, K.; Tomsic, S.; Konjevic, A.D.; Zakotnik, B. Trends in population-based cancer survival in Slovenia. Radiol. Oncol. 2021, 55, 42–49. [Google Scholar] [CrossRef]
- CRRS. Cancer in Slovenia 2018; Institue of Oncology Ljubljana, Epidemiology and Cancer Registry, Cancer Registry of Republic of Slovenia: Ljubljana, Slovenia, 2020; p. 92. [Google Scholar]
- Zadnik, V.; Primic Zakelj, M.; Zagar, T. Linkage to supplementary registration sources: Key lessons learned in the last 30 years in Slovenia. In The 38th Annual IACR Conference; Benider, A., Zanetti, R., Siesling, S., Bray, F., Eds.; IACR: Marrakech, Morocco, 2016. [Google Scholar]
- Pornet, C.; Delpierre, C.; Dejardin, O.; Grosclaude, P.; Launay, L.; Guittet, L.; Lang, T.; Launoy, G. Construction of an adaptable European transnational ecological deprivation index: The French version. J. Epidemiol. Community Health 2012, 66, 982–989. [Google Scholar] [CrossRef]
- Eurostat. EU-SILC: Description of Target Variables: Cross-Sectional and Longitudinal. 2011 Operation; European Commission. Eurostat: Brussels, Belgium, 2011; p. 418. [Google Scholar]
- Dolenc, D. Register based census 2011-a new challenge for the Slovenian national statistics. In Measuring the Well-Being and the Progress of Society: Challenges in Using and Understanding the Data; Noč Razinger, M., Panič, B., Zobec, I., Eds.; Statistical Office of the Republic of Slovenia, Statistical Society of Slovenia: Radenci, Slovenia, 2010; pp. 140–141. [Google Scholar]
- Zadnik, V.; Guillaume, E.; Lokar, K.; Zagar, T.; Primic Zakelj, M.; Launoy, G.; Launay, L. Slovenian Version of The European Deprivation Index at Municipal Level. Zdr. Varst. 2018, 57, 47–54. [Google Scholar] [CrossRef] [PubMed] [Green Version]
- Perme, M.P.; Stare, J.; Esteve, J. On estimation in relative survival. Biometrics 2012, 68, 113–120. [Google Scholar] [CrossRef]
- Pohar Perme, M.; Esteve, J.; Rachet, B. Analysing population-based cancer survival-settling the controversies. BMC Cancer 2016, 16, 933. [Google Scholar] [CrossRef] [Green Version]
- Zadnik, V.; Zagar, T.; Zakelj, M.P. Cancer Patients’ Survival: Standard Calculation Methods And Some Considerations Regarding Their Interpretation. Zdr. Varst. 2016, 55, 134–141. [Google Scholar] [CrossRef] [Green Version]
- Pohar, M.; Stare, J. Relative survival analysis in R. Comput. Methods Programs Biomed. 2006, 81, 272–278. [Google Scholar] [CrossRef]
- Cox, D.R. Regression models and life tables (with discussion). J. R. Stat. Soc. B 1972, 34, 34. [Google Scholar]
- Guillaume, E.; Pornet, C.; Dejardin, O.; Launay, L.; Lillini, R.; Vercelli, M.; Mari-Dell’Olmo, M.; Fernandez Fontelo, A.; Borrell, C.; Ribeiro, A.I.; et al. Development of a cross-cultural deprivation index in five European countries. J. Epidemiol. Community Health 2016, 70, 493–499. [Google Scholar] [CrossRef] [Green Version]
- Launoy, G.; Launay, L.; Bryere, J.; Dejardin, O.; Guillaume, E. The European Deprivation Index: A Tool to Help Build an Evidence-Based Cancer Policy for Europe. In Social Environment and Cancer in Europe: Towards an Evidence-Based Public Health Policy; Launoy, G., Zadnik, V., Coleman, M.P., Eds.; Springer: Cham, Switzerland, 2021; pp. 13–19. [Google Scholar]
- Antunes, L.; Mendonca, D.; Bento, M.J.; Rachet, B. No inequalities in survival from colorectal cancer by education and socioeconomic deprivation-a population-based study in the North Region of Portugal, 2000–2002. BMC Cancer 2016, 16, 608. [Google Scholar] [CrossRef] [Green Version]
- Bryere, J.; Dejardin, O.; Launay, L.; Colonna, M.; Grosclaude, P.; Launoy, G.; French Network of Cancer, R. Socioeconomic status and site-specific cancer incidence, a Bayesian approach in a French Cancer Registries Network study. Eur. J. Cancer Prev. 2018, 27, 391–398. [Google Scholar] [CrossRef]
- Marquant, F.; Goujon, S.; Faure, L.; Guissou, S.; Orsi, L.; Hemon, D.; Lacour, B.; Clavel, J. Risk of Childhood Cancer and Socio-economic Disparities: Results of the French Nationwide Study Geocap 2002–2010. Paediatr. Perinat. Epidemiol. 2016, 30, 612–622. [Google Scholar] [CrossRef]
- Guillaume, E.; Launay, L.; Dejardin, O.; Bouvier, V.; Guittet, L.; Dean, P.; Notari, A.; De Mil, R.; Launoy, G. Could mobile mammography reduce social and geographic inequalities in breast cancer screening participation? Prev. Med. 2017, 100, 84–88. [Google Scholar] [CrossRef] [PubMed]
- Moriceau, G.; Bourmaud, A.; Tinquaut, F.; Oriol, M.; Jacquin, J.P.; Fournel, P.; Magne, N.; Chauvin, F. Social inequalities and cancer: Can the European deprivation index predict patients’ difficulties in health care access? a pilot study. Oncotarget 2016, 7, 1055–1065. [Google Scholar] [CrossRef] [PubMed] [Green Version]
- Søgaard, M.; Thomsen, R.W.; Bossen, K.S.; Sørensen, H.T.; Nørgaard, M. The impact of comorbidity on cancer survival: A review. Clin. Epidemiol. 2013, 51, 3–29. [Google Scholar] [CrossRef] [Green Version]
- Schrijvers, C.T.; Coebergh, J.W.W.; Mackenbach, J.P. Socioeconomic status and comorbidity among newly diagnosed cancer patients. Cancer Interdiscip. Int. J. Am. Cancer Soc. 1997, 80, 1482–1488. [Google Scholar] [CrossRef]
- Medenwald, D.; Vordermark, D.; Dietzel, C.T. Cancer mortality in former East and West Germany: A story of unification? BMC Cancer 2017, 17, 94. [Google Scholar] [CrossRef] [Green Version]
- Quaglia, A.; Vercelli, M.; Lillini, R.; Mugno, E.; Coebergh, J.W.; Quinn, M.; Martinez-Garcia, C.; Capocaccia, R.; Micheli, A.; Group, E.W. Socio-economic factors and health care system characteristics related to cancer survival in the elderly. A population-based analysis in 16 European countries (ELDCARE project). Crit. Rev. Oncol. Hematol. 2005, 54, 117–128. [Google Scholar] [CrossRef]
- Gatta, G.; Trama, A.; Capocaccia, R.; Group, R.A.W. Epidemiology of rare cancers and inequalities in oncologic outcomes. Eur. J. Surg. Oncol. 2019, 45, 3–11. [Google Scholar] [CrossRef] [PubMed]
- Manser, C.N.; Bauerfeind, P. Impact of socioeconomic status on incidence, mortality, and survival of colorectal cancer patients: A systematic review. Gastrointest. Endosc. 2014, 80, 42–60 e49. [Google Scholar] [CrossRef]
- Tron, L.; Fauvernier, M.; Bouvier, A.M.; Robaszkiewicz, M.; Bouvier, V.; Cariou, M.; Jooste, V.; Dejardin, O.; Remontet, L.; Alves, A.; et al. Socioeconomic Environment and Survival in Patients with Digestive Cancers: A French Population-Based Study. Cancers 2021, 13, 5156. [Google Scholar] [CrossRef]
- Minicozzi, P.; Coleman, M.P.; Allemani, C. Social Disparities in Survival from Breast Cancer in Europe. In Social Environment and Cancer in Europe: Towards an Evidence-Based Public Health Policy; Launoy, G., Zadnik, V., Coleman, M.P., Eds.; Springer: Cham, Switzerland, 2021; pp. 71–111. [Google Scholar]
- Fuentes-Raspall, R.; Mason, M.M. Social Disparities in Survival from Prostate Cancer in Europe. In Social Environment and Cancer in Europe: Towards an Evidence-Based Public Health Policy; Launoy, G., Zadnik, V., Coleman, M.P., Eds.; Springer: Cham, Switzerland, 2021; pp. 113–120. [Google Scholar]
- Ching-López, A.; Luque-Fernandez, M.A.; Sánchez, M.J. Social Disparities in Survival from Lung Cancer in Europe. In Social Environment and Cancer in Europe: Towards an Evidence-Based Public Health Policy; Launoy, G., Zadnik, V., Coleman, M.P., Eds.; Springer: Cham, Switzerland, 2021; pp. 121–140. [Google Scholar]
- Afshar, N.; English, D.R.; Milne, R.L. Factors Explaining Socio-Economic Inequalities in Cancer Survival: A Systematic Review. Cancer Control 2021, 28, 10732748211011956. [Google Scholar] [CrossRef] [PubMed]
- Sass, V.; Gadeyne, S. Social Disparities in Survival from Head and Neck Cancers in Europe. In Social Environment and Cancer in Europe: Towards an Evidence-Based Public Health Policy; Launoy, G., Zadnik, V., Coleman, M.P., Eds.; Springer: Cham, Switzerland, 2021; pp. 141–158. [Google Scholar]
- Smith, M.J.; Belot, A.; Quartagno, M.; Luque Fernandez, M.A.; Bonaventure, A.; Gachau, S.; Benitez Majano, S.; Rachet, B.; Njagi, E.N. Excess Mortality by Multimorbidity, Socioeconomic, and Healthcare Factors, amongst Patients Diagnosed with Diffuse Large B-Cell or Follicular Lymphoma in England. Cancers 2021, 13, 5805. [Google Scholar] [CrossRef]


| SI-EDI = 1 (Most Affluent) | SI-EDI = 2 (Affluent) | SI-EDI = 3 (Middle) | SI-EDI = 4 (Deprived) | SI-EDI = 5 (Most Deprived) | ||||||
|---|---|---|---|---|---|---|---|---|---|---|
| Cancer Site | N | Survival (95% CI) | N | Survival (95% CI) | N | Survival (95% CI) | N | Survival (95% CI) | N | Survival (95% CI) | 
| * All cancers (C00–C96 excl.C44) | 14,160 | 63.2 (62.1–64.3) | 13,569 | 59.8 (58.7–60.9) | 13,270 | 58.4 (57.3–59.5) | 11,113 | 55.4 (54.2–56.6) | 6773 | 54.0 (52.5–55.5) | 
| Lip, oral cavity and pharynx (C00–C14) | 336 | 51.1 (45.1–58.0) | 333 | 53.8 (47.6–60.9) | 420 | 55.2 (49.7–61.4) | 410 | 44.7 (38.9–51.3) | 262 | 40.9 (34.5–48.5) | 
| Larynx (C32) | 86 | 84.6 (71.2–100.5) | 113 | 60.8 (50.8–72.6) | 127 | 63.6 (53.9–75.1) | 105 | 60.0 (50.0–72.0) | 74 | 54.7 (41.8–71.5) | 
| Esophagus (C15) | 102 | 12.2 (6.9–21.4) | 100 | 8.7 (4.3–17.7) | 89 | 20.0 (12.3–32.7) | 87 | 10.9 (6.0–20.1) | 71 | 4.6 (1.5–13.8) | 
| Stomach (C16) | 475 | 33.3 (28.1–39.5) | 463 | 33.5 (28.6–39.2) | 489 | 28.2 (23.8–33.5) | 453 | 33.1 (28.2–38.7) | 299 | 22.1 (17.1–28.5) | 
| * Colon and rectum (C18–C20) | 1586 | 67.7 (64.4–71.1) | 1608 | 63.7 (60.4–67.2) | 1536 | 61.6 (58.2–65.1) | 1258 | 60.3 (56.7–64.0) | 824 | 53.3 (49.0–57.9) | 
| Liver (C22.0) | 154 | 14.4 (9.3–22.2) | 172 | 11.5 (6.9–19.2) | 172 | 6.4 (3.2–12.7) | 147 | 13.7 (8.6–21.7) | 105 | 12.2 (6.8–21.9) | 
| Gallbladder and bile ducts (C23, C24) | 239 | 13.9 (9.7–20.0) | 240 | 14.9 (10.5–21.0) | 212 | 17.1 (11.9–24.4) | 167 | 10.5 (6.5–17.0) | 102 | 15.2 (9.1–25.3) | 
| Pancreas (C25) | 499 | 7.5 (5.3–10.6) | 458 | 9.6 (7.1–13.0) | 473 | 5.1 (3.3–7.9) | 372 | 6.5 (4.2–10.2) | 182 | 6.9 (3.9–12.3) | 
| * Lung (C33, C34) | 1609 | 22.7 (20.4–25.3) | 1582 | 22.0 (19.8–24.6) | 1690 | 20.5 (18.3–22.8) | 1444 | 21.1 (18.8–23.6) | 897 | 16.3 (13.7–19.4) | 
| Soft tissue (C38.0, C47–C49) | 92 | 61.0 (49.9–74.6) | 88 | 60.1 (48.6–74.1) | 89 | 51.1 (40.1–65.0) | 64 | 46.1 (33.4–63.8) | 32 | 52.2 (36.4–74.8) | 
| Cutaneous melanoma (C43) | 807 | 93.8 (89.9–98.0) | 710 | 90.0 (85.8–94.4) | 591 | 92.8 (88.4–97.3) | 465 | 85.9 (80.7–91.5) | 259 | 86.8 (79.8–94.3) | 
| Breast (C50) ** | 1655 | 88.6 (86.1–91.2) | 1626 | 87.2 (84.5–89.9) | 1651 | 86.3 (83.7–89.0) | 1336 | 85.0 (82.0–88.1) | 718 | 89.2 (85.1–93.5) | 
| Cervix uteri (C53) ** | 112 | 71.7 (62.6–82.1) | 122 | 64.4 (55.9–74.2) | 114 | 75.8 (66.9–86.0) | 119 | 65.0 (56.2–75.1) | 82 | 77.0 (65.2–91.0) | 
| Corpus uteri (C54)** | 413 | 83.2 (77.9–88.8) | 404 | 81.5 (76.4–86.9) | 393 | 84.5 (79.3–90.1) | 342 | 73.7 (68.1–79.9) | 214 | 75.1 (67.0–84.2) | 
| Ovary (C56) ** | 155 | 49.7 (41.5–59.5) | 173 | 39.1 (31.5–48.4) | 184 | 38.0 (30.8–46.9) | 141 | 44.5 (36.2–54.6) | 79 | 35.1 (24.8–49.6) | 
| Prostate (C61) ** | 2097 | 98.3 (95.9–100.8) | 1849 | 93.2 (90.5–95.9) | 1791 | 94.8 (92.3–97.4) | 1453 | 91.5 (88.6–94.6) | 880 | 90.6 (86.8–94.5) | 
| Testis (C62) ** | 141 | 99.0 (96.0–102.0) | 129 | 94.3 (89.9–99.0) | 126 | 96.5 (92.7–100.4) | 98 | 96.6 (92.3–101.0) | 64 | 99.4 (96.2–102.7) | 
| Kidney (C64, C65) | 434 | 65.3 (59.5–71.7) | 432 | 69.5 (63.7–75.9) | 421 | 63.0 (57.1–69.5) | 374 | 66.7 (59.9–74.2) | 246 | 61.9 (54.8–69.9) | 
| Bladder (C67) | 449 | 57.9 (51.9–64.6) | 426 | 56.8 (50.0–64.6) | 384 | 57.9 (50.8–66.0) | 308 | 45.1 (37.9–53.6) | 175 | 44.7 (35.7–56.1) | 
| Brain (C70–C72) | 198 | 13.5 (9.3–19.6) | 190 | 10.7 (6.9–16.6) | 179 | 20.2 (14.9–27.3) | 158 | 16.3 (11.4–23.4) | 94 | 15.0 (8.9–25.1) | 
| Thyroid (C73) | 252 | 95.4 (91.5–99.5) | 222 | 94.6 (90.2–99.3) | 218 | 93.1 (88.5–97.9) | 164 | 94.9 (89.2–101.0) | 112 | 97.6 (92.3–103.3) | 
| Hodgkin’s lymphoma (C81) | 56 | 80.3 (68.7–93.9) | 70 | 82.4 (72.3–94.0) | 55 | 79.1 (67.8–92.2) | 38 | 81.6 (68.1–97.8) | 16 | / | 
| Non-Hodgkin’s lymphoma (C82–C85) | 537 | 66.1 (60.9–71.8) | 493 | 64.6 (59.3–70.3) | 452 | 62.4 (56.9–68.5) | 371 | 59.2 (53.3–65.7) | 230 | 62.9 (55.0–72.0) | 
| Plasmacytoma (C90) | 174 | 43.8 (35.3–54.4) | 171 | 40.1 (30.9–52.0) | 139 | 46.0 (36.9–57.4) | 137 | 40.2 (30.4–53.3) | 64 | 52.1 (39.3–69.1) | 
| Leukaemia (C91–C95) | 403 | 60.4 (53.9–67.6) | 362 | 53.9 (48.0–60.6) | 337 | 41.3 (34.8–49.0) | 287 | 41.2 (34.1–49.8) | 199 | 55.3 (46.6–65.7) | 
| Cancer Site | SI-EDI = 2 (Affluent) | SI-EDI = 3 (Middle) | SI-EDI = 4 (Deprived) | SI-EDI = 5 (Most Deprived) | 
|---|---|---|---|---|
| All cancers | 1.07 * | 1.11 * | 1.18 * | 1.23 * | 
| (C00−C96 excl.C44) | (1.05−1.09) | (1.09−1.13) | (1.16−1.20) | (1.21−1.26) | 
| Lip, oral cavity | 1.03 | 1.04 | 1.17 * | 1.15 * | 
| and pharynx (C00−C14) | (0.93−1.15) | (0.94−1.15) | (1.06−1.30) | (1.03−1.29) | 
| Larynx (C32) | 1.16 | 1.05 | 1.18 | 1.25 | 
| (0.94−1.41) | (0.86−1.28) | (0.95−1.45) | (1.00−1.57) | |
| Esophagus (C15) | 1.12 | 0.82 | 1.01 | 1.15 | 
| (0.94−1.34) | (0.69−0.98) | (0.85−1.20) | (0.95−1.39) | |
| Stomach (C16) | 1.04 | 1.03 | 1.05 | 1.13 * | 
| (0.96−1.13) | (0.95−1.12) | (0.97−1.14) | (1.03−1.23) | |
| Colon and rectum | 1.02 | 1.07 * | 1.10 * | 1.25 * | 
| (C18−C20) | (0.97−1.07) | (1.02−1.13) | (1.04−1.15) | (1.18−1.33) | 
| Liver (C22.0) | 1.01 | 1.16 * | 1.02 | 1.25 * | 
| (0.87−1.16) | (1.00−1.34) | (0.88−1.19) | (1.06−1.47) | |
| Gallbladder and | 0.95 | 0.96 | 1.09 | 1.14 | 
| bile ducts (C23, C24) | (0.85−1.08) | (0.85−1.08) | (0.97−1.24) | (0.98−1.32) | 
| Pancreas (C25) | 1.07 | 1.09 * | 1.18 * | 1.21 * | 
| (0.98−1.16) | (1.00−1.18) | (1.08−1.29) | (1.09−1.34) | |
| Lung (C33, C34) | 1.05 * | 1.08 * | 1.08 * | 1.14 * | 
| (1.00−1.09) | (1.03−1.13) | (1.03−1.13) | (1.08−1.20) | |
| Soft tissues | 0.83 | 0.89 | 1.04 | 1.17 | 
| (C38.0, C47−C49) | (0.67−1.04) | (0.70−1.12) | (0.82−1.32) | (0.88−1.54) | 
| Cutaneous melanoma | 1.16 * | 1.15 * | 1.36 * | 1.17 * | 
| (C43) | (1.03−1.30) | (1.02−1.29) | (1.20−1.53) | (1.00−1.35) | 
| Breast (C50) ** | 1.04 | 1.08 * | 1.12 * | 1.22 * | 
| (0.97−1.12) | (1.00−1.16) | (1.04−1.21) | (1.12−1.33) | |
| Cervix uteri (C53) ** | 1.01 | 0.95 | 1.10 | 1.09 | 
| (0.81−1.25) | (0.76−1.18) | (0.89−1.37) | (0.86−1.38) | |
| Corpus uteri (C54) ** | 1.17 * | 1.07 | 1.24 * | 1.28 * | 
| (1.02−1.34) | (0.94−1.23) | (1.07−1.42) | (1.09−1.51) | |
| Ovary (C56) ** | 1.12 | 1.13 | 1.23 * | 1.28 * | 
| (0.97−1.29) | (0.98−1.31) | (1.06−1.43) | (1.08−1.52) | |
| Prostate (C61) ** | 1.07 * | 1.15 * | 1.27 * | 1.27 * | 
| (1.01−1.14) | (1.09−1.23) | (1.19−1.35) | (1.17−1.36) | |
| Testis (C62) ** | 1.73 | 1.94 * | 1.40 | 1.73 | 
| (0.93−3.23) | (1.06−3.55) | (0.73−2.68) | (0.86−3.48) | |
| Kidney (C64, C65) | 1.11 | 1.23 * | 1.29 * | 1.14 | 
| (0.99−1.23) | (1.11−1.38) | (1.15−1.44) | (1.00−1.30) | |
| Bladder (C67) | 0.98 | 1.08 | 1.15 * | 1.21 * | 
| (0.89−1.08) | (0.98−1.20) | (1.03−1.27) | (1.07−1.37) | |
| Brain (C70−C72) | 1.08 | 0.95 | 1.02 | 1.03 | 
| (0.95−1.24) | (0.83−1.08) | (0.88−1.17) | (0.87−1.22) | |
| Thyroid (C73) | 1.00 | 1.06 | 0.71 | 0.67 | 
| (0.75−1.32) | (0.80−1.40) | (0.50−1.01) | (0.45−0.99) | |
| Hodgkin’s lymphoma | 0.87 | 1.12 | 1.07 | 1.57 | 
| (C81) *** | (0.56−1.34) | (0.72−1.75) | (0.66−1.72) | (0.90−2.73) | 
| Non-Hodgkin’s lymphoma | 1.00 | 1.05 | 1.18 * | 1.18 * | 
| (C82−C85) *** | (0.90−1.11) | (0.94−1.17) | (1.05−1.32) | (1.03−1.36) | 
| Plasmacytoma | 1.09 | 1.04 | 1.02 | 1.15 | 
| (C90) *** | (0.94−1.26) | (0.90−1.21) | (0.87−1.19) | (0.96−1.39) | 
| Leukaemia | 1.11 | 1.31 * | 1.36 * | 1.31 * | 
| (C91−C95) *** | (1.00−1.24) | (1.17−1.46) | (1.22−1.52) | (1.15−1.49) | 
| Publisher’s Note: MDPI stays neutral with regard to jurisdictional claims in published maps and institutional affiliations. | 
© 2022 by the authors. Licensee MDPI, Basel, Switzerland. This article is an open access article distributed under the terms and conditions of the Creative Commons Attribution (CC BY) license (https://creativecommons.org/licenses/by/4.0/).
Share and Cite
Zadnik, V.; Žagar, T.; Tomšič, S.; Mihor, A.; Lokar, K. Cancer Patients’ Survival According to Socioeconomic Environment in a High-Income Country with Universal Health Coverage. Cancers 2022, 14, 1620. https://doi.org/10.3390/cancers14071620
Zadnik V, Žagar T, Tomšič S, Mihor A, Lokar K. Cancer Patients’ Survival According to Socioeconomic Environment in a High-Income Country with Universal Health Coverage. Cancers. 2022; 14(7):1620. https://doi.org/10.3390/cancers14071620
Chicago/Turabian StyleZadnik, Vesna, Tina Žagar, Sonja Tomšič, Ana Mihor, and Katarina Lokar. 2022. "Cancer Patients’ Survival According to Socioeconomic Environment in a High-Income Country with Universal Health Coverage" Cancers 14, no. 7: 1620. https://doi.org/10.3390/cancers14071620
APA StyleZadnik, V., Žagar, T., Tomšič, S., Mihor, A., & Lokar, K. (2022). Cancer Patients’ Survival According to Socioeconomic Environment in a High-Income Country with Universal Health Coverage. Cancers, 14(7), 1620. https://doi.org/10.3390/cancers14071620
 
         
                                                

 
       