Effectiveness of Cervical Testing in and outside a Screening Program—A Case-Control Study
Abstract
Simple Summary
Abstract
1. Introduction
2. Materials and Methods
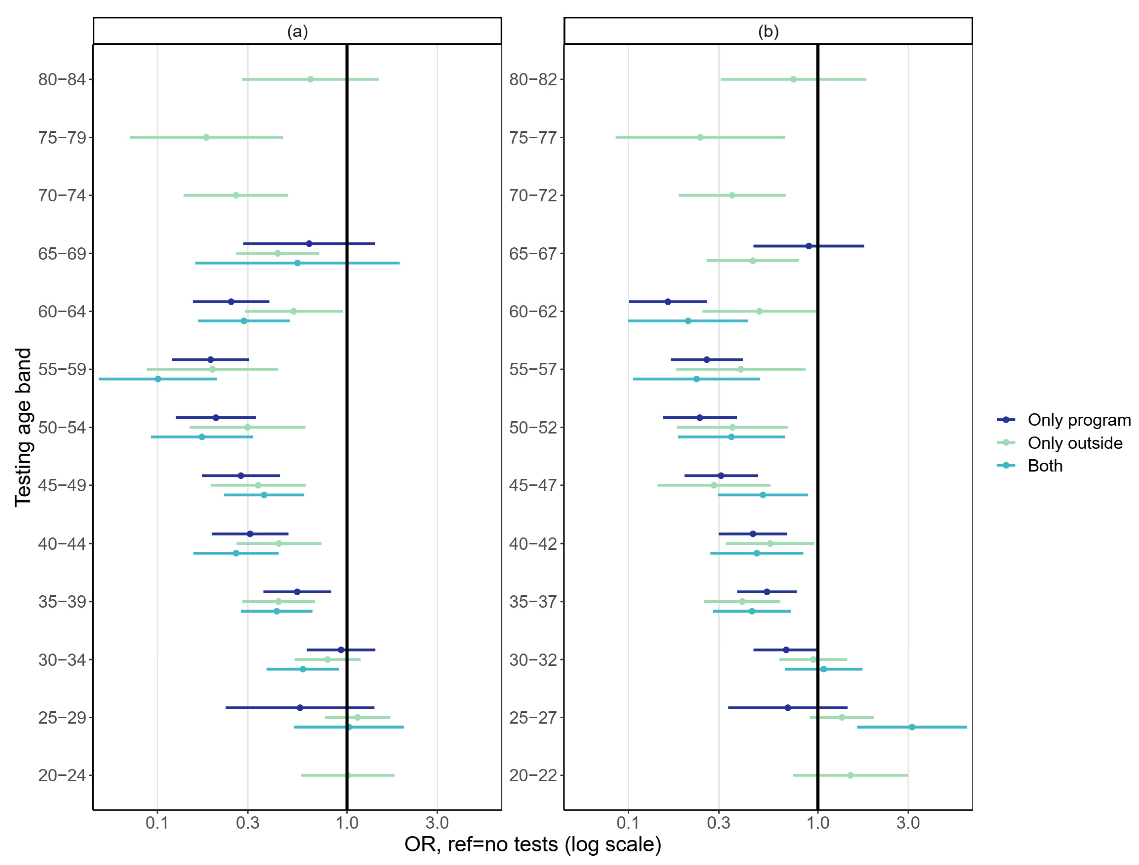
3. Results
4. Discussion
5. Conclusions
Supplementary Materials
Author Contributions
Funding
Institutional Review Board Statement
Informed Consent Statement
Data Availability Statement
Acknowledgments
Conflicts of Interest
References
- IARC. Cervical Cancer Screening. In IARC Handbooks of Cancer Prevention; International Agency for Research on Cancer: Lyon, France, 2022; 18, pp. 1–456. [Google Scholar]
- Jansen, E.E.L.; Zielonke, N.; Gini, A.; Anttila, A.; Segnan, N.; Vokó, Z.; Ivanuš, U.; McKee, M.; de Koning, H.J.; de Kok, I.M.C.M.; et al. Effect of Organised Cervical Cancer Screening on Cervical Cancer Mortality in Europe: A Systematic Review. Eur. J. Cancer 2020, 127, 207–223. [Google Scholar] [CrossRef] [PubMed]
- Peirson, L.; Fitzpatrick-Lewis, D.; Ciliska, D.; Warren, R. Screening for Cervical Cancer: A Systematic Review and Meta-Analysis. Syst. Rev. 2013, 2, 35. [Google Scholar] [CrossRef] [PubMed]
- Ho, G.Y.F.; Burk, R.D.; Klein, S.; Kadish, A.S.; Chang, C.J.; Palan, P.; Basu, J.; Tachezy, R.; Lewis, R.; Romney, S. Persistent Genital Human Papillomavirus Infection as a Risk Factor for Persistent Cervical Dysplasia. JNCI J. Natl. Cancer Inst. 1995, 87, 1365–1371. [Google Scholar] [CrossRef] [PubMed]
- Koshiol, J.; Lindsay, L.; Pimenta, J.M.; Poole, C.; Jenkins, D.; Smith, J.S. Persistent Human Papillomavirus Infection and Cervical Neoplasia: A Systematic Review and Meta-Analysis. Am. J. Epidemiol. 2008, 168, 123–137. [Google Scholar] [CrossRef] [PubMed]
- Lei, J.; Ploner, A.; Elfström, K.M.; Wang, J.; Roth, A.; Fang, F.; Sundström, K.; Dillner, J.; Sparén, P. HPV Vaccination and the Risk of Invasive Cervical Cancer. N. Engl. J. Med. 2020, 383, 1340–1348. [Google Scholar] [CrossRef]
- Lehtinen, M.; Lagheden, C.; Luostarinen, T.; Eriksson, T.; Apter, D.; Bly, A.; Gray, P.; Harjula, K.; Heikkilä, K.; Hokkanen, M.; et al. Human Papillomavirus Vaccine Efficacy against Invasive, HPV-Positive Cancers: Population-Based Follow-up of a Cluster-Randomised Trial. BMJ Open 2021, 11, e050669. [Google Scholar] [CrossRef]
- Tabibi, T.; Barnes, J.M.; Shah, A.; Osazuwa-Peters, N.; Johnson, K.J.; Brown, D.S. Human Papillomavirus Vaccination and Trends in Cervical Cancer Incidence and Mortality in the US. JAMA Pediatr. 2022, 176, 313–316. [Google Scholar] [CrossRef]
- Bewley, S. HPV Vaccination and Cervical Cancer Screening. Lancet 2022, 399, 1939. [Google Scholar] [CrossRef]
- Ponti, A.; Anttila, A.; Ronco, G.; Senore, C. Cancer Screening in the European Union (2017). In Report on the Implementation of the Council Recommendation on Cancer Screening; European Commission: Brussels, Belgium, 2017. [Google Scholar]
- Pankakoski, M.; Heinävaara, S.; Anttila, A.; Sarkeala, T. Differences in Cervical Test Coverage by Age, Socioeconomic Status, Ethnic Origin and Municipality Type—A Nationwide Register-Based Study. Prev. Med. 2020, 139, 106219. [Google Scholar] [CrossRef]
- Salo, H.; Nieminen, P.; Kilpi, T.; Auranen, K.; Leino, T.; Vänskä, S.; Tiihonen, P.; Lehtinen, M.; Anttila, A. Divergent Coverage, Frequency and Costs of Organised and Opportunistic Pap Testing in Finland. Int. J. Cancer 2014, 135, 204–213. [Google Scholar] [CrossRef]
- Tranberg, M.; Larsen, M.B.; Mikkelsen, E.M.; Svanholm, H.; Andersen, B. Impact of Opportunistic Testing in a Systematic Cervical Cancer Screening Program: A Nationwide Registry Study. BMC Public Health 2015, 15, 681. [Google Scholar] [CrossRef]
- Blanks, R.; Moss, S.; Coleman, D.; Swerdlow, A. An Examination of the Role of Opportunistic Smear Taking in the NHS Cervical Screening Programme Using Data from the CSEU Cervical Screening Cohort Study. BJOG Int. J. Obstet. Gynaecol. 2007, 114, 1408–1413. [Google Scholar] [CrossRef] [PubMed]
- Arbyn, M.; Anttila, A.; Jordan, J.; Ronco, G.; Schenck, U.; Segnan, N.; Wiener, H.; Herbert, A.; von Karsa, L. European Guidelines for Quality Assurance in Cervical Cancer Screening. Second Edition—Summary Document. Ann. Oncol. 2010, 21, 448–458. [Google Scholar] [CrossRef] [PubMed]
- Sasieni, P.; Castanon, A.; Cuzick, J. Effectiveness of Cervical Screening with Age: Population Based Case-Control Study of Prospectively Recorded Data. BMJ 2009, 339, b2968. [Google Scholar] [CrossRef] [PubMed]
- Lönnberg, S.; Anttila, A.; Luostarinen, T.; Nieminen, P. Age-Specific Effectiveness of the Finnish Cervical Cancer Screening Programme. Cancer Epidemiol. Biomark. Prev. 2012, 21, 1354–1361. [Google Scholar] [CrossRef]
- Castañón, A.; Landy, R.; Cuzick, J.; Sasieni, P. Cervical Screening at Age 50–64 Years and the Risk of Cervical Cancer at Age 65 Years and Older: Population-Based Case Control Study. PLoS Med. 2014, 11, e1001585. [Google Scholar] [CrossRef]
- Pankakoski, M.; Anttila, A.; Sarkeala, T.; Heinävaara, S. Effectiveness of Cervical Cancer Screening at Age 65—A Register-Based Cohort Study. PLoS ONE 2019, 14, e0214486. [Google Scholar] [CrossRef]
- Idehen, E.E.; Koponen, P.; Härkänen, T.; Kangasniemi, M.; Pietilä, A.-M.; Korhonen, T. Disparities in Cervical Screening Participation: A Comparison of Russian, Somali and Kurdish Immigrants with the General Finnish Population. Int. J. Equity Health 2018, 17, 56. [Google Scholar] [CrossRef]
- Broberg, G.; Wang, J.; Östberg, A.-L.; Adolfsson, A.; Nemes, S.; Sparén, P.; Strander, B. Socio-Economic and Demographic Determinants Affecting Participation in the Swedish Cervical Screening Program: A Population-Based Case-Control Study. PLoS ONE 2018, 13, e0190171. [Google Scholar] [CrossRef]
- Bozhar, H.; McKee, M.; Spadea, T.; Veerus, P.; Heinävaara, S.; Anttila, A.; Senore, C.; Zielonke, N.; de Kok, I.M.C.M.; van Ravesteyn, N.T.; et al. Socio-Economic Inequality of Utilization of Cancer Testing in Europe: A Cross-Sectional Study. Prev. Med. Rep. 2022, 26, 101733. [Google Scholar] [CrossRef]
- Walsh, B.; Silles, M.; O’Neill, C. The Importance of Socio-Economic Variables in Cancer Screening Participation: A Comparison between Population-Based and Opportunistic Screening in the EU-15. Health Policy 2011, 101, 269–276. [Google Scholar] [CrossRef] [PubMed]
- Palència, L.; Espelt, A.; Rodríguez-Sanz, M.; Puigpinós, R.; Pons-Vigués, M.; Pasarín, M.I.; Spadea, T.; Kunst, A.E.; Borrell, C. Socio-Economic Inequalities in Breast and Cervical Cancer Screening Practices in Europe: Influence of the Type of Screening Program. Int. J. Epidemiol. 2010, 39, 757–765. [Google Scholar] [CrossRef]
- Makkonen, P.; Heinävaara, S.; Sarkeala, T.; Anttila, A. Impact of Organized and Opportunistic Pap Testing on the Risk of Cervical Cancer in Young Women–A Case-Control Study from Finland. Gynecol. Oncol. 2017, 147, 601–606. [Google Scholar] [CrossRef] [PubMed]
- Nieminen, P.; Kallio, M.; Anttila, A.; Hakama, M. Organised vs. Spontaneous Pap-Smear Screening for Cervical Cancer: A Case-Control Study. Int. J. Cancer 1999, 83, 55–58. [Google Scholar] [CrossRef]
- Fritz, A.; Percy, C.; Jack, A.; Shanmugaratnam, K.; Sobin, L.H.; Parkin, D.M.; Whelan, S.L. World Health Organization International classification of diseases for oncology. In Classification Internationale des Maladies Pour L’oncologie; World Health Organization: Geneva, Switzerland, 2000. [Google Scholar]
- Nayar, R.; Wilbur, D.C. The Bethesda System for Reporting Cervical Cytology: Definitions, Criteria, and Explanatory Notes; Springer International Publishing: Berlin/Heidelberg, Germany, 2015. [Google Scholar]
- Breslow, N.E.; Day, N.E.; Heseltine, E. Statistical Methods in Cancer Research; International Agency for Research on Cancer: Lyon, France, 1980.
- Luoto, R.; Raitanen, J.; Pukkala, E.; Anttila, A. Effect of Hysterectomy on Incidence Trends of Endometrial and Cervical Cancer in Finland 1953-2010. Br. J. Cancer 2004, 90, 1756–1759. [Google Scholar] [CrossRef] [PubMed][Green Version]
- Keltto, N.; Leivonen, A.; Pankakoski, M.; Sarkeala, T.; Heinävaara, S.; Anttila, A. Cervical Testing beyond the Screening Target Age—A Register-Based Cohort Study from Finland. Gynecol. Oncol. 2021, 162, 315–321. [Google Scholar] [CrossRef]
- Yang, B.; Morrell, S.; Zuo, Y.; Roder, D.; Tracey, E.; Jelfs, P. A Case–Control Study of the Protective Benefit of Cervical Screening against Invasive Cervical Cancer in NSW Women. Cancer Causes Control. 2008, 19, 569–576. [Google Scholar] [CrossRef]
- Andrae, B.; Kemetli, L.; Sparén, P.; Silfverdal, L.; Strander, B.; Ryd, W.; Dillner, J.; Törnberg, S. Screening-Preventable Cervical Cancer Risks: Evidence From a Nationwide Audit in Sweden. JNCI J. Natl. Cancer Inst. 2008, 100, 622–629. [Google Scholar] [CrossRef]
- Castanon, A.; Kamineni, A.; Elfström, K.M.; Lim, A.W.W.; Sasieni, P. Exposure Definition in Case-Control Studies of Cervical Cancer Screening: A Systematic Literature Review. Cancer Epidemiol Biomark. Prev. 2021, 30, 2154–2166. [Google Scholar] [CrossRef]
- Zappa, M.; Visioli, C.B.; Ciatto, S.; Iossa, A.; Paci, E.; Sasieni, P. Lower Protection of Cytological Screening for Adenocarcinomas and Shorter Protection for Younger Women: The Results of a Case–Control Study in Florence. Br. J. Cancer 2004, 90, 1784–1786. [Google Scholar] [CrossRef]
- Castanon, A.; Landy, R.; Sasieni, P.D. Is Cervical Screening Preventing Adenocarcinoma and Adenosquamous Carcinoma of the Cervix? Int. J. Cancer 2016, 139, 1040–1045. [Google Scholar] [CrossRef] [PubMed]
- Katki, H.A.; Kinney, W.K.; Fetterman, B.; Lorey, T.; Poitras, N.E.; Cheung, L.; Demuth, F.; Schiffman, M.; Wacholder, S.; Castle, P.E. Cervical Cancer Risk for Women Undergoing Concurrent Testing for Human Papillomavirus and Cervical Cytology: A Population-Based Study in Routine Clinical Practice. Lancet Oncol. 2011, 12, 663–672. [Google Scholar] [CrossRef]
- Ronco, G.; Dillner, J.; Elfström, K.M.; Tunesi, S.; Snijders, P.J.F.; Arbyn, M.; Kitchener, H.; Segnan, N.; Gilham, C.; Giorgi-Rossi, P.; et al. Efficacy of HPV-Based Screening for Prevention of Invasive Cervical Cancer: Follow-up of Four European Randomised Controlled Trials. Lancet 2014, 383, 524–532. [Google Scholar] [CrossRef]
- Arbyn, M.; Ronco, G.; Anttila, A.; Meijer, C.J.L.M.; Poljak, M.; Ogilvie, G.; Koliopoulos, G.; Naucler, P.; Sankaranarayanan, R.; Peto, J. Evidence Regarding Human Papillomavirus Testing in Secondary Prevention of Cervical Cancer. Vaccine 2012, 30, F88–F99. [Google Scholar] [CrossRef]
- Aitken, C.A.; van Agt, H.M.E.; Siebers, A.G.; van Kemenade, F.J.; Niesters, H.G.M.; Melchers, W.J.G.; Vedder, J.E.M.; Schuurman, R.; van den Brule, A.J.C.; van der Linden, H.C.; et al. Introduction of Primary Screening Using High-Risk HPV DNA Detection in the Dutch Cervical Cancer Screening Programme: A Population-Based Cohort Study. BMC Med. 2019, 17, 228. [Google Scholar] [CrossRef] [PubMed]
- Vahteristo, M.; Heinävaara, S.; Anttila, A.; Sarkeala, T. Alternative Cytology Triage Strategies for Primary HPV Screening. Gynecol. Oncol. 2022, 167, 73–80. [Google Scholar] [CrossRef]
- Landy, R.; Sasieni, P.D.; Mathews, C.; Wiggins, C.L.; Robertson, M.; McDonald, Y.J.; Goldberg, D.W.; Scarinci, I.C.; Cuzick, J.; Wheeler, C.M.; et al. Impact of Screening on Cervical Cancer Incidence: A Population-Based Case–Control Study in the United States. Int. J. Cancer 2020, 147, 887–896. [Google Scholar] [CrossRef] [PubMed]
- He, W.-Q.; Li, C. Recent Global Burden of Cervical Cancer Incidence and Mortality, Predictors, and Temporal Trends. Gynecol. Oncol. 2021, 163, 583–592. [Google Scholar] [CrossRef] [PubMed]
- Kamineni, A.; Weinmann, S.; Shy, K.K.; Glass, A.G.; Weiss, N.S. Efficacy of Screening in Preventing Cervical Cancer among Older Women. Cancer Causes Control. 2013, 24, 1653–1660. [Google Scholar] [CrossRef]
- Wang, J.; Andrae, B.; Sundström, K.; Ploner, A.; Ström, P.; Elfström, K.M.; Dillner, J.; Sparén, P. Effectiveness of Cervical Screening after Age 60 Years According to Screening History: Nationwide Cohort Study in Sweden. PLoS Med. 2017, 14, e1002414. [Google Scholar] [CrossRef]
- McBride, E.; Marlow, L.A.V.; Forster, A.S.; Ridout, D.; Kitchener, H.; Patnick, J.; Waller, J. Anxiety and Distress Following Receipt of Results from Routine HPV Primary Testing in Cervical Screening: The Psychological Impact of Primary Screening (PIPS) Study. Int. J. Cancer 2020, 146, 2113–2121. [Google Scholar] [CrossRef] [PubMed]




| Variable | Class | Cases, N (%) | Controls, N (%) | 
|---|---|---|---|
| 1677 (100) | 16,738 (100) | ||
| Age at case’s diagnosis | 20–29 | 89 (5) | 886 (5) | 
| 30–39 | 380 (23) | 3789 (23) | |
| 40–49 | 351 (21) | 3503 (21) | |
| 50–59 | 263 (16) | 2628 (16) | |
| 60–69 | 247 (15) | 2469 (15) | |
| 70–79 | 182 (11) | 1814 (11) | |
| 80–89 | 127 (8) | 1269 (8) | |
| 90–99 | 38 (2) | 380 (2) | |
| Education | Tertiary | 501 (30) | 6516 (39) | 
| Secondary | 645 (38) | 6172 (37) | |
| Basic or unknown | 531 (32) | 4050 (24) | |
| Socioeconomic status | Upper/lower-level employees | 603 (36) | 6962 (42) | 
| Employers and self-employed | 73 (4) | 737 (4) | |
| Manual workers | 194 (12) | 1615 (10) | |
| Students | 44 (3) | 374 (2) | |
| Pensioners | 563 (34) | 5568 (33) | |
| Others | 200 (12) | 1482 (9) | 
| 5-Year Interval | 3-Year Interval | |||||
|---|---|---|---|---|---|---|
| Cases, N (%) | Controls, N (%) | OR (95%CI) | Cases, N (%) | Controls, N (%) | OR (95%CI) | |
| All ages | 1677 (100) | 16,738 (100) | 1677 (100) | 16,738 (100) | ||
| No tests | 779 (46) | 4920 (29) | 854 (51) | 6063 (36) | ||
| Any test | 898 (54) | 11,818 (71) | 0.43 (0.38–0.48) | 823 (49) | 10,675 (64) | 0.49 (0.44–0.55) | 
| Screening target ages * | 1081 (100) | 10,793 (100) | 1082 (100) | 10,802 (100) | ||
| No tests | 412 (38) | 1807 (17) | 435 (40) | 2178 (20) | ||
| Only program | 290 (27) | 3864 (36) | 0.35 (0.29–0.41) | 362 (33) | 5248 (49) | 0.36 (0.31–0.43) | 
| Only outside | 181 (17) | 2059 (19) | 0.42 (0.35–0.51) | 146 (13) | 1685 (16) | 0.48 (0.39–0.59) | 
| Both | 198 (18) | 3063 (28) | 0.31 (0.25–0.37) | 139 (13) | 1691 (16) | 0.46 (0.37–0.56) | 
| Publisher’s Note: MDPI stays neutral with regard to jurisdictional claims in published maps and institutional affiliations. | 
© 2022 by the authors. Licensee MDPI, Basel, Switzerland. This article is an open access article distributed under the terms and conditions of the Creative Commons Attribution (CC BY) license (https://creativecommons.org/licenses/by/4.0/).
Share and Cite
Pankakoski, M.; Sarkeala, T.; Anttila, A.; Heinävaara, S. Effectiveness of Cervical Testing in and outside a Screening Program—A Case-Control Study. Cancers 2022, 14, 5193. https://doi.org/10.3390/cancers14215193
Pankakoski M, Sarkeala T, Anttila A, Heinävaara S. Effectiveness of Cervical Testing in and outside a Screening Program—A Case-Control Study. Cancers. 2022; 14(21):5193. https://doi.org/10.3390/cancers14215193
Chicago/Turabian StylePankakoski, Maiju, Tytti Sarkeala, Ahti Anttila, and Sirpa Heinävaara. 2022. "Effectiveness of Cervical Testing in and outside a Screening Program—A Case-Control Study" Cancers 14, no. 21: 5193. https://doi.org/10.3390/cancers14215193
APA StylePankakoski, M., Sarkeala, T., Anttila, A., & Heinävaara, S. (2022). Effectiveness of Cervical Testing in and outside a Screening Program—A Case-Control Study. Cancers, 14(21), 5193. https://doi.org/10.3390/cancers14215193
 
        


 
       