Risk of New Primary Cancer in Patients with Posterior Uveal Melanoma: A National Cohort Study
Abstract
Simple Summary
Abstract
1. Introduction
2. Materials and Methods
2.1. Study Population
2.2. Study Outcomes
2.3. Statistical Methods
3. Results
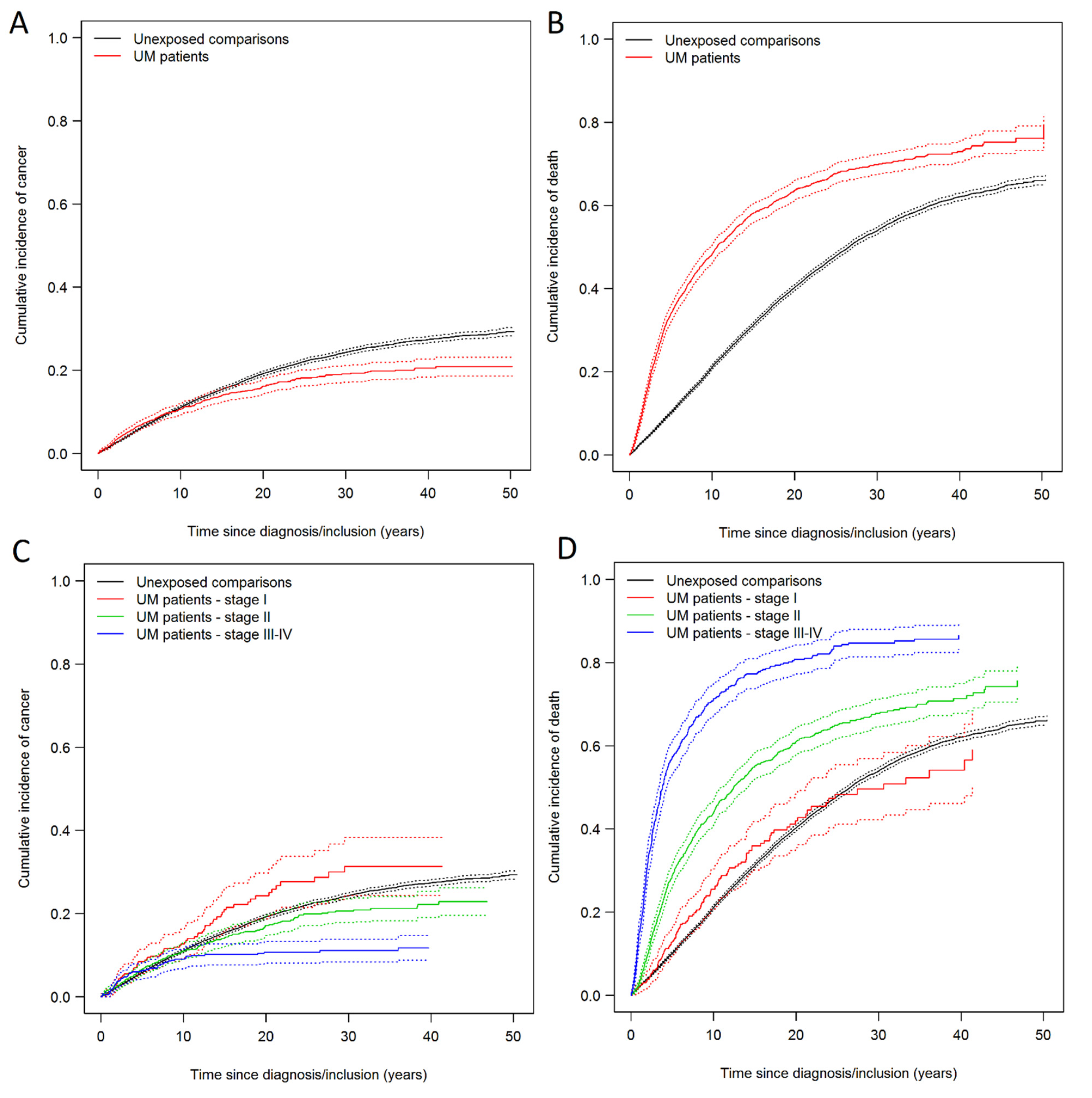
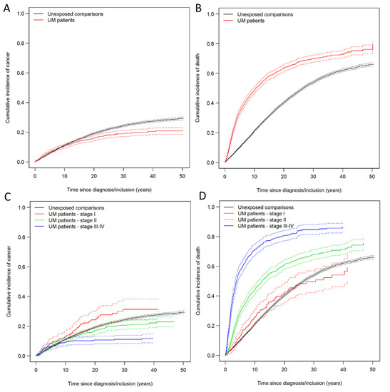
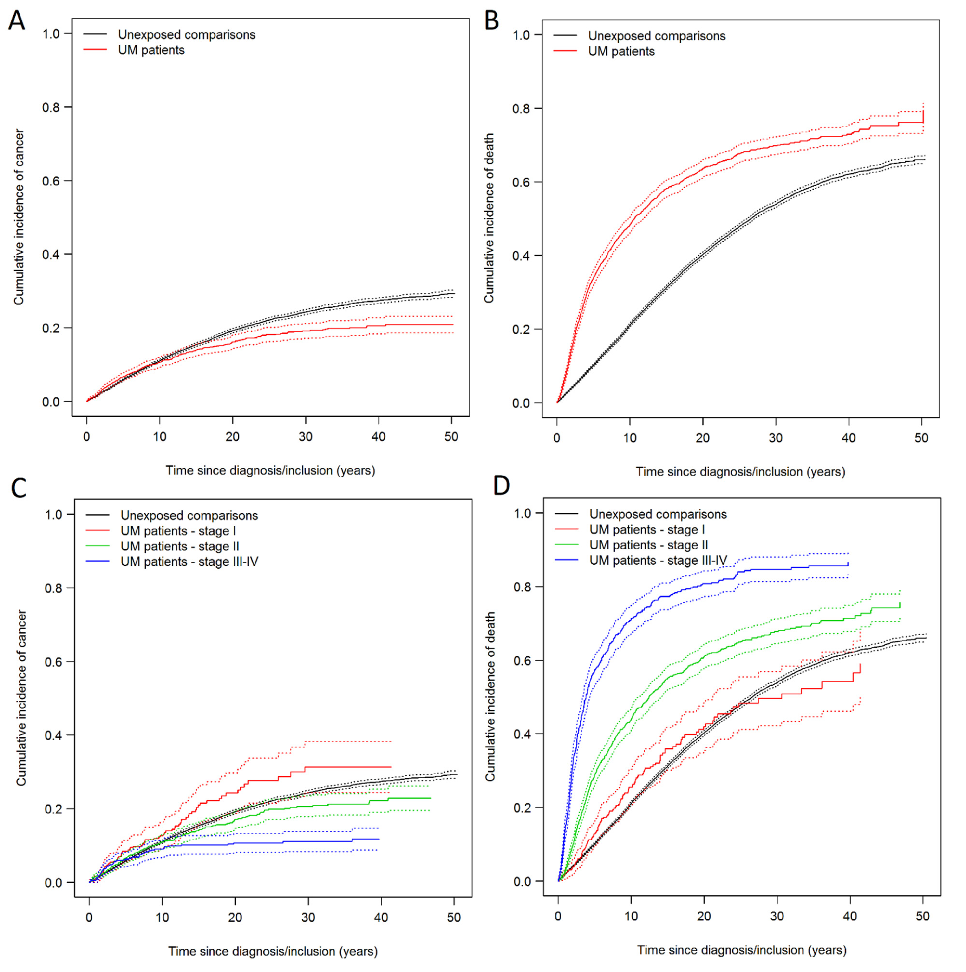
3.1. Incidence of New Primary Cancer
3.2. Incidence of Specific Cancer Types
3.3. Hazard Ratio of New Primary Cancer
4. Discussion
5. Conclusions
Supplementary Materials
Author Contributions
Funding
Institutional Review Board Statement
Informed Consent Statement
Data Availability Statement
Conflicts of Interest
References
- Bastian, B.C. The Molecular Pathology of Melanoma: An Integrated Taxonomy of Melanocytic Neoplasia. Annu. Rev. Pathol. Mech. Dis. 2014, 9, 239–271. [Google Scholar] [CrossRef]
- Broggi, G.; Russo, A.; Reibaldi, M.; Russo, D.; Varricchio, S.; Bonfiglio, V.; Spatola, C.; Barbagallo, C.; Foti, P.V.; Avitabile, T.; et al. Histopathology and genetic biomarkers of choroidal melanoma. Appl. Sci. 2020, 10, 8081. [Google Scholar] [CrossRef]
- Kujala, E.; Mäkitie, T.; Kivelä, T. Very Long-Term Prognosis of Patients with Malignant Uveal Melanoma. Investig. Ophthalmol. Vis. Sci. 2003, 44, 4651–4659. [Google Scholar] [CrossRef]
- Amin, M.; Stephen, B.E.; Frederick, L.G.; Byrd, D.; Brookland, R.; Washington, M.; Gershenwald, J.; Compton, C.; Hess, K.; Sullivan, D.; et al. AJCC Cancer Staging Manual, 8th ed.; Springer International Publishing: New York, NY, USA, 2017. [Google Scholar]
- Kivelä, T.T.; Piperno-Neumann, S.; Desjardins, L.; Schmittel, A.; Bechrakis, N.; Midena, E.; Leyvraz, S.; Zografos, L.; Grange, J.D.; Ract-Madoux, G.; et al. Validation of a Prognostic Staging for Metastatic Uveal Melanoma: A Collaborative Study of the European Ophthalmic Oncology Group. Am. J. Ophthalmol. 2016, 168, 217–226. [Google Scholar] [CrossRef]
- Rai, K.; Pilarski, R.; Boru, G.; Rehman, M.; Saqr, A.H.; Massengill, J.B.; Singh, A.; Marino, M.J.; Davidorf, F.H.; Cebulla, C.M.; et al. Germline BAP1 alterations in familial uveal melanoma. Genes Chromosom. Cancer 2017, 56, 168–174. [Google Scholar] [CrossRef] [PubMed]
- Masoomian, B.; Shields, J.A.; Shields, C.L. Overview of BAP1 cancer predisposition syndrome and the relationship to uveal melanoma. J. Curr. Ophthalmol. 2018, 30, 102–109. [Google Scholar] [CrossRef]
- Wadt, K.; Choi, J.; Chung, J.-Y.; Kiilgaard, J.; Heegaard, S.; Drzewiecki, K.T.; Trent, J.M.; Hewitt, S.M.; Hayward, N.K.; Gerdes, A.-M.; et al. A cryptic BAP1 splice mutation in a family with uveal and cutaneous melanoma, and paraganglioma. Pigment Cell Melanoma Res. 2012, 25, 815–818. [Google Scholar] [CrossRef] [PubMed]
- Walpole, S.; Pritchard, A.L.; Cebulla, C.M.; Pilarski, R.; Stautberg, M.; Davidorf, F.H.; de la Fouchardière, A.; Cabaret, O.; Golmard, L.; Stoppa-Lyonnet, D.; et al. Comprehensive Study of the Clinical Phenotype of Germline BAP1 Variant-Carrying Families Worldwide. JNCI J. Natl. Cancer Inst. 2018, 110, 1328–1341. [Google Scholar] [CrossRef] [PubMed]
- Abdel-Rahman, M.H.; Sample, K.M.; Pilarski, R.; Walsh, T.; Grosel, T.; Kinnamon, D.; Boru, G.; Massengill, J.B.; Schoenfield, L.; Kelly, B.; et al. Whole Exome Sequencing Identifies Candidate Genes Associated with Hereditary Predisposition to Uveal Melanoma. Ophthalmology 2020, 127, 668–678. [Google Scholar] [CrossRef]
- Collaborative Ocular Melanoma Study Group. Assessment of metastatic disease status at death in 435 patients with large choroidal melanoma in the Collaborative Ocular Melanoma Study (COMS): COMS report No. 15. Arch. Ophthalmol. 2001, 119, 670–676. [Google Scholar] [CrossRef]
- Laíns, I.; Bartosch, C.; Mondim, V.; Healy, B.; Kim, I.K.; Husain, D.; Miller, J.W. Second Primary Neoplasms in Patients with Uveal Melanoma: A SEER Database Analysis. Am. J. Ophthalmol. 2016, 165, 54–64. [Google Scholar] [CrossRef] [PubMed]
- Bergman, L.; Nilsson, B.; Ragnarsson-Olding, B.; Seregard, S. Uveal Melanoma: A Study on Incidence of Additional Cancers in the Swedish Population. Investig. Opthalmol. Vis. Sci. 2006, 47, 72–77. [Google Scholar] [CrossRef] [PubMed]
- Storm, H.H.; Lynge, E.; Osterlind, A.; Jensen, O.M. Multiple primary cancers in Denmark 1943-80; influence of possible underreporting and suggested risk factors. Yale J. Biol. Med. 1986, 59, 547–559. [Google Scholar]
- Smidt-Nielsen, I.; Bagger, M.; Heegaard, S.; Andersen, K.K.; Kiilgaard, J.F. Posterior uveal melanoma incidence and survival by AJCC tumour size in a 70-year nationwide cohort. Acta Ophthalmol. 2021, 99, e1474–e1482. [Google Scholar] [CrossRef]
- Schmidt, M.; Pedersen, L.; Sørensen, H.T. The Danish Civil Registration System as a tool in epidemiology. Eur. J. Epidemiol. 2014, 29, 541–549. [Google Scholar] [CrossRef]
- Gjerstorff, M.L. The Danish Cancer Registry. Scand. J. Public Health 2011, 39, 42–45. [Google Scholar] [CrossRef]
- Helweg-Larsen, K. The Danish Register of Causes of Death. Scand. J. Public Health 2011, 39, 26–29. [Google Scholar] [CrossRef]
- Clegg, L.X.; Reichman, M.E.; Miller, B.A.; Hankey, B.F.; Lin, Y.D.; Goodman, M.T.; Lynch, C.F.; Schwartz, S.M.; Chen, V.W.; Gomez, S.L.; et al. Impact of socioeconomic status on cancer incidence and stage and end results: National Longitudinal Mortality Study. Cancer Causes Control 2009, 20, 417–435. [Google Scholar] [CrossRef]
- Corkum, M.; Hayden, J.A.; Kephart, G.; Urquhart, R.; Schlievert, C.; Porter, G. Screening for new primary cancers in cancer survivors compared to non-cancer controls: A systematic review and meta-analysis. J. Cancer Surviv. 2013, 7, 455–463. [Google Scholar] [CrossRef] [PubMed]
- Chin, K.; Finger, P.T.; Kurli, M.; Tena, L.B.; Reddy, S. Second cancers discovered by 18FDG PET/CT imaging for choroidal melanoma. Optometry 2007, 78, 396–401. [Google Scholar] [CrossRef] [PubMed]
- Alfaar, A.S.; Saad, A.; Elzouki, S.; Abdel-Rahman, M.H.; Strauss, O.; Rehak, M. Uveal melanoma-associated cancers revisited. ESMO Open 2020, 5, 1–11. [Google Scholar] [CrossRef] [PubMed]
- Swerdlow, A.J.; Storm, H.H.; Sasieni, P.D. Risks of second primary malignancy in patients with cutaneous and ocular melanoma in denmark, 1943–1989. Int. J. Cancer 1995, 61, 773–779. [Google Scholar] [CrossRef] [PubMed]
- Callejo, S.A.; Al-Khalifa, S.; Özdal, P.Ç.; Edelstein, C.; Burnier, M.N. The risk of other primary cancer in patients with uveal melanoma: A retrospective cohort study of a Canadian population. Can. J. Ophthalmol. 2004, 39, 397–402. [Google Scholar] [CrossRef]
- Diener-West, M.; Reynolds, S.M.; Agugliaro, D.J.; Caldwell, R.; Cumming, K.; Earle, J.D.; Hawkins, B.S.; Hayman, J.A.; Jaiyesimi, I.; Kirkwood, J.M.; et al. Second primary cancers after enrollment in the COMS trials for treatment of choroidal melanoma: COMS Report No. 25. Arch. Ophthalmol. 2005, 123, 601–604. [Google Scholar] [CrossRef] [PubMed]
- Freton, A.; Chin, K.J.; Raut, R.; Tena, L.B.; Kivelä, T.; Finger, P.T. Initial PET/CT staging for choroidal melanoma: AJCC correlation and second nonocular primaries in 333 patients. Eur. J. Ophthalmol. 2012, 22, 236–243. [Google Scholar] [CrossRef]
- Johansson, P.A.; Brooks, K.; Newell, F.; Palmer, J.M.; Wilmott, J.S.; Pritchard, A.L.; Broit, N.; Wood, S.; Carlino, M.S.; Leonard, C.; et al. Whole genome landscapes of uveal melanoma show an ultraviolet radiation signature in iris tumours. Nat. Commun. 2020, 11, 2408–2416. [Google Scholar] [CrossRef]
- van Poppelen, N.M.; Vaarwater, J.; Mudhar, H.S.; Sisley, K.; Rennie, I.G.; Rundle, P.; Brands, T.; van den Bosch, Q.C.C.; Mensink, H.W.; de Klein, A.; et al. Genetic Background of Iris Melanomas and Iris Melanocytic Tumors of Uncertain Malignant Potential. Ophthalmology 2018, 125, 904–912. [Google Scholar] [CrossRef] [PubMed]
- Scholz, S.L.; Möller, I.; Reis, H.; Süßkind, D.; Van De Nes, J.A.P.; Leonardelli, S.; Schilling, B.; Livingstone, E.; Schimming, T.; Paschen, A.; et al. Frequent GNAQ, GNA11, and EIF1AX Mutations in Iris Melanoma. Investig. Ophthalmol. Vis. Sci. 2017, 58, 3464–3470. [Google Scholar] [CrossRef]
- Cronin Fenton, D.; Antonsen, S.; Cetin, K.; Acquavella, J.; Daniels, A.; Lash, T.L. Methods and rationale used in a matched cohort study of the incidence of new primary cancers following prostate cancer. Clin. Epidemiol. 2013, 5, 429–437. [Google Scholar] [CrossRef][Green Version]


| Levels | Full Cohort | Sub-Cohort (1980–2017) | ||
|---|---|---|---|---|
| Unexposed 3 | UM 2 Patients | Unexposed 3 | UM 2 Patients | |
| Total number | 22,717 | 2179 | 17,908 | 1738 |
| Sex (%) | ||||
| Male | 11,695 (51.5) | 1145 (52.5) | 9150 (51.1) | 908 (52.2) |
| Female | 11,022 (48.5) | 1034 (47.5) | 8758 (48.9) | 830 (47.8) |
| Age index (%) | ||||
| <20 | 90 (0.4) | 9 (0.4) | 59 (0.3) | 6 (0.3) |
| 20–39 | 1507 (6.6) | 164 (7.5) | 1089 (6.1) | 120 (6.9) |
| 40–49 | 2418 (10.6) | 249 (11.4) | 1867 (10.4) | 200 (11.5) |
| 50–59 | 4555 (20.1) | 445 (20.4) | 3618 (20.2) | 359 (20.7) |
| 60–69 | 6626 (29.2) | 624 (28.6) | 5235 (29.2) | 496 (28.5) |
| 70–79 | 5421 (23.9) | 499 (22.9) | 4317 (24.1) | 401 (23.1) |
| ≥80 | 2100 (9.2) | 189 (8.7) | 1723 (9.6) | 156 (9.0) |
| Year index (%) | ||||
| 1968–1979 | 4809 (21.2) | 441 (20.2) | - | - |
| 1980–1989 | 4311 (19.0) | 395 (18.1) | 4311 (24.1) | 395 (22.7) |
| 1990–1999 | 4650 (20.5) | 454 (20.8) | 4650 (26.0) | 454 (26.1) |
| 2000–2009 | 5005 (22.0) | 484 (22.2) | 5005 (27.9) | 484 (27.8) |
| 2010–2016 | 3942 (17.4) | 405 (18.6) | 3942 (22.0) | 405 (23.3) |
| AJCC 1 stage | ||||
| I | - | 365 (16.8) | - | 309 (18.3) |
| II | - | 1136 (52.1) | - | 905 (53.6) |
| III–IV | - | 591 (27.1) | - | 473 (28.0) |
| NA | 87 (4.0) | 51 | ||
| Disposable Income (%) | ||||
| 1 | - | - | 3280 (18.3) | 305 (17.6) |
| 2 | - | - | 3604 (20.1) | 355 (20.4) |
| 3 | - | - | 3782 (21.1) | 374 (21.5) |
| 4 | - | - | 3550 (19.8) | 358 (20.6) |
| 5 | - | - | 3606 (20.1) | 345 (19.9) |
| NA | - | - | 86 (0.5) | 0 (0.0) |
| Civil status (%) | ||||
| Single | - | - | 6539 (36.5) | 608 (35.2) |
| Relationship | - | - | 11,231 (62.7) | 1121 (64.8) |
| NA | - | - | 138 (0.8%) | |
| Education (%) | ||||
| Higher | - | - | 2776 (15.6) | 288 (16.7) |
| Medium | - | - | 6369 (35.8) | 665 (38.5) |
| Short | - | - | 4732 (26.6) | 424 (24.5) |
| Unknown | - | - | 3921 (22.0) | 352 (20.4) |
| Subsequent Cancer | Events | PY 1 | IR 2 | (95% CI) 3 | RR 4 | 95% CI 3 | AER 5 | (95% CI) |
|---|---|---|---|---|---|---|---|---|
| Posterior UM 6: New primary cancer | 324 | 18,696.60 | 1.73 | (1.55; 1.93) | 1.21 | (1.08; 1.35) | 2.99 | (1.06; 4.93) |
| Unexp 7: New primary cancer | 4353 | 303,620.38 | 1.43 | (1.39; 1.48) | ||||
| Death | ||||||||
| Posterior UM: All-cause | 1520 | 19,585.13 | 7.76 | (7.38; 8.16) | 1.97 | (1.86; 2.07) | 38.13 | (34.16; 42.09) |
| Unexp: All-cause | 12,529 | 317,321.09 | 3.95 | (3.88; 4.02) | ||||
| Posterior UM: All cancer-related death | 598 | 19,585.13 | 3.05 | (2.81; 3.31) | 5.17 | (4.71; 5.67) | 24.62 | (22.16; 27.09) |
| Unexp: All cancer-related death | 1875 | 317,321.09 | 0.59 | (0.56; 0.62) |
| New Primary Cancer Site | Unexposed | Posterior UM Patients |
|---|---|---|
| Bone and joints | 6 (0.1) | 0 |
| Breast cancer | 480 (11.0) | 34 (10.5) |
| Oral cavity and pharynx | 113 (0.6) | <10 1 (NA) |
| Digestive organs | 1153 (26.5) | 83 (25.6) |
| Endocrine glands | 19 (0.4) | 0 |
| Eye and CNS | 58 (1.3) | <10 1 (NA) |
| Female genital organs | 215 (4.9) | 19 (5.9) |
| Lymphatic/hematologic tissue | 287 (6.6) | 20 (6.2) |
| Male genital organs | 633 (14.5) | 50 (15.4) |
| Mesothelioma and connective tissue | 22 (0.5) | <10 1 (NA) |
| Respiratory system and intrathoracic organs | 709 (16.3) | 41 (12.7) |
| Skin | 154 (3.5) | <10 1 (NA) |
| Urinary | 286 (6.6) | 24 (7.4) |
| Undefined | 218 (5.0) | 40 (12.3) |
| Years after Diagnosis of PUM | HRt 1 | 95% CI 2 | p-Value |
|---|---|---|---|
| 0–1 | 1.10 | (0.74; 1.63) | 0.649 |
| 2–5 | 1.49 | (1.23; 1.80) | <0.001 |
| 6–10 | 1.26 | (0.99; 1.61) | 0.058 |
| 11–15 | 1.49 | (1.12; 1.99) | 0.006 |
| >15 | 1.27 | (0.98; 1.65) | 0.071 |
Publisher’s Note: MDPI stays neutral with regard to jurisdictional claims in published maps and institutional affiliations. |
© 2022 by the authors. Licensee MDPI, Basel, Switzerland. This article is an open access article distributed under the terms and conditions of the Creative Commons Attribution (CC BY) license (https://creativecommons.org/licenses/by/4.0/).
Share and Cite
Bagger, M.; Albieri, V.; Hindso, T.G.; Wadt, K.; Heegaard, S.; Andersen, K.K.; Kiilgaard, J.F. Risk of New Primary Cancer in Patients with Posterior Uveal Melanoma: A National Cohort Study. Cancers 2022, 14, 284. https://doi.org/10.3390/cancers14020284
Bagger M, Albieri V, Hindso TG, Wadt K, Heegaard S, Andersen KK, Kiilgaard JF. Risk of New Primary Cancer in Patients with Posterior Uveal Melanoma: A National Cohort Study. Cancers. 2022; 14(2):284. https://doi.org/10.3390/cancers14020284
Chicago/Turabian StyleBagger, Mette, Vanna Albieri, Tine Gadegaard Hindso, Karin Wadt, Steffen Heegaard, Klaus Kaae Andersen, and Jens Folke Kiilgaard. 2022. "Risk of New Primary Cancer in Patients with Posterior Uveal Melanoma: A National Cohort Study" Cancers 14, no. 2: 284. https://doi.org/10.3390/cancers14020284
APA StyleBagger, M., Albieri, V., Hindso, T. G., Wadt, K., Heegaard, S., Andersen, K. K., & Kiilgaard, J. F. (2022). Risk of New Primary Cancer in Patients with Posterior Uveal Melanoma: A National Cohort Study. Cancers, 14(2), 284. https://doi.org/10.3390/cancers14020284

