Prognosis Stratification Tools in Early-Stage Endometrial Cancer: Could We Improve Their Accuracy?
Abstract
:Simple Summary
Abstract
1. Introduction
2. Materials and Methods
2.1. Study Cohort
2.2. Sample Selection
2.3. Risk Stratification Tools
2.4. Biomarker Analysis
2.5. Statistical Analysis
3. Results
3.1. Description of Clinical Characteristics
3.2. Prognosis Features and Accuracy of Stratification Tools
3.3. Other Biomarker Assessments
4. Discussion
5. Conclusions
Supplementary Materials
Author Contributions
Funding
Institutional Review Board Statement
Informed Consent Statement
Data Availability Statement
Acknowledgments
Conflicts of Interest
References
- Creutzberg, C.; van Putten, W.L.; Koper, P.C.; Lybeert, M.L.; Jobsen, J.J.; Wárlám-Rodenhuis, C.C.; De Winter, K.A.; Lutgens, L.C.; van den Bergh, A.C.; van de Steen-Banasik, E.; et al. Surgery and postoperative radiotherapy versus surgery alone for patients with stage-1 endometrial carcinoma: Multicentre randomised trial. Lancet 2000, 355, 1404–1411. [Google Scholar] [CrossRef]
- Colombo, N.; Creutzberg, C.; Amant, F.; Bosse, T.; González-Martín, A.; Ledermann, J.; Marth, C.; Nout, R.; Querleu, D.; Mirza, M.R.; et al. ESMO-ESGO-ESTRO Consensus Conference on Endometrial Cancer: Diagnosis, treatment and follow-up. Ann. Oncol. 2016, 27, 16–41. [Google Scholar] [CrossRef] [PubMed]
- Lajer, H.; Elnegaard, S.; Christensen, R.D.; Ortoft, G.; Schledermann, D.E.; Mogensen, O. Survival after stage IA endometrial cancer; can follow-up be altered? A prospective nationwide Danish survey. Acta Obstet. Gynecol. Scand. 2012, 91, 976–982. [Google Scholar] [CrossRef] [PubMed]
- Colombo, N.; Preti, E.; Landoni, F.; Carinelli, S.; Colombo, A.; Marini, C.; Sessa, C. Endometrial cancer: ESMO Clinical Practice Guidelines for diagnosis, treatment and follow-up. Ann. Oncol. 2013, 24 (Suppl. S6), vi33–vi38. [Google Scholar] [CrossRef]
- The Cancer Genome Atlas Research Network; Kandoth, C.; Schultz, N.; Cherniack, A.D.; Akbani, R.; Liu, Y.; Shen, H.; Robertson, A.G.; Pashtan, I.; Shen, R.; et al. Integrated genomic characterization of endometrial carcinoma. Nature 2013, 497, 67–73, Erratum in Nature 2013, 500, 242. [Google Scholar] [CrossRef] [Green Version]
- Stelloo, E.; Bosse, T.; Nout, R.A.; Mackay, H.J.; Church, D.N.; Nijman, H.W.; Leary, A.; Edmondson, R.J.; Powell, M.E.; Crosbie, E.J.; et al. Refining prognosis and identifying targetable pathways for high-risk endometrial cancer; a TransPORTEC initiative. Mod. Pathol. 2015, 28, 836–844. [Google Scholar] [CrossRef] [Green Version]
- Talhouk, A.; McConechy, M.K.; Leung, S.; Li-Chang, H.H.; Kwon, J.S.; Melnyk, N.; Yang, W.; Senz, J.; Boyd, N.F.; Karnezis, A.N.; et al. A clinically applicable molecular-based classification for endometrial cancers. Br. J. Cancer 2015, 113, 299–310. [Google Scholar] [CrossRef] [Green Version]
- Stelloo, E.; Nout, R.A.; Osse, E.M.; Juergenliemk-Schulz, I.J.; Jobsen, J.J.; Lutgens, L.C.; Van Der Steen-Banasik, E.M.; Nijman, H.W.; Putter, H.; Bosse, T.; et al. Improved Risk Assessment by Integrating Molecular and Clinicopathological Factors in Early-stage Endometrial Cancer—Combined Analysis of the PORTEC Cohorts. Clin. Cancer Res. 2016, 22, 4215–4224. [Google Scholar] [CrossRef] [Green Version]
- Markova, I.; Duskova, M.; Lubusky, M.; Kudela, M.; Zapletalová, J.; Procházka, M.; Pilka, R. Selected Immunohistochemical Prognostic Factors in Endometrial Cancer. Int. J. Gynecol. Cancer 2010, 20, 576–582. [Google Scholar] [CrossRef]
- Dellinger, T.H.; Smith, D.; Ouyang, C.; Warden, C.D.; Williams, J.C.; Han, E.S. L1CAM is an independent predictor of poor survival in endometrial cancer—An analysis of The Cancer Genome Atlas (TCGA). Gynecol. Oncol. 2017, 4, 336–340. [Google Scholar] [CrossRef] [Green Version]
- Vermij, L.; Horeweg, N.; Leon-Castillo, A.; Rutten, T.A.; Mileshkin, L.R.; Mackay, H.J.; Leary, A.; Powell, M.E.; Singh, N.; Crosbie, E.J.; et al. HER2 Status in High-Risk Endometrial Cancers (PORTEC-3): Relationship with Histotype, Molecular Classification, and Clinical Outcomes. Cancers 2020, 13, 44. [Google Scholar] [CrossRef] [PubMed]
- Geels, Y.P.; Van Der Putten, L.J.; Van Tilborg, A.A.; Nienhaus, B.E.; Erp, S.H.V.D.B.-V.; Snijders, M.P.; Van Der Wurff, A.; Massuger, L.F.; Bulten, J.; Pijnenborg, J.M. Immunohistochemical Profiles of Endometrioid Endometrial Carcinomas With and Without Metastatic Disease. Appl. Immunohistochem. Mol. Morphol. 2018, 26, 173–179. [Google Scholar] [CrossRef] [PubMed]
- Ruz-Caracuel, I.; López-Janeiro, Á.; Heredia-Soto, V.; Ramón-Patino, J.L.; Yébenes, L.; Berjón, A.; Hernández, A.; Gallego, A.; Ruiz, P.; Redondo, A.; et al. Clinicopathological features and prognostic significance of CTNNB1 mutation in low-grade, early-stage endometrial endometrioid carcinoma. Virchows Arch. 2021, 479, 1167–1176. [Google Scholar] [CrossRef] [PubMed]
- Karnezis, A.N.; Leung, S.; Magrill, J.; McConechy, M.K.; Yang, W.; Chow, C.; Kobel, M.; Lee, C.-H.; Huntsman, D.G.; Talhouk, A.; et al. Evaluation of endometrial carcinoma prognostic immunohistochemistry markers in the context of molecular classification. J. Pathol. Clin. Res. 2017, 3, 279–293. [Google Scholar] [CrossRef]
- Concin, N.; Matias-Guiu, X.; Vergote, I.; Cibula, D.; Mirza, M.R.; Marnitz, S.; Ledermann, J.; Bosse, T.; Chargari, C.; Fagotti, A.; et al. ESGO/ESTRO/ESP guidelines for the management of patients with endometrial carcinoma. Int. J. Gynecol. Cancer 2021, 31, 12–39. [Google Scholar] [CrossRef]
- Mendiola, M.; Barriuso, J.; Mariño-Enríquez, A.; Redondo, A.; Domínguez-Cáceres, A.; Hernández-Cortés, G.; Pérez-Fernández, E.; Sanchez, A.R.; Vara, J.F.; Suárez, A.; et al. Aurora kinases as prognostic biomarkers in ovarian carcinoma. Hum. Pathol. 2009, 40, 631–638. [Google Scholar] [CrossRef]
- Church, D.N.; Briggs, S.E.; Palles, C.; Domingo, E.; Kearsey, S.J.; Grimes, J.M.; Gorman, M.; Martin, L.; Howarth, K.M.; Hodgson, S.V.; et al. DNA polymerase ɛ and δ exonuclease domain mutations in endometrial cancer. Hum. Mol. Genet. 2013, 22, 2820–2828. [Google Scholar] [CrossRef] [Green Version]
- León-Castillo, A.; Britton, H.; McConechy, M.K.; McAlpine, J.N.; Nout, R.; Kommoss, S.; Brucker, S.Y.; Carlson, J.W.; Epstein, E.; Rau, T.T.; et al. Interpretation of somatic POLE mutations in endometrial carcinoma. J. Pathol. 2020, 250, 323–335. [Google Scholar] [CrossRef]
- Stelloo, E.; Jansen, A.M.L.; Osse, E.M.; Nout, R.A.; Creutzberg, C.; Ruano, D.; Church, D.; Morreau, H.; Smit, V.T.H.B.M.; van Wezel, T.; et al. Practical guidance for mismatch repair-deficiency testing in endometrial cancer. Ann. Oncol. 2017, 28, 96–102. [Google Scholar] [CrossRef]
- Zhang, Z. Multiple imputation with multivariate imputation by chained equation (MICE) package. Ann. Transl. Med. 2016, 4, 30. [Google Scholar] [CrossRef]
- Heagerty, P.J.; Zheng, Y. Survival Model Predictive Accuracy and ROC Curves. Biometrics 2005, 61, 92–105. [Google Scholar] [CrossRef] [PubMed] [Green Version]
- Harrell, F.E.; Califf, R.M.; Pryor, D.B.; Lee, K.L.; Rosati, R.A. Evaluating the Yield of Medical Tests. JAMA J. Am. Med. Assoc. 1982, 247, 2543–2546. [Google Scholar] [CrossRef]
- Hou, X.R.; Yu, L.; Hu, K.; Zhang, F.Q.; Wang, N.N. Outcomes of intermediate-risk to high-risk stage i endometrial cancer: 10-year clinical experiences of using in-house multi-channel applicators in a single center. Chin. Med. J. 2019, 132, 1935–1941. [Google Scholar] [CrossRef] [PubMed]
- Vizza, E.; Cutillo, G.; Bruno, V.; Sperduti, I.; Mancini, E.; Baiocco, E.; Chiofalo, B.; Cicchillitti, L.; Certelli, C.; Zampa, A.; et al. Pattern of recurrence in patients with endometrial cancer: A retrospective study. Eur. J. Surg. Oncol. (EJSO) 2020, 46, 1697–1702. [Google Scholar] [CrossRef] [PubMed]
- Britton, H.; Huang, L.; Lum, A.; Leung, S.; Shum, K.; Kale, M.; Burleigh, A.; Senz, J.; Yang, W.; McConechy, M.; et al. Molecular classification defines outcomes and opportunities in young women with endometrial carcinoma. Gynecol. Oncol. 2019, 153, 487–495. [Google Scholar] [CrossRef] [PubMed]
- López-Reig, R.; Fernández-Serra, A.; Romero, I.; Zorrero, C.; Illueca, C.; García-Casado, Z.; Poveda, A.; López-Guerrero, J.A. Prognostic classification of endometrial cancer using a molecular approach based on a twelve-gene NGS panel. Sci. Rep. 2019, 9, 1–9. [Google Scholar] [CrossRef] [PubMed] [Green Version]
- Raffone, A.; Travaglino, A.; Mascolo, M.; Carotenuto, C.; Guida, M.; Mollo, A.; Insabato, L.; Zullo, F. Histopathological characterization of ProMisE molecular groups of endometrial cancer. Gynecol. Oncol. 2020, 157, 252–259. [Google Scholar] [CrossRef]
- Raffone, A.; Travaglino, A.; Gabrielli, O.; Micheli, M.; Zuccalà, V.; Bitonti, G.; Camastra, C.; Gargiulo, V.; Insabato, L.; Zullo, F. Clinical features of ProMisE groups identify different phenotypes of patients with endometrial cancer. Arch. Gynecol. Obstet. 2021, 303, 1393–1400. [Google Scholar] [CrossRef]
- Huvila, J.; Orte, K.; Vainio, P.; Mettälä, T.; Joutsiniemi, T.; Hietanen, S. Molecular subtype diagnosis of endometrial carcinoma: Comparison of the next-generation sequencing panel and Proactive Molecular Risk Classifier for Endometrial Cancer classifier. Hum. Pathol. 2021, 111, 98–109. [Google Scholar] [CrossRef]
- Talhouk, A.; McConechy, M.K.; Leung, S.; Yang, W.; Lum, A.; Senz, J.; Boyd, N.; Pike, J.; Anglesio, M.; Kwon, J.S.; et al. Confirmation of ProMisE: A simple, genomics-based clinical classifier for endometrial cancer. Cancer 2017, 123, 802–813. [Google Scholar] [CrossRef] [Green Version]
- Imboden, S.; Nastic, D.; Ghaderi, M.; Rydberg, F.; Rau, T.T.; Mueller, M.D.; Epstein, E.; Carlson, J.W. Phenotype of POLE-mutated endometrial cancer. PLoS ONE 2019, 14, e0214318. [Google Scholar] [CrossRef] [PubMed] [Green Version]
- Ortoft, G.; Høgdall, C.; Hansen, E.S.; Dueholm, M. Predictive value of the new ESGO-ESTRO-ESP endometrial cancer risk classification on survival and recurrence in the Danish population. Int. J. Gynecol. Cancer 2021, 31, 1116–1124. [Google Scholar] [CrossRef] [PubMed]
- Imboden, S.; Nastic, D.; Ghaderi, M.; Rydberg, F.; Siegenthaler, F.; Mueller, M.D.; Rau, T.T.; Epstein, E.; Carlson, J.W. Implementation of the 2021 molecular ESGO/ESTRO/ESP risk groups in endometrial cancer. Gynecol. Oncol. 2021, 162, 394–400. [Google Scholar] [CrossRef] [PubMed]
- Guan, J.; Xie, L.; Luo, X.; Yang, B.; Zhang, H.; Zhu, Q.; Chen, X. The prognostic significance of estrogen and progesterone receptors in grade I and II endometrioid endometrial adenocarcinoma: Hormone receptors in risk stratification. J. Gynecol. Oncol. 2019, 30. [Google Scholar] [CrossRef] [PubMed]
- Mell, L.K.; Meyer, J.J.; Tretiakova, M.; Khramtsov, A.; Gong, C.; Yamada, S.D.; Montag, A.G.; Mundt, A.J. Prognostic significance of E-cadherin protein expression in pathological stage I-III endometrial cancer. Clin. Cancer Res. 2004, 10, 5546–5553. [Google Scholar] [CrossRef] [PubMed] [Green Version]
- Diver, E.J.; Foster, R.; Rueda, B.R.; Growdon, W.B. The Therapeutic Challenge of Targeting HER2 in Endometrial Cancer. Oncologist 2015, 20, 1058–1068. [Google Scholar] [CrossRef] [PubMed] [Green Version]
- Akiyama-Abe, A.; Minaguchi, T.; Nakamura, Y.; Michikami, H.; Shikama, A.; Nakao, S.; Sakurai, M.; Ochi, H.; Onuki, M.; Matsumoto, K.; et al. Loss of PTEN expression is an independent predictor of favourable survival in endometrial carcinomas. Br. J. Cancer 2013, 109, 1703–1710. [Google Scholar] [CrossRef] [Green Version]
- Toumpeki, C.; Liberis, A.; Tsirkas, I.; Tsirka, T.; Kalagasidou, S.; Inagamova, L.; Anthoulaki, X.; Tsatsaris, G.; Kontomanolis, E.N. The Role of ARID1A in Endometrial Cancer and the Molecular Pathways Associated With Pathogenesis and Cancer Progression. In Vivo 2019, 33, 659–667. [Google Scholar] [CrossRef]
- Zeimet, A.G.; Reimer, D.; Huszar, M.; Winterhoff, B.; Puistola, U.; Azim, S.A.; Müller-Holzner, E.; Ben-Arie, A.; van Kempen, L.C.; Petru, E.; et al. L1CAM in Early-Stage Type I Endometrial Cancer: Results of a Large Multicenter Evaluation. J. Natl. Cancer Inst. 2013, 105, 1142–1150. [Google Scholar] [CrossRef]
- Bosse, T.; Nout, R.; Stelloo, E.; Dreef, E.; Nijman, H.; Jürgenliemk-Schulz, I.; Jobsen, J.; Creutzberg, C.; Smit, V. L1 cell adhesion molecule is a strong predictor for distant recurrence and overall survival in early stage endometrial cancer: Pooled PORTEC trial results. Eur. J. Cancer 2014, 50, 2602–2610. [Google Scholar] [CrossRef]
- Liu, Y.; Patel, L.; Mills, G.B.; Lu, K.H.; Sood, A.K.; Ding, L.; Kucherlapati, R.; Mardis, E.R.; Levine, D.A.; Shmulevich, I.; et al. Clinical Significance of CTNNB1 Mutation and Wnt Pathway Activation in Endometrioid Endometrial Carcinoma. J. Natl. Cancer Inst. 2014, 106. [Google Scholar] [CrossRef] [PubMed] [Green Version]
- Heerik, A.S.V.M.V.D.; Horeweg, N.; Nout, R.A.; Lutgens, L.C.H.W.; Van Der Steen-Banasik, E.M.; Westerveld, G.H.; Berg, H.A.V.D.; Slot, A.; Koppe, F.L.A.; Kommoss, S.; et al. PORTEC-4a: International randomized trial of molecular profile-based adjuvant treatment for women with high-intermediate risk endometrial cancer. Int. J. Gynecol. Cancer 2020, 30, 2002–2007. [Google Scholar] [CrossRef] [PubMed]
- Zhan, T.; Rindtorff, N.; Boutros, M. Wnt signaling in cancer. Oncogene 2017, 36, 1461–1473. [Google Scholar] [CrossRef] [PubMed]
- Kurnit, K.C.; Kim, G.N.; Fellman, B.M.; Urbauer, D.L.; Mills, G.B.; Zhang, W.; Broaddus, R.R. CTNNB1 (beta-catenin) mutation identifies low grade, early stage endometrial cancer patients at increased risk of recurrence. Mod. Pathol. 2017, 30, 1032–1041. [Google Scholar] [CrossRef] [Green Version]
- De Leo, A.; de Biase, D.; Lenzi, J.; Barbero, G.; Turchetti, D.; Grillini, M.; Ravegnini, G.; Angelini, S.; Zamagni, C.; Coluccelli, S.; et al. ARID1A and CTNNB1/β-Catenin Molecular Status Affects the Clinicopathologic Features and Prognosis of Endometrial Carcinoma: Implications for an Improved Surrogate Molecular Classification. Cancers 2021, 13, 950. [Google Scholar] [CrossRef]



| Variable | Descriptive | RFS | OS | ||
|---|---|---|---|---|---|
| n (%) | HR (95% CI) | p Value | HR (95% CI) | p Value | |
| Age | 1.67 (1.01–2.75) | 0.04 | 1.90 (1.06–3.40) | 0.03 | |
| <60 years | 107 (36.5) | ||||
| >60 years | 186 (63.5) | ||||
| Histological subtype | 0.35 (0.19–0.62) | <0.01 | 0.40 (0.20–0.77) | <0.01 | |
| NEEC | 34 (11.6) | ||||
| EEC | 259 (88.4) | ||||
| Tumor grade | 2.69 (1.65–4.37) | <0.01 | 2.86 (1.67–4.90) | <0.01 | |
| Low (G1 + G2) | 235 (80.2) | ||||
| High (G3) | 58 (19.8) | ||||
| Myometrial invasion | 3.28 (1.43–7.54) | <0.01 | 3 (1.20–7.47) | 0.02 | |
| No | 58 (19.8) | ||||
| Yes | 234 (79.9) | ||||
| NE | 1 (0.3) | ||||
| LVSI | 1.89 (1.13–3.14) | 0.01 | 1.42 (0.76–2.62) | 0.26 | |
| No | 238 (81.2) | ||||
| Yes | 53 (18) | ||||
| NE | 2 (0.7) | ||||
| FIGO stage | 2.11 (1.51–2.95) | <0.01 | 1.88 (1.28–2.76) | <0.01 | |
| Ia | 203 (69.3) | ||||
| Ib | 73 (24.9) | ||||
| II | 17 (5.8) | ||||
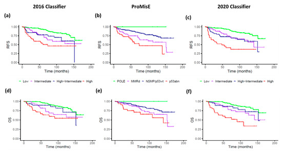
| Classifier | Descriptive | RFS | |||
|---|---|---|---|---|---|
| n (%) | 5-Year Rate (%) | HR (95% CI) | p-Value | c-Index | |
| 2016 Classifier | 1.62 (1.35–1.95) | <0.01 | 0.76 | ||
| Low | 147 (50) | 93.2 | |||
| Intermediate | 42 (14.3) | 76.9 | |||
| High-intermediate | 51 (17.3) | 77.5 | |||
| High | 53(18.1) | 50.4 | |||
| ProMisE | 1.19 (0.81–1.74) | 0.37 | 0.53 | ||
| POLE | 5 (1.7) | 100 | |||
| MMRd | 68 (23.2) | 74.7 | |||
| p53wt/NSMP | 186 (63.5) | 87.3 | |||
| p53abn | 34 (11.6) | 52.8 | |||
| 2020 Classifier | 1.85 (1.53–2.25) | <0.01 | 0.78 | ||
| Low | 145 (49.5) | 93.9 | |||
| Intermediate | 60 (20.5) | 79.5 | |||
| High-intermediate | 50 (17.1) | 72.2 | |||
| High | 38 (13) | 41.5 | |||
| Variable | Descriptive | RFS | OS | ||
|---|---|---|---|---|---|
| n (%) | HR (95% CI) | p-Value | HR (95% CI) | p-Value | |
| ER | 0.39 (0.23–0.67) | <0.01 | 0.34 (0.19–0.62) | <0.01 | |
| Negative | 39 (13.3) | ||||
| Positive | 244 (83.3) | ||||
| NE | 10 (3.4) | ||||
| PR | 0.61 (0.35–1.08) | 0.09 | 0.55 (0.30–1.02) | 0.06 | |
| Negative | 44 (15) | ||||
| Positive | 235 (80.2) | ||||
| NE | 14 (4.8) | ||||
| ECAD | 0.57 (0.33–0.98) | 0.04 | 0.47 (0.26–0.85) | 0.01 | |
| Negative | 46 (15.7) | ||||
| Positive | 234 (79.9) | ||||
| NE | 13 (4.4) | ||||
| HER2 | 1.17 (0.16–8.40) | 0.88 | NE | NE | |
| Negative | 289 (98.6) | ||||
| Positive | 3 (1) | ||||
| NE | 1 (0.3) | ||||
| ARID1A | 0.87 (0.50–1.51) | 0.62 | 0.94 (0.51–1.73) | 0.84 | |
| Negative | 219 (74.7) | ||||
| Positive | 61 (20.8) | ||||
| NE | 13 (4.4) | ||||
| PTEN | 1.27 (0.80–2.01) | 0.31 | 1.24 (0.73–2.09) | 0.42 | |
| Negative | 193 (65.9) | ||||
| Positive | 94 (32.1) | ||||
| NE | 6 (2.0) | ||||
| L1CAM | 1.30 (0.62–2.73) | 0.48 | 1.34 (0.57–3.14) | 0.50 | |
| Negative | 247 (84.3) | ||||
| Positive | 32 (10.9) | ||||
| NE | 14 (4.8) | ||||
| CTNNB1 | 1.58 (0.79–3.17) | 0.20 | 1.24 (0.53–2.89) | 0.62 | |
| Non mutated | 249 (85) | ||||
| Mutated | 23 (7.8) | ||||
| NE | 21 (7.2) | ||||
Publisher’s Note: MDPI stays neutral with regard to jurisdictional claims in published maps and institutional affiliations. |
© 2022 by the authors. Licensee MDPI, Basel, Switzerland. This article is an open access article distributed under the terms and conditions of the Creative Commons Attribution (CC BY) license (https://creativecommons.org/licenses/by/4.0/).
Share and Cite
Ramon-Patino, J.L.; Ruz-Caracuel, I.; Heredia-Soto, V.; Garcia de la Calle, L.E.; Zagidullin, B.; Wang, Y.; Berjon, A.; Lopez-Janeiro, A.; Miguel, M.; Escudero, J.; et al. Prognosis Stratification Tools in Early-Stage Endometrial Cancer: Could We Improve Their Accuracy? Cancers 2022, 14, 912. https://doi.org/10.3390/cancers14040912
Ramon-Patino JL, Ruz-Caracuel I, Heredia-Soto V, Garcia de la Calle LE, Zagidullin B, Wang Y, Berjon A, Lopez-Janeiro A, Miguel M, Escudero J, et al. Prognosis Stratification Tools in Early-Stage Endometrial Cancer: Could We Improve Their Accuracy? Cancers. 2022; 14(4):912. https://doi.org/10.3390/cancers14040912
Chicago/Turabian StyleRamon-Patino, Jorge Luis, Ignacio Ruz-Caracuel, Victoria Heredia-Soto, Luis Eduardo Garcia de la Calle, Bulat Zagidullin, Yinyin Wang, Alberto Berjon, Alvaro Lopez-Janeiro, Maria Miguel, Javier Escudero, and et al. 2022. "Prognosis Stratification Tools in Early-Stage Endometrial Cancer: Could We Improve Their Accuracy?" Cancers 14, no. 4: 912. https://doi.org/10.3390/cancers14040912
APA StyleRamon-Patino, J. L., Ruz-Caracuel, I., Heredia-Soto, V., Garcia de la Calle, L. E., Zagidullin, B., Wang, Y., Berjon, A., Lopez-Janeiro, A., Miguel, M., Escudero, J., Gallego, A., Castelo, B., Yebenes, L., Hernandez, A., Feliu, J., Pelaez-García, A., Tang, J., Hardisson, D., Mendiola, M., & Redondo, A. (2022). Prognosis Stratification Tools in Early-Stage Endometrial Cancer: Could We Improve Their Accuracy? Cancers, 14(4), 912. https://doi.org/10.3390/cancers14040912

