Identification of Circulating lncRNAs Associated with Gallbladder Cancer Risk by Tissue-Based Preselection, Cis-eQTL Validation, and Analysis of Association with Genotype-Based Expression
Abstract
:Simple Summary
Abstract
1. Introduction
2. Materials and Methods
2.1. RNA Extraction and Small RNA Sequencing
2.2. DNA Extraction and Genotyping
2.3. Patients and Statistical Analyses for lncRNA Preselection
2.4. Individuals and Statistical Analyses for lncRNA-eQTL Validation
2.5. Patients and Population-Based Controls and Statistical Analyses on the Association between Genotype-Based lncRNA Expression and GBC Risk
3. Results
3.1. Preselected lncRNAs
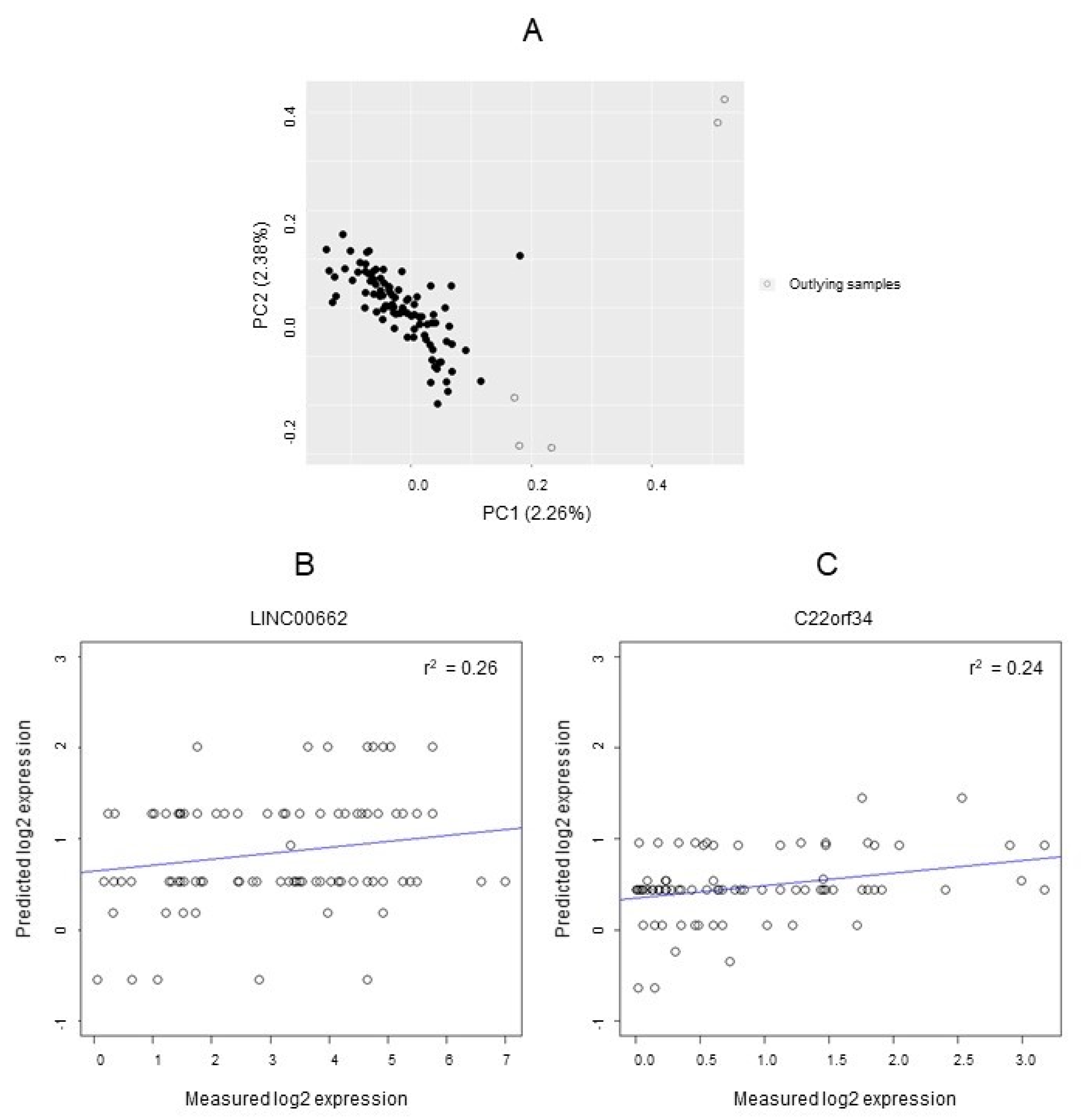
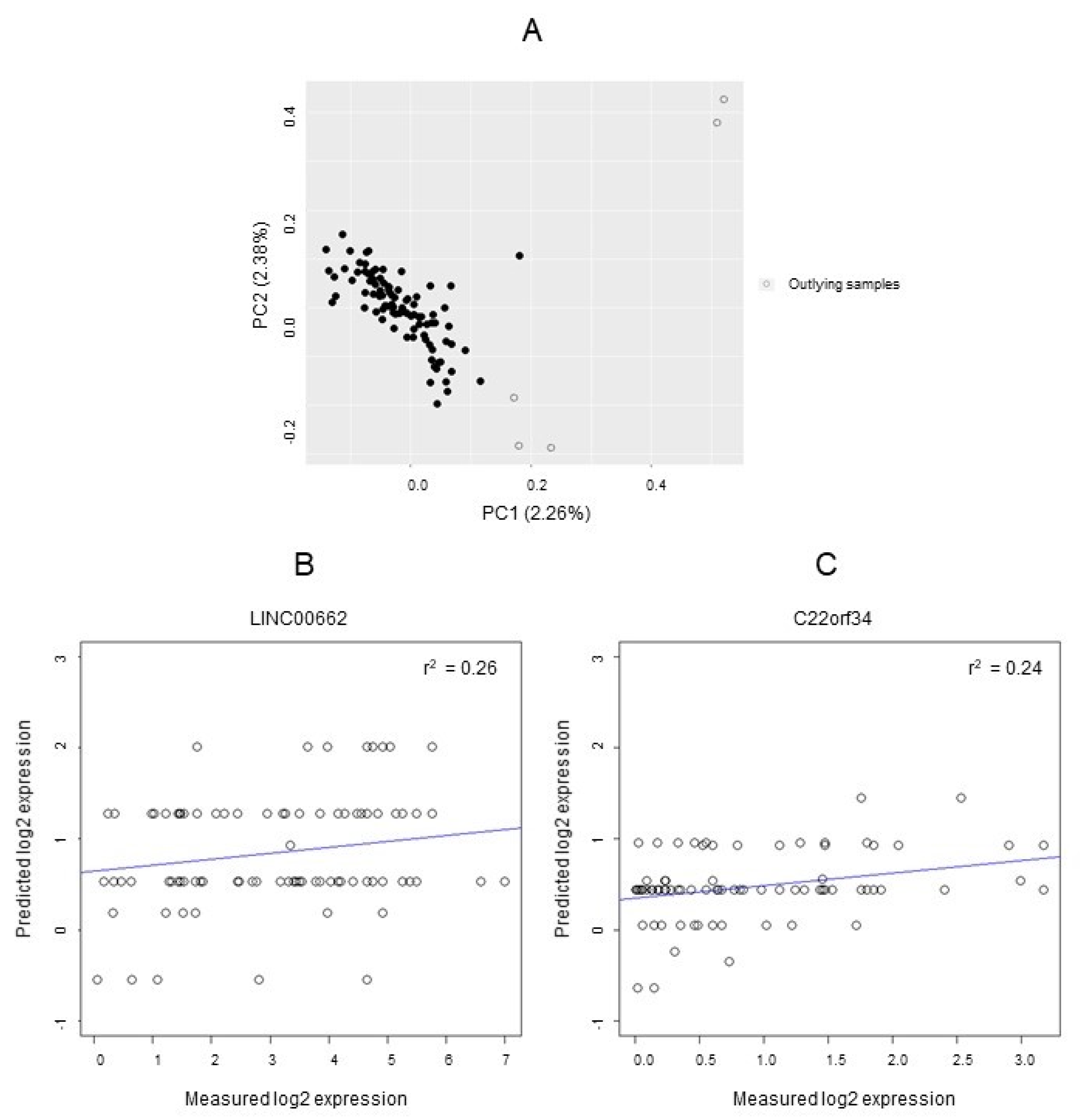
3.2. Validated lncRNA-eQTLs
3.3. LncRNAs with Genotype-Based Plasma Expression Associated with GBC Risk
4. Discussion
5. Conclusions
Supplementary Materials
Author Contributions
Funding
Institutional Review Board Statement
Informed Consent Statement
Data Availability Statement
Acknowledgments
Conflicts of Interest
References
- Sung, H.; Ferlay, J.; Siegel, R.L.; Laversanne, M.; Soerjomataram, I.; Jemal, A.; Bray, F. Global Cancer Statistics 2020: GLOBOCAN Estimates of Incidence and Mortality Worldwide for 36 Cancers in 185 Countries. CA Cancer J. Clin. 2021, 71, 209–249. [Google Scholar] [CrossRef] [PubMed]
 - Zhu, X.; Zhang, X.; Hu, X.; Ren, H.; Wu, S.; Wu, J.; Wu, G.; Si, X.; Wang, B. Survival analysis of patients with primary gallbladder cancer from 2010 to 2015: A retrospective study based on SEER data. Medicine 2020, 99, e22292. [Google Scholar] [CrossRef] [PubMed]
 - Kanthan, R.; Senger, J.-L.; Ahmed, S.; Kanthan, S.C. Gallbladder Cancer in the 21st Century. J. Oncol. 2015, 2015, 967472. [Google Scholar] [CrossRef] [PubMed] [Green Version]
 - Witjes, C.D.; Akker, S.A.V.D.; Visser, O.; Karim-Kos, H.E.; De Vries, E.; Ijzermans, J.N.; De Man, R.A.; Coebergh, J.W.W.; Verhoef, C. Gallbladder Cancer in the Netherlands: Incidence, Treatment and Survival Patterns since 1989. Dig. Surg. 2012, 29, 92–98. [Google Scholar] [CrossRef]
 - Bertran, E.; Heise, K.; Andia, M.E.; Ferreccio, C. Gallbladder cancer: Incidence and survival in a high-risk area of Chile. Int. J. Cancer 2010, 127, 2446–2454. [Google Scholar] [CrossRef] [PubMed]
 - World Cancer Research Fund International; American Institute for Cancer Research. Continuous Update Project Report: Diet, Nutrition, Physical Activity and Gallbladder Cancer; World Cancer Research Fund International: London, UK, 2015. [Google Scholar]
 - Barahona Ponce, C.; Scherer, D.; Brinster, R.; Boekstegers, F.; Marcelain, K.; Gárate-Calderón, V.; Müller, B.; de Toro, G.; Retamales, J.; Barajas, O.; et al. Gallstones, Body Mass Index, C-reactive Protein and Gallbladder Cancer—Mendelian Randomiza-tion Analysis of Chilean and European Genotype Data. Hepatology 2020, 73, 1783–1796. [Google Scholar] [CrossRef] [PubMed]
 - Bermejo, J.L.; Boekstegers, F.; Silos, R.G.; Marcelain, K.; Benavides, P.B.; Ponce, C.B.; Müller, B.; Ferreccio, C.; Koshiol, J.; Fischer, C.; et al. Subtypes of Native American ancestry and leading causes of death: Mapuche ancestry-specific associations with gallbladder cancer risk in Chile. PLoS Genet. 2017, 13, e1006756. [Google Scholar] [CrossRef]
 - Wistuba, I.I.; Gazdar, A.F. Gallbladder cancer: Lessons from a rare tumour. Nat. Cancer 2004, 4, 695–706. [Google Scholar] [CrossRef]
 - Derrien, T.; Johnson, R.; Bussotti, G.; Tanzer, A.; Djebali, S.; Tilgner, H.; Guernec, G.; Martin, D.; Merkel, A.; Knowles, D.G.; et al. The GENCODE v7 catalog of human long noncoding RNAs: Analysis of their gene structure, evolution, and expression. Genome Res. 2012, 22, 1775–1789. [Google Scholar] [CrossRef] [Green Version]
 - He, R.-Z.; Luo, D.-X.; Mo, Y.-Y. Emerging roles of lncRNAs in the post-transcriptional regulation in cancer. Genes Dis. 2019, 6, 6–15. [Google Scholar] [CrossRef]
 - Fang, Y.; Fullwood, M.J. Roles, Functions, and Mechanisms of Long Non-coding RNAs in Cancer. Genom. Proteom. Bioinform. 2016, 14, 42–54. [Google Scholar] [CrossRef] [Green Version]
 - Mercer, T.R.; Dinger, M.E.; Mattick, J.S. Long non-coding RNAs: Insights into functions. Nat. Rev. Genet. 2009, 10, 155–159. [Google Scholar] [CrossRef]
 - Cesana, M.C.D.; Legnini, I.; Santini, T.; Sthandier, O.; Chinappi, M.; Tramontano, A.; Bozzoni, I. A long noncoding RNA controls muscle differentiation by functioning as a competing endogenous RNA. Cell 2011, 147, 358–369. [Google Scholar] [CrossRef] [Green Version]
 - Visscher, P.M.; Wray, N.R.; Zhang, Q.; Sklar, P.; McCarthy, M.I.; Brown, M.A.; Yang, J. 10 years of GWAS Discovery: Biology, function, and translation. Am. J. Hum. Genet. 2017, 101, 5–22. [Google Scholar] [CrossRef] [Green Version]
 - Wu, C.; Miao, X.; Huang, L.; Che, X.; Jiang, G.; Yu, D.; Yang, X.; Cao, G.; Hu, Z.; Zhou, Y.; et al. Genome-wide association study identifies five loci associated with susceptibility to pancreatic cancer in Chinese populations. Nat. Genet. 2011, 44, 62–66. [Google Scholar] [CrossRef]
 - Shastry, B.S. SNPs: Impact on gene function and phenotype. Methods Mol. Biol. 2009, 578, 3–22. [Google Scholar]
 - Umu, S.U.; Langseth, H.; Bucher-Johannessen, C.; Fromm, B.; Keller, A.; Meese, E.; Lauritzen, M.; Leithaug, M.; Lyle, R.; Rounge, T.B. A comprehensive profile of circulating RNAs in human serum. RNA Biol. 2017, 15, 242–250. [Google Scholar] [CrossRef] [Green Version]
 - Schubert, M.; Lindgreen, S.; Orlando, L. AdapterRemoval v2: Rapid adapter trimming, identification, and read merging. BMC Res. Notes 2016, 9, 88. [Google Scholar] [CrossRef] [Green Version]
 - Langmead, B.; Salzberg, S.L. Fast gapped-read alignment with Bowtie 2. Nat. Methods 2012, 9, 357–359. [Google Scholar] [CrossRef] [Green Version]
 - Anders, S.; Pyl, P.T.; Huber, W. HTSeq—A Python framework to work with high-throughput sequencing data. Bioinformatics 2015, 31, 166–169. [Google Scholar] [CrossRef]
 - Harrow, J.; Frankish, A.; Gonzalez, J.M.; Tapanari, E.; Diekhans, M.; Kokocinski, F.; Aken, B.L.; Barrell, D.; Zadissa, A.; Searle, S.; et al. GENCODE: The reference human genome annotation for The ENCODE Project. Genome Res. 2012, 22, 1760–1774. [Google Scholar] [CrossRef] [PubMed] [Green Version]
 - Taliun, D.; NHLBI Trans-Omics for Precision Medicine (TOPMed) Consortium; Harris, D.N.; Kessler, M.D.; Carlson, J.; Szpiech, Z.A.; Torres, R.; Taliun, S.A.G.; Corvelo, A.; Gogarten, S.M.; et al. Sequencing of 53,831 diverse genomes from the NHLBI TOPMed Program. Nature 2021, 590, 290–299. [Google Scholar] [CrossRef] [PubMed]
 - Brägelmann, J.; Barahona Ponce, C.; Marcelain, K.; Roessler, S.; Goeppert, B.; Gallegos, I.; Colombo, A.; Sanhueza, V.; Morales, E.; Rivera, M.T.; et al. Epigenome-wide analysis of methylation changes in the sequence of gallstone disease, dysplasia, and gallbladder cancer. Hepatology 2020, 73, 2293–2310. [Google Scholar] [CrossRef] [PubMed]
 - R Core Team. R: A Language and Environment for Statistical Computing; R Foundation for Statistical Computing: Vienna, Austria, 2013; Available online: https://www.R-project.org/ (accessed on 1 August 2021).
 - Signorell, A.; Aho, K.; Alfons, A.; Anderegg, N.; Aragon, T.; Arppe, A. DescTools: Tools for Descriptive Statistics. R Package Version 0.99.44. 2021. Available online: https://cran.r-project.org/package=DescTools (accessed on 1 August 2021).
 - Ledell, E.; Gill, N.; Aiello, S.; Fu, A.; Candel, A.; Click, C.; Kraljevic, T.; Nykodym, T.; Aboyoun, P.; Kurka, M.; et al. R Interface for the ‘H2O’ Scalable Machine Learning Platform. R Package Version 3.36.0.1. 2022. Available online: https://CRAN.R-project.org/package=h2o (accessed on 1 August 2021).
 - Clayton, D. snpStats: SnpMatrix and XSnpMatrix Classes and Methods. R Package Version 1.40.0. 2020. Available online: https://bioconductor.org/packages/release/bioc/html/snpStats.html (accessed on 1 August 2021).
 - Zheng, X.; Levine, D.; Shen, J.; Gogarten, S.M.; Laurie, C.; Weir, B.S. A high-performance computing toolset for relatedness and principal component analysis of SNP data. Bioinformatics 2012, 28, 3326–3328. [Google Scholar] [CrossRef] [Green Version]
 - Venables, W.N.; Ripley, B.D. Modern Applied Statistics with S-PLUS; Springer: Berlin/Heidelberg, Germany, 2002. [Google Scholar]
 - Marin, D.H. clickR: Semi-Automatic Preprocessing of Messy Data with Change Tracking for Dataset Cleaning. R Package Version 0.8.0. 2021. Available online: https://CRAN.R-project.org/package=clickR (accessed on 1 August 2021).
 - Marc, J. Mazerolle AICcmodavg: Model Selection and Multimodel Inference Based on (Q)AIC(c). R Package Version 2.3-1. 2020. Available online: https://cran.r-project.org/package=AICcmodavg (accessed on 1 August 2021).
 - Boekstegers, F.; Marcelain, K.; Ponce, C.B.; Benavides, P.F.B.; Müller, B.; De Toro, G.; Retamales, J.; Barajas, O.; Ahumada, M.; Morales, E.; et al. ABCB1/4 Gallbladder Cancer Risk Variants Identified in India Also Show Strong Effects in Chileans. Cancer Epidemiol. 2019, 65, 101643. [Google Scholar] [CrossRef]
 - Maechler, M.; Rousseeuw, P.; Croux, C.; Todorov, V.; Ruckstuhl, A.; Salibian-Barrera, M.; Verbeke, T.; Koller, M.; Eduardo, L.T.; Conceicao, C.; et al. robustbase: Basic Robust Statistics R Package Version 0.93-6. 2020. Available online: http://CRAN.R-project.org/package=robustbaseGgplot2 (accessed on 1 August 2021).
 - Wickham, H. ggplot2: Elegant Graphics for Data Analysis; Springer: New York, NY, USA, 2016. [Google Scholar]
 - Liu, B.; Chen, Y.; Yang, J. LncRNAs are altered in lung squamous cell carcinoma and lung adenocarcinoma. Oncotarget 2016, 8, 24275–24291. [Google Scholar] [CrossRef] [Green Version]
 - Gong, W.; Su, Y.; Liu, Y.; Sun, P.; Wang, X. Long non-coding RNA Linc00662 promotes cell invasion and contributes to cancer stem cell-like phenotypes in lung cancer cells. J. Biochem. 2018, 164, 461–469. [Google Scholar] [CrossRef]
 - Liu, Z.; Yao, Y.; Huang, S.; Li, L.; Jiang, B.; Guo, H.; Lei, W.; Xiong, J.; Deng, J. LINC00662 promotes gastric cancer cell growth by modulating the Hippo-YAP1 pathway. Biochem. Biophys. Res. Commun. 2018, 505, 843–849. [Google Scholar] [CrossRef]
 - He, Y.; Xu, Y.; Yu, X.; Sun, Z.; Guo, W. The Vital Roles of LINC00662 in Human Cancers. Front. Cell Dev. Biol. 2021, 9, 1964. [Google Scholar] [CrossRef]
 - Li, J.; Xue, Y.; Amin, M.T.; Yang, Y.; Yang, J.; Zhang, W.; Yang, W.; Niu, X.; Zhang, H.Y.; Gong, J. ncRNA-eQTL: A database to systematically evaluate the effects of SNPs on non-coding RNA expression across cancer types. Nucleic Acids Res. 2019, 48, D956–D963. [Google Scholar] [CrossRef]
 - Ruiz-Linares, A.; Adhikari, K.; Acuña-Alonzo, V.; Quinto-Sanchez, M.; Jaramillo, C.; Arias, W.; Fuentes, M.; Pizarro, M.; Everardo, P.; de Avila, F.; et al. Admixture in Latin America: Geographic structure, phenotypic diversity and self-perception of ancestry based on 7342 individuals. PLoS Genet. 2014, 10, e1004572. [Google Scholar] [CrossRef] [Green Version]
 




| Subgroup | lncRNA | FDR * | log2 Expression in GS Samples Median (5th; 95th Percentiles)  | log2 Expression Difference † Dys vs. GS Estimate (95% CI)  | log2 Expression Difference †  GBC vs. GS Estimate (95% CI)  | 
|---|---|---|---|---|---|
| All | AC084082.3 | 0.009 | 8.23 (1.45–9.93) | 0.51 (0.04; 0.99) | 0.76 (0.09; 1.44) | 
| n = 28 GS; n = 34 Dys; | LINC00662 | 0.009 | 1.48 (0.55–4.38) | 1.09 (0.62; 1.56) | 0.86 (0.30; 1.42) | 
| n = 31 GBC | C22orf34 | 0.04 | 1.44 (0.48–3.68) | −0.24 (−0.49; 0.005) | −0.28 (−0.54; −0.01) | 
| Women | AC084082.3 | 0.04 | 8.23 (1.45–9.78) | 0.67 (0.18; 1.15) | 0.89 (0.15; 1.63) | 
| n = 26 GS; n = 20 Dys; | LINC00662 | 0.01 | 1.47 (0.54–4.07) | 1.09 (0.61; 1.56) | 1.01 (0.45; 1.57) | 
| n = 24 GBC | C22orf34 | 0.02 | 1.44 (0.48–3.80) | −0.30 (−0.57; −0.03) | −0.34 (−0.63; −0.04) | 
| Men | AC084082.3 | 0.99 | 10.01 | −0.52 (−1.02; −0.03) | −0.30 (−2.19; 1.59) | 
| n = 1 GS; n = 8 Dys; | LINC00662 | 0.99 | 4.53 | −0.52 (−1.24; 0.21) | −1.09 (−2.85; 0.68) | 
| n = 6 GBC | C22orf34 | 0.99 | 0.49 | 0.43 (−0.66; 1.53) | 0.27 (−0.19; 0.72) | 
| Age < 60 | AC084082.3 | 0.43 | 8.23 (1.45–10.19) | 0.73 (0.13; 1.33) | 0.64 (−0.22; 1.50) | 
| n = 18 GS; n = 11 Dys; | LINC00662 | 0.51 | 1.81 (0.58–4.33) | 0.93 (0.30; 1.55) | 0.66 (−0.13; 1.45) | 
| n = 9 GBC | C22orf34 | 0.58 | 1.43 (0.47–3.08) | −0.35 (−0.72; 0.02) | −0.29 (−0.67; 0.09) | 
| Age > =60 | AC084082.3 | 0.17 | 8.96 (1.47–9.86) | 0.29 (−0.33; 0.90) | 0.84 (−0.10; 1.77) | 
| n = 9 GS; n = 16 Dys; | LINC00662 | 0.05 | 1.46 (0.78–3.84) | 1.24 (0.67; 1.81) | 1.06 (0.36; 1.77) | 
| n = 18 GBC | C22orf34 | 0.17 | 1.46 (0.50–3.44) | −0.18 (−0.52; 0.16) | −0.34 (−0.68; 0.006) | 
| lncRNA | log2 Expression in Serum Median (5th; 95th Percentiles)  | Chromosomal Location (GRCh38)  | No. of Candidate cis-lncRNA-eQTLs in the ncRNA-eQTL Database  | No. of Validated cis-lncRNA-eQTLs  | No. of cis-lncRNA-eQTLs Used as Predictors  | Adjusted r2 for the Best Prediction Model  | 
|---|---|---|---|---|---|---|
| AC084082.3 | 6.59 (1.74; 9.06) | chr8:66112667–66115207 | 161 | - | - | - | 
| LINC00662 | 3.40 (0.35; 5.60) | chr19:27684580–27793940 | 1576 | 2 | 2 | 0.26 | 
| C22orf34 | 0.58 (0.03; 2.65) | chr22:49414524–49657542 | 395 | 45 | 3 | 0.24 | 
| lncRNA | Median Predicted log2 Expression  | OR * (GBC) | 95% CI † | p-Value | 
|---|---|---|---|---|
| LINC00662 | 1.27 | 1.25 | 1.04; 1.52 | 0.02 | 
| C22orf34 | 0.39 | 0.90 | 0.61; 1.32 | 0.59 | 
Publisher’s Note: MDPI stays neutral with regard to jurisdictional claims in published maps and institutional affiliations.  | 
© 2022 by the authors. Licensee MDPI, Basel, Switzerland. This article is an open access article distributed under the terms and conditions of the Creative Commons Attribution (CC BY) license (https://creativecommons.org/licenses/by/4.0/).
Share and Cite
Blandino, A.; Scherer, D.; Rounge, T.B.; Umu, S.U.; Boekstegers, F.; Barahona Ponce, C.; Marcelain, K.; Gárate-Calderón, V.; Waldenberger, M.; Morales, E.; et al. Identification of Circulating lncRNAs Associated with Gallbladder Cancer Risk by Tissue-Based Preselection, Cis-eQTL Validation, and Analysis of Association with Genotype-Based Expression. Cancers 2022, 14, 634. https://doi.org/10.3390/cancers14030634
Blandino A, Scherer D, Rounge TB, Umu SU, Boekstegers F, Barahona Ponce C, Marcelain K, Gárate-Calderón V, Waldenberger M, Morales E, et al. Identification of Circulating lncRNAs Associated with Gallbladder Cancer Risk by Tissue-Based Preselection, Cis-eQTL Validation, and Analysis of Association with Genotype-Based Expression. Cancers. 2022; 14(3):634. https://doi.org/10.3390/cancers14030634
Chicago/Turabian StyleBlandino, Alice, Dominique Scherer, Trine B. Rounge, Sinan U. Umu, Felix Boekstegers, Carol Barahona Ponce, Katherine Marcelain, Valentina Gárate-Calderón, Melanie Waldenberger, Erik Morales, and et al. 2022. "Identification of Circulating lncRNAs Associated with Gallbladder Cancer Risk by Tissue-Based Preselection, Cis-eQTL Validation, and Analysis of Association with Genotype-Based Expression" Cancers 14, no. 3: 634. https://doi.org/10.3390/cancers14030634
APA StyleBlandino, A., Scherer, D., Rounge, T. B., Umu, S. U., Boekstegers, F., Barahona Ponce, C., Marcelain, K., Gárate-Calderón, V., Waldenberger, M., Morales, E., Rojas, A., Munoz, C., Retamales, J., de Toro, G., Barajas, O., Rivera, M. T., Cortés, A., Loader, D., Saavedra, J., ... Lorenzo Bermejo, J. (2022). Identification of Circulating lncRNAs Associated with Gallbladder Cancer Risk by Tissue-Based Preselection, Cis-eQTL Validation, and Analysis of Association with Genotype-Based Expression. Cancers, 14(3), 634. https://doi.org/10.3390/cancers14030634
        
                                                
