cT1N0M0 Esophageal Squamous Cell Carcinoma Invades the Muscularis Mucosa or Submucosa: Comparison of the Results of Endoscopic Submucosal Dissection and Esophagectomy
Abstract
Simple Summary
Abstract
1. Introduction
2. Patients and Methods
2.1. Patients
2.2. Clinical Staging
2.3. ESD and Esophagectomy Procedures
2.4. Pathological Staging
2.5. Esophagectomy after Primary ESD
2.6. Adjuvant Therapy in the ESD Group
2.7. Follow-Up
2.8. Outcome Comparisons
2.9. Statistical Analyses
3. Results
3.1. Patient Characteristics and Tumor Features
3.1.1. Patient Characteristics
3.1.2. Tumor Features
3.2. Procedure-Related Outcomes
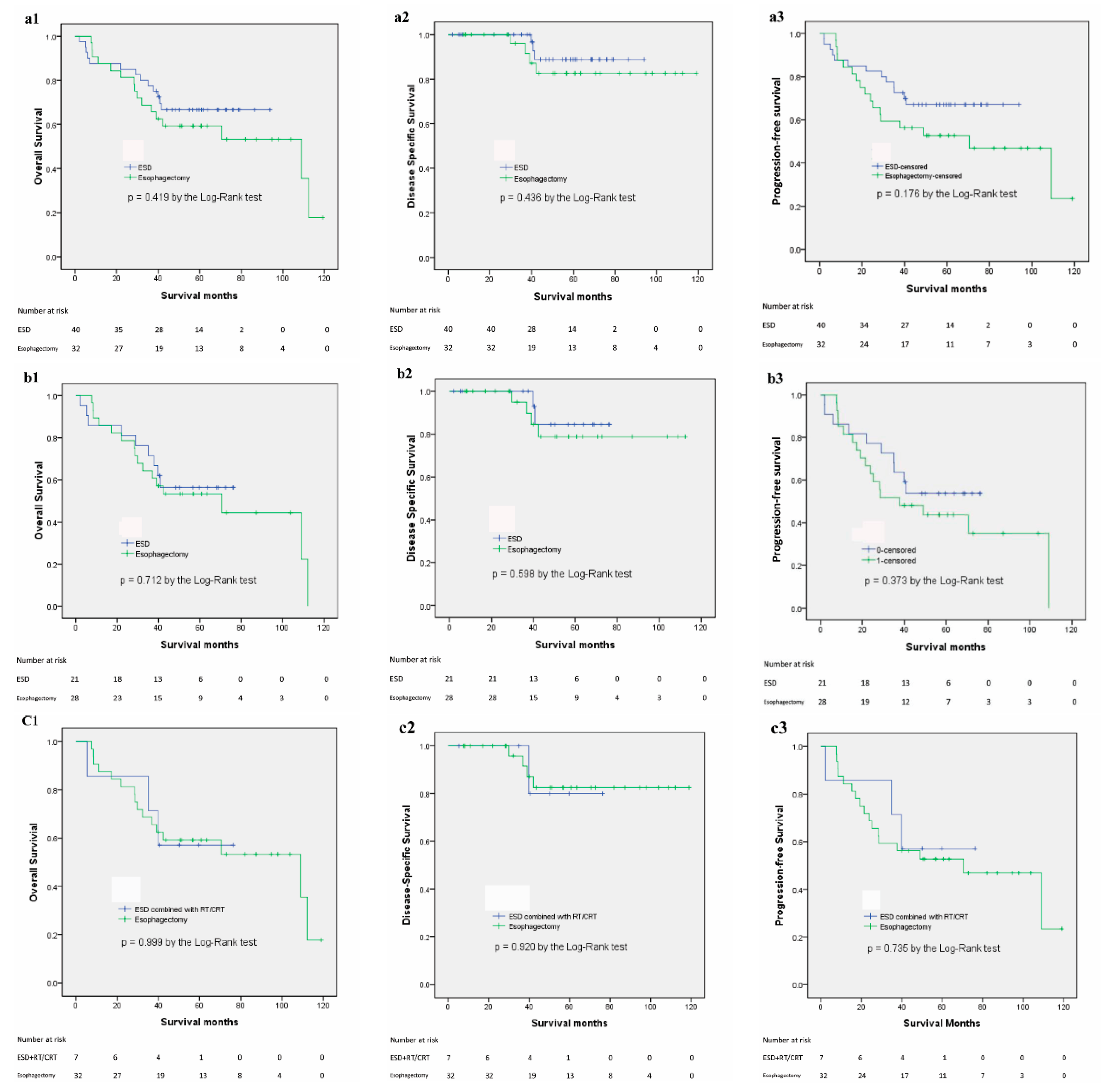
3.3. Outcomes of the Patients
3.4. Factors Associated with Overall Survival
4. Discussion
5. Conclusions
Author Contributions
Funding
Institutional Review Board Statement
Informed Consent Statement
Data Availability Statement
Conflicts of Interest
References
- Njei, B.; McCarty, T.R.; Birk, J.W. Trends in esophageal cancer survival in United States adults from 1973 to 2009: A SEER database analysis. J. Gastroenterol. Hepatol. 2016, 31, 1141–1146. [Google Scholar] [CrossRef]
- Wright, C.D.; Kucharczuk, J.C.; O’Brien, S.M.; Grab, J.D.; Allen, M.S. Predictors of major morbidity and mortality after esophagectomy for esophageal cancer: A Society of Thoracic Surgeons General Thoracic Surgery Database risk adjustment model. J. Thorac. Cardiovasc. Surg. 2009, 137, 587–595. [Google Scholar] [CrossRef] [PubMed]
- Raymond, D.P.; Seder, C.W.; Wright, C.D.; Magee, M.J.; Kosinski, A.S.; Cassivi, S.D.; Grogan, E.L.; Blackmon, S.H.; Allen, M.S.; Park, B.J.; et al. Predictors of Major Morbidity or Mortality After Resection for Esophageal Cancer: A Society of Thoracic Surgeons General Thoracic Surgery Database Risk Adjustment Model. Ann. Thorac. Surg. 2016, 102, 207–214. [Google Scholar] [CrossRef] [PubMed]
- Tatematsu, N.; Hasegawa, S.; Tanaka, E.; Sakai, Y.; Tsuboyama, T. Impact of oesophagectomy on physical fitness and health-related quality of life in patients with oesophageal cancer. Eur. J. Cancer Care 2013, 22, 308–313. [Google Scholar] [CrossRef]
- Yamashina, T.; Ishihara, R.; Nagai, K.; Matsuura, N.; Matsui, F.; Ito, T.; Fujii, M.; Yamamoto, S.; Hanaoka, N.; Takeuchi, Y.; et al. Long-term outcome and metastatic risk after endoscopic resection of superficial esophageal squamous cell carcinoma. Am. J. Gastroenterol. 2013, 108, 544–551. [Google Scholar] [CrossRef]
- Kitagawa, Y.; Uno, T.; Oyama, T.; Kato, K.; Kato, H.; Kawakubo, H.; Kawamura, O.; Kusano, M.; Kuwano, H.; Takeuchi, H.; et al. Esophageal cancer practice guidelines 2017 edited by the Japan esophageal society: Part 2. Esophagus 2019, 16, 25–43. [Google Scholar] [CrossRef] [PubMed]
- Sgourakis, G.; Gockel, I.; Lang, H. Endoscopic and surgical resection of T1a/T1b esophageal neoplasms: A systematic review. World J. Gastroenterol. 2013, 19, 1424–1437. [Google Scholar] [CrossRef]
- Takeuchi, M.; Suda, K.; Hamamoto, Y.; Kato, M.; Mayanagi, S.; Yoshida, K.; Fukuda, K.; Nakamura, R.; Wada, N.; Kawakubo, H.; et al. Technical feasibility and oncologic safety of diagnostic endoscopic resection for superficial esophageal cancer. Gastrointest. Endosc. 2018, 88, 456–465. [Google Scholar] [CrossRef]
- Yamamoto, S.; Ishihara, R.; Motoori, M.; Kawaguchi, Y.; Uedo, N.; Takeuchi, Y.; Higashino, K.; Yano, M.; Nakamura, S.; Iishi, H. Comparison between definitive chemoradiotherapy and esophagectomy in patients with clinical stage I esophageal squamous cell carcinoma. Am. J. Gastroenterol. 2011, 106, 1048–1054. [Google Scholar] [CrossRef]
- Motoori, M.; Yano, M.; Ishihara, R.; Yamamoto, S.; Kawaguchi, Y.; Tanaka, K.; Kishi, K.; Miyashiro, I.; Fujiwara, Y.; Shingai, T.; et al. Comparison between radical esophagectomy and definitive chemoradiotherapy in patients with clinical T1bN0M0 esophageal cancer. Ann. Surg. Oncol. 2012, 19, 2135–2141. [Google Scholar] [CrossRef]
- Kato, H.; Sato, A.; Fukuda, H.; Kagami, Y.; Udagawa, H.; Togo, A.; Ando, N.; Tanaka, O.; Shinoda, M.; Yamana, H.; et al. A phase II trial of chemoradiotherapy for stage I esophageal squamous cell carcinoma: Japan Clinical Oncology Group Study (JCOG9708). Jpn. J. Clin. Oncol. 2009, 39, 638–643. [Google Scholar] [CrossRef]
- Yoshimizu, S.; Yoshio, T.; Ishiyama, A.; Tsuchida, T.; Horiuchi, Y.; Omae, M.; Hirasawa, T.; Asari, T.; Chin, K.; Fujisaki, J. Long-term outcomes of combined endoscopic resection and chemoradiotherapy for esophageal squamous cell carcinoma with submucosal invasion. Dig. Liver Dis. 2018, 50, 833–838. [Google Scholar] [CrossRef]
- Kawaguchi, G.; Sasamoto, R.; Abe, E.; Ohta, A.; Sato, H.; Tanaka, K.; Maruyama, K.; Kaizu, M.; Ayukawa, F.; Yamana, N.; et al. The effectiveness of endoscopic submucosal dissection followed by chemoradiotherapy for superficial esophageal cancer. Radiat. Oncol. 2015, 10, 31. [Google Scholar] [CrossRef]
- Kam, T.Y.; Kountouri, M.; Roth, A.; Frossard, J.L.; Huber, O.; Mönig, S.; Zilli, T. Endoscopic resection with adjuvant chemo-radiotherapy for superficial esophageal squamous cell carcinoma: A critical review. Crit. Rev. Oncol. Hematol. 2018, 124, 61–65. [Google Scholar] [CrossRef] [PubMed]
- Koterazawa, Y.; Nakamura, T.; Oshikiri, T.; Kanaji, S.; Tanaka, S.; Ishida, T.; Yamashita, K.; Matsuda, T.; Morita, Y.; Suzuki, S.; et al. A comparison of the clinical outcomes of esophagectomy and chemoradiotherapy after noncurative endoscopic submucosal dissection for esophageal squamous cell carcinoma. Surg. Today 2018, 48, 783–789. [Google Scholar] [CrossRef] [PubMed]
- Mochizuki, Y.; Saito, Y.; Tsujikawa, T.; Fujiyama, Y.; Andoh, A. Combination of endoscopic submucosal dissection and chemoradiation therapy for superficial esophageal squamous cell carcinoma with submucosal invasion. Exp. Ther. Med. 2011, 2, 1065–1068. [Google Scholar] [CrossRef]
- Hamada, K.; Ishihara, R.; Yamasaki, Y.; Hanaoka, N.; Yamamoto, S.; Arao, M.; Suzuki, S.; Iwatsubo, T.; Kato, M.; Tonai, Y.; et al. Efficacy and Safety of Endoscopic Resection Followed by Chemoradiotherapy for Superficial Esophageal Squamous Cell Carcinoma: A Retrospective Study. Clin. Transl. Gastroenterol. 2017, 8, e110. [Google Scholar] [CrossRef] [PubMed]
- Suzuki, G.; Yamazaki, H.; Aibe, N.; Masui, K.; Sasaki, N.; Shimizu, D.; Kimoto, T.; Shiozaki, A.; Dohi, O.; Fujiwara, H.; et al. Endoscopic submucosal dissection followed by chemoradiotherapy for superficial esophageal cancer: Choice of new approach. Radiat. Oncol. 2018, 13, 246. [Google Scholar] [CrossRef] [PubMed]
- Minashi, K.; Nihei, K.; Mizusawa, J.; Takizawa, K.; Yano, T.; Ezoe, Y.; Tsuchida, T.; Ono, H.; Iizuka, T.; Hanaoka, N.; et al. Efficacy of Endoscopic Resection and Selective Chemoradiotherapy for Stage I Esophageal Squamous Cell Carcinoma. Gastroenterology 2019, 157, 382–390.e3. [Google Scholar] [CrossRef] [PubMed]
- Tsou, Y.K.; Chuang, W.Y.; Liu, C.Y.; Ohata, K.; Lin, C.H.; Lee, M.S.; Cheng, H.T.; Chiu, C.T. Learning curve for endoscopic submucosal dissection of esophageal neoplasms. Dis. Esophagus 2016, 29, 544–550. [Google Scholar] [CrossRef]
- Tsou, Y.K.; Liu, C.Y.; Fu, K.I.; Lin, C.H.; Lee, M.S.; Su, M.Y.; Ohata, K.; Chiu, C.T. Endoscopic Submucosal Dissection of Superficial Esophageal Neoplasms Is Feasible and Not Riskier for Patients with Liver Cirrhosis. Dig. Dis. Sci. 2016, 61, 3565–3571. [Google Scholar] [CrossRef][Green Version]
- Kuwano, H.; Nishimura, Y.; Oyama, T.; Kato, H.; Kitagawa, Y.; Kusano, M.; Shimada, H.; Takiuchi, H.; Toh, Y.; Doki, Y.; et al. Guidelines for Diagnosis and Treatment of Carcinoma of the Esophagus April 2012 edited by the Japan Esophageal Society. Esophagus 2015, 12, 1–30. [Google Scholar] [CrossRef]
- Ono, S.; Fujishiro, M.; Niimi, K.; Goto, O.; Kodashima, S.; Yamamichi, N.; Omata, M. Long-term outcomes of endoscopic submucosal dissection for superficial esophageal squamous cell neoplasms. Gastrointest. Endosc. 2009, 70, 860–866. [Google Scholar] [CrossRef]
- Min, Y.W.; Lee, H.; Song, B.G.; Min, B.H.; Kim, H.K.; Choi, Y.S.; Lee, J.H.; Hwang, N.Y.; Carriere, K.C.; Rhee, P.L.; et al. Comparison of endoscopic submucosal dissection and surgery for superficial esophageal squamous cell carcinoma: A propensity score-matched analysis. Gastrointest. Endosc. 2018, 88, 624–633. [Google Scholar] [CrossRef] [PubMed]
- Zhang, Y.; Ding, H.; Chen, T.; Zhang, X.; Chen, W.F.; Li, Q.; Yao, L.; Korrapati, P.; Jin, X.J.; Zhang, Y.X.; et al. Outcomes of Endoscopic Submucosal Dissection vs. Esophagectomy for T1 Esophageal Squamous Cell Carcinoma in a Real-World Cohort. Clin. Gastroenterol. Hepatol. 2019, 17, 73–81.e3. [Google Scholar] [CrossRef]
- Nishizawa, T.; Suzuki, H. Long-Term Outcomes of Endoscopic Submucosal Dissection for Superficial Esophageal Squamous Cell Carcinoma. Cancers 2020, 12, 2849. [Google Scholar] [CrossRef]
- An, W.; Liu, M.Y.; Zhang, J.; Cui, Y.P.; Gao, J.; Wang, L.P.; Chen, Y.; Yang, L.X.; Chen, H.Z.; Jin, H.; et al. Endoscopic submucosal dissection versus esophagectomy for early esophageal squamous cell carcinoma with tumor invasion to different depths. Am. J. Cancer Res. 2020, 10, 2977–2992. [Google Scholar]
- Dubecz, A.; Kern, M.; Solymosi, N.; Schweigert, M.; Stein, H.J. Predictors of Lymph Node Metastasis in Surgically Resected T1 Esophageal Cancer. Ann. Thorac. Surg. 2015, 99, 1879–1885. [Google Scholar] [CrossRef]
- Dermine, S.; Lévi-Strauss, T.; Abou Ali, E.; Belle, A.; Leblanc, S.; Bibault, J.E.; Barré, A.; Palmieri, L.J.; Brezault, C.; Dhooge, M.; et al. Organ Preservation after Endoscopic Resection of Early Esophageal Cancer with a High Risk of Lymph Node Involvement. Cancers 2020, 12, 3598. [Google Scholar] [CrossRef] [PubMed]
- Akutsu, Y.; Kato, K.; Igaki, H.; Ito, Y.; Nozaki, I.; Daiko, H.; Yano, M.; Udagawa, H.; Nakagawa, S.; Takagi, M.; et al. The Prevalence of Overall and Initial Lymph Node Metastases in Clinical T1N0 Thoracic Esophageal Cancer: From the Results of JCOG0502, a Prospective Multicenter Study. Ann. Surg. 2016, 264, 1009–1015. [Google Scholar] [CrossRef] [PubMed]
- Tsou, Y.K.; Lee, C.H.; Le, P.H.; Chen, B.H. Adjuvant therapy for pT1a-m3/pT1b esophageal squamous cell carcinoma after endoscopic resection: Esophagectomy or chemoradiotherapy? A critical review. Crit. Rev. Oncol. Hematol. 2020, 147, 102883. [Google Scholar] [CrossRef] [PubMed]
- Yang, Y.; Su, Y.; Zhang, X.; Liu, J.; Zhang, H.; Li, B.; Hua, R.; Tan, L.; Chen, H.; Li, Z. Esophagectomy versus definitive chemoradiotherapy for patients with clinical stage N0 and pathological stage T1b esophageal squamous cell carcinoma after endoscopic submucosal dissection: Study protocol for a multicenter randomized controlled trial (Ad-ESD Trial). Trials 2020, 21, 603. [Google Scholar] [CrossRef] [PubMed]


| ESD Group (n = 40) | Esophagectomy Group (n = 32) | p-Value | |
|---|---|---|---|
| Median age, years (range) | 55 (43–92) | 54 (40–72) | 0.946 |
| Male, n | 39 (97.5%) | 32 (100%) | 1 |
| Comorbidities | |||
| Liver cirrhosis, n | 7 (17.5%) | 0 | 0.015 |
| Diabetes mellitus, n | 5 (12.5%) | 4 (12.5%) | 1 |
| Hypertension, n | 12 (30%) | 5 (15.6%) | 0.154 |
| ESRD, n | 0 | 1 (3.1%) | 0.444 |
| Past cancer history but cured, n | 20 (50%) | 8 (25%) | 0.031 |
| Synchronous cancer, n | 7 (17.5%) | 10 (31.2%) | 0.172 |
| Performance status | 1 | ||
| ECOG 0/1, n | 39 (97.5%) | 32 (100%) | |
| ECOG ≥ 2, n | 1 (2.5%) | 0 | |
| Clinical T-stage | 0.009 | ||
| cT1a, n | 31 (77.5%) | 14 (43.8%) | |
| cT1b, n | 5 (12.5%) | 13 (40.6%) | |
| cT1, n | 4 (10%) | 5 (15.6%) | |
| Tumor characteristics | |||
| Median length, mm (range) | 30 (11–82) | 23.5 (9–50) | 0.004 |
| Location | 0.533 | ||
| Upper third, n | 7 (17.5%) | 7 (21.9%) | |
| Middle third, n | 19 (47.5%) | 11 (34.4%) | |
| Lower third, n | 14 (35%) | 14 (43.7%) | |
| Involvement ≥ 3/4 circumference, n | 12 (30%) | NA | - |
| Invasion depth on post-treatment pathology | 0.001 | ||
| pT1a-M3, n | 19 (47.5%) | 4 (12.5%) | |
| pT1b, n | 21 (52.5%) | 28 (87.5%) | |
| LVI, n | 2 (5%) | 9 (28.1%) | 0.007 |
| Lymph node metastasis, n | NA | 4 † (12.5%) | |
| Differentiation | 0.327 | ||
| Well and Moderate, n | 23 (57.5%) | 22 (68.8%) | |
| Poor, n | 17 (42.5%) | 10 (31.2%) |
| ESD Group (n = 40) | Esophagectomy Group (n = 32) | p-Value | |
|---|---|---|---|
| Procedure-related events | |||
| Median procedure time, min (range) | 122 (28–390) | 408 (267–759) | <0.001 |
| R0 resection, n | 35 (87.5%) | 31 (96.9%) | 0.217 |
| R0 resection plus no LVI, n | 33 (82.5%) | 23 (71.9%) | 0.281 |
| Major complications, n | 6 (15%) ‡ | 10 (31.3%) | 0.099 |
| Grade IIIa †, n | 6 (15%) ‡ | 6 18.8%) | - |
| Grade IIIb or more †, n | 0 | 4 (12.5%) | - |
| Perioperative mortality, n | 0 | 0 | 1 |
| Median hospital stay, days (range) | 9 (5–38) | 25 (15–62) | <0.001 |
| Adjuvant therapy, n | 7 (17.5%) | 0 | 0.015 |
| Chemoradiotherapy, n | 6 (15%) | 0 | - |
| Radiotherapy alone, n | 1 (2.5%) | 0 | - |
| Outcomes of the patients | |||
| Median follow-up period, month (range) | 49.2 (2.0–93.8) | 50.9 (7.7–119.1) | 0.683 |
| Metachronous lesions, n | 12 (30%) | 0 | 0.001 |
| Squamous cell carcinoma, n | 3 | 0 | - |
| High-grade dysplasia, n | 9 | 0 | - |
| LN and/or distant recurrence | 4 (10%) | 8 (25%) | 0.09 |
| All-cause mortality, n | 13 (32.5%) | 16 (50%) | 0.132 |
| Disease-specific mortality, n | 3 (7.5%) | 4 (12.5%) | 0.692 |
| Variables | Univariate Analysis | Multivariate Analysis | ||
|---|---|---|---|---|
| HR (95% CI) | p-Value | HR (95% CI) | p-Value | |
| Age, per year increase | 1.02 (0.98–1.06) | 0.319 | ||
| Comorbidity, no = 1 | 1.26 (0.6–2.65) | 0.498 | ||
| Synchronous cancer, no = 1 | 2.91 (1.37–6.16) | 0.005 | 2.19 (0.93–5.18) | 0.074 |
| Tumor length, per cm increase | 1.01 (0.98–1.04) | 0.633 | ||
| Tumor differentiation, poor = 1 | 1.18 (0.53–2.63) | 0.686 | ||
| LVI and/or positive LN at esophagectomy, no = 1 | 0.997 (0.37–2.66) | 0.995 | ||
| Pathological T-stage, pT1a-M3 = 1 | 3.61 (1.25–10.41) | 0.017 | 3.09 (1.04–9.16) | 0.042 |
| R0 resection, yes = 1 | 2.55 (0.96–6.75) | 0.06 | 3.51 (1.27–9.65 | 0.015 |
| LN and/or distant recurrence, no = 1 | 3.45 (1.59–7.45) | 0.002 | 2.13 (0.89–5.12) | 0.09 |
| Adjuvant therapy, no = 1 | 0.82 (0.25–2.74) | 0.752 | ||
| Treatment method, ESD = 1 | 1.36 (0.64–2.91) | 0.421 | ||
Publisher’s Note: MDPI stays neutral with regard to jurisdictional claims in published maps and institutional affiliations. |
© 2022 by the authors. Licensee MDPI, Basel, Switzerland. This article is an open access article distributed under the terms and conditions of the Creative Commons Attribution (CC BY) license (https://creativecommons.org/licenses/by/4.0/).
Share and Cite
Wang, C.-Y.; Chen, B.-H.; Lee, C.-H.; Le, P.-H.; Tsou, Y.-K.; Lin, C.-H. cT1N0M0 Esophageal Squamous Cell Carcinoma Invades the Muscularis Mucosa or Submucosa: Comparison of the Results of Endoscopic Submucosal Dissection and Esophagectomy. Cancers 2022, 14, 424. https://doi.org/10.3390/cancers14020424
Wang C-Y, Chen B-H, Lee C-H, Le P-H, Tsou Y-K, Lin C-H. cT1N0M0 Esophageal Squamous Cell Carcinoma Invades the Muscularis Mucosa or Submucosa: Comparison of the Results of Endoscopic Submucosal Dissection and Esophagectomy. Cancers. 2022; 14(2):424. https://doi.org/10.3390/cancers14020424
Chicago/Turabian StyleWang, Ching-Ya, Bo-Huan Chen, Cheng-Han Lee, Puo-Hsien Le, Yung-Kuan Tsou, and Cheng-Hui Lin. 2022. "cT1N0M0 Esophageal Squamous Cell Carcinoma Invades the Muscularis Mucosa or Submucosa: Comparison of the Results of Endoscopic Submucosal Dissection and Esophagectomy" Cancers 14, no. 2: 424. https://doi.org/10.3390/cancers14020424
APA StyleWang, C.-Y., Chen, B.-H., Lee, C.-H., Le, P.-H., Tsou, Y.-K., & Lin, C.-H. (2022). cT1N0M0 Esophageal Squamous Cell Carcinoma Invades the Muscularis Mucosa or Submucosa: Comparison of the Results of Endoscopic Submucosal Dissection and Esophagectomy. Cancers, 14(2), 424. https://doi.org/10.3390/cancers14020424

