Close Surgical Margins in Oral and Oropharyngeal Cancer: Do They Impact Prognosis?
Abstract
:Simple Summary
Abstract
1. Introduction
2. Materials and Methods
2.1. Materials
2.2. Treatment Modalities
2.3. Histopathological Review
2.4. Statistical Analyses
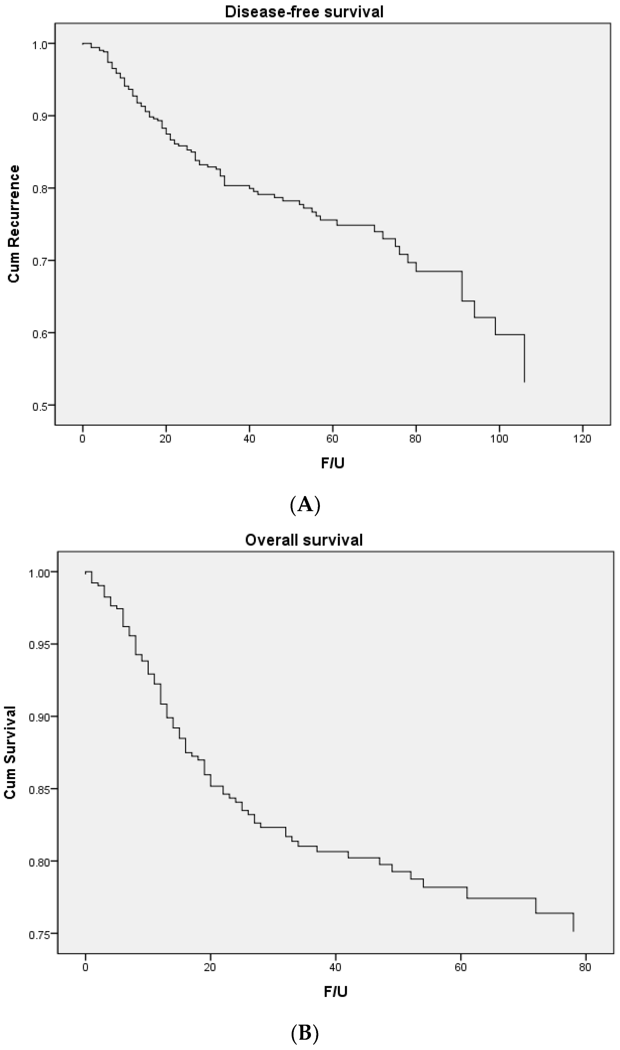
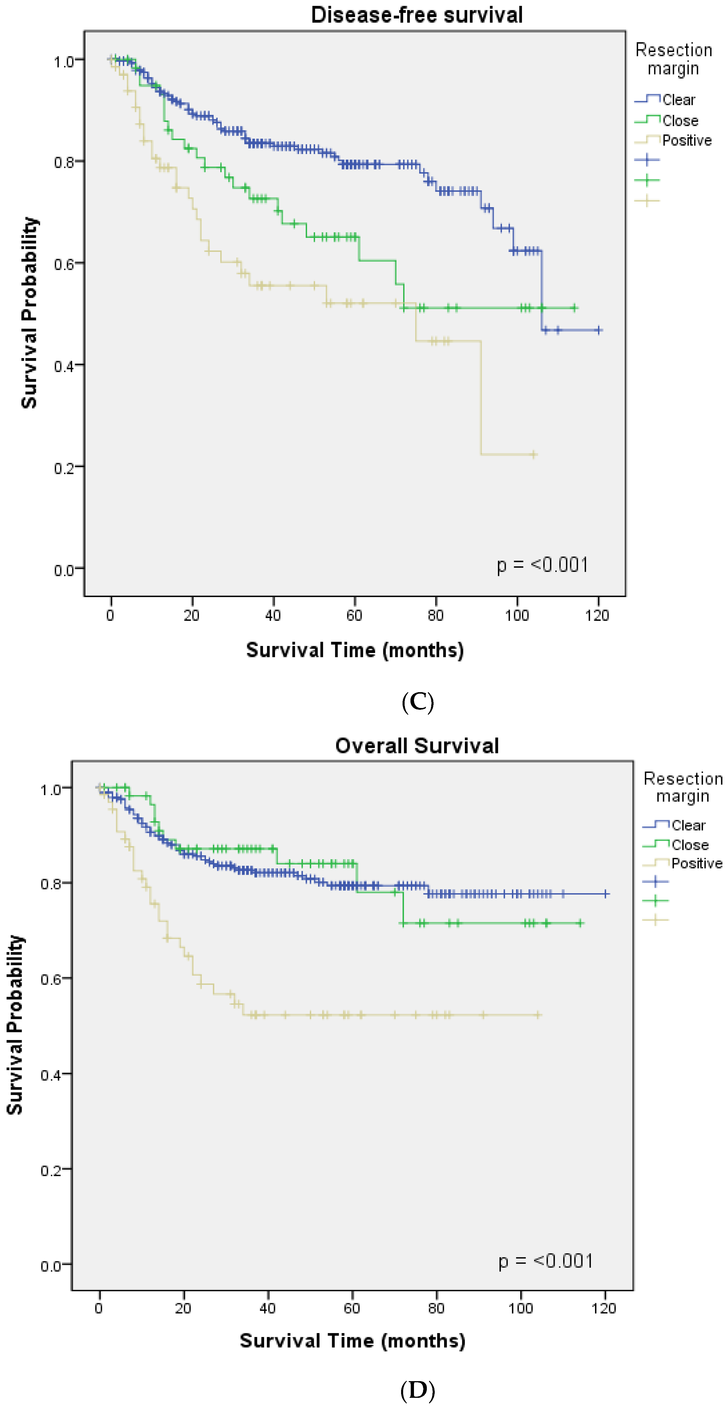
3. Results
4. Discussion
5. Conclusions
Author Contributions
Funding
Institutional Review Board Statement
Informed Consent Statement
Data Availability Statement
Conflicts of Interest
References
- Carvalho, A.L.; Magrin, J.; Kowalski, L.P. Sites of recurrence in oral and oropharyngeal cancers according to the treatment approach. Oral Dis. 2003, 9, 112–118. [Google Scholar] [CrossRef] [PubMed]
- Woolgar, J.A.; Triantafyllou, A. A histopathological appraisal of surgical margins in oral and oropharyngeal cancer resection specimens. Oral Oncol. 2005, 41, 1034–1043. [Google Scholar] [CrossRef] [PubMed]
- Pfister, D.G.; Spencer, S.; Brizel, D.M.; Burtness, B.; Busse, P.M.; Caudell, J.J.; Cmelak, A.J.; Colevas, A.D.; Dunphy, F.; Eisele, D.W.; et al. Head and neck cancers, Version 2.2014. Clinical practice guidelines in oncology. J. Natl. Compr. Cancer Netw. 2014, 12, 1454–1487. [Google Scholar] [CrossRef] [PubMed] [Green Version]
- Loree, T.R.; Strong, E.W. Significance of positive margins in oral cavity squamous carcinoma. Am. J. Surg. 1990, 160, 410–414. [Google Scholar] [CrossRef]
- Bernier, J.; Cooper, J.S.; Pajak, T.F.; van Glabbeke, M.; Bourhis, J.; Forastiere, A.; Ozsahin, E.M.; Jacobs, J.R.; Jassem, J.; Ang, K.K.; et al. Defining risk levels in locally advanced head and neck cancers: A comparative analysis of concurrent postoperative radiation plus chemotherapy trials of the EORTC (#22931) and RTOG (#9501). Head Neck 2005, 27, 843–850. [Google Scholar] [CrossRef] [PubMed]
- Ribeiro, N.F.; Godden, D.R.; Wilson, G.E.; Butterworth, D.M.; Woodwards, R.T. Do frozen sections help achieve adequate surgical margins in the resection of oral carcinoma? Int. J. Oral Maxillofac. Surg. 2003, 32, 152–158. [Google Scholar] [CrossRef] [PubMed]
- Nason, R.W.; Binahmed, A.; Pathak, K.A.; Abdoh, A.A.; Sándor, G.K. What is the adequate margin of surgical resection in oral cancer? Oral Surg. Oral Med. Oral Pathol. Oral Radiol. 2009, 107, 625–629. [Google Scholar] [CrossRef]
- Hinni, M.L.; Zarka, M.A.; Hoxworth, J.M. Margin mapping in transoral surgery for head and neck cancer. Laryngoscope 2013, 123, 1190–1198. [Google Scholar] [CrossRef]
- Zanoni, D.K.; Migliacci, J.C.; Xu, B.; Katabi, N.; Montero, P.H.; Ganly, I.; Shah, J.P.; Wong, R.J.; Ghossein, R.A.; Patel, S.G. A Proposal to Redefine Close Surgical Margins in Squamous Cell Carcinoma of the Oral Tongue. JAMA Otolaryngol. Head Neck Surg. 2017, 143, 555–560. [Google Scholar] [CrossRef]
- Tasche, K.K.; Buchakjian, M.R.; Pagedar, N.A.; Sperry, S.M. Definition of “Close Margin” in Oral Cancer Surgery and Association of Margin Distance with Local Recurrence Rate. JAMA Otolaryngol. Head Neck Surg. 2017, 143, 1166–1172. [Google Scholar] [CrossRef] [Green Version]
- Brinkman, D.; Callanan, D.; O’Shea, R.; Jawad, H.; Feeley, L.; Sheahan, P. Impact of 3 mm margin on risk of recurrence and survival in oral cancer. Oral Oncol. 2020, 110, 104883. [Google Scholar] [CrossRef] [PubMed]
- Binahmed, A.; Nason, R.W.; Abdoh, A.A. The clinical significance of the positive surgical margin in oral cancer. Oral Oncol. 2007, 43, 780–784. [Google Scholar] [CrossRef] [PubMed] [Green Version]
- Johnson, R.E.; Sigman, J.D.; Funk, G.F.; Robinson, R.A.; Hoffman, H.T. Quantification of surgical margin shrinkage in the oral cavity. Head Neck 1997, 19, 281–286. [Google Scholar] [CrossRef]
- Onoda, S.; Kimata, Y.; Sugiyama, N.; Onoda, T.; Mizukawa, N. Effects of radiation therapy on postoperative complications and adverse events in patients with head and neck reconstruction with flaps. Microsurgery 2014, 34, 516–521. [Google Scholar] [CrossRef]
- Choi, J.Y.; Yoon, S.J.; Kim, S.W.; Jung, H.W.; Kim, K.I.; Kang, E.; Kim, S.W.; Han, H.S.; Kim, C.H. Prediction of Postoperative Complications Using Multidimensional Frailty Score in Older Female Cancer Patients with American Society of Anesthesiologists Physical Status Class 1 or 2. J. Am. Coll. Surg. 2015, 221, 652–660.e652. [Google Scholar] [CrossRef]
- Makary, M.A.; Segev, D.L.; Pronovost, P.J.; Syin, D.; Bandeen-Roche, K.; Patel, P.; Takenaga, R.; Devgan, L.; Holzmueller, C.G.; Tian, J.; et al. Frailty as a predictor of surgical outcomes in older patients. J. Am. Coll. Surg. 2010, 210, 901–908. [Google Scholar] [CrossRef]
- Kim, S.W.; Han, H.S.; Jung, H.W.; Kim, K.I.; Hwang, D.W.; Kang, S.B.; Kim, C.H. Multidimensional frailty score for the prediction of postoperative mortality risk. JAMA Surg. 2014, 149, 633–640. [Google Scholar] [CrossRef] [Green Version]
- Parker, S.G.; McCue, P.; Phelps, K.; McCleod, A.; Arora, S.; Nockels, K.; Kennedy, S.; Roberts, H.; Conroy, S. What is Comprehensive Geriatric Assessment (CGA)? An umbrella review. Age Ageing 2018, 47, 149–155. [Google Scholar] [CrossRef] [Green Version]
- Kukreja, P.; Parekh, D.; Roy, P. Practical Challenges in Measurement of Depth of Invasion in Oral Squamous Cell Carcinoma: Pictographical Documentation to Improve Consistency of Reporting per the AJCC 8th Edition Recommendations. Head Neck Pathol. 2020, 14, 419–427. [Google Scholar] [CrossRef]
- Baba, A.; Hashimoto, K.; Kayama, R.; Yamauchi, H.; Ikeda, K.; Ojiri, H. Radiological approach for the newly incorporated T staging factor, depth of invasion (DOI), of the oral tongue cancer in the 8th edition of American Joint Committee on Cancer (AJCC) staging manual: Assessment of the necessity for elective neck dissection. Jpn. J. Radiol. 2020, 38, 821–832. [Google Scholar] [CrossRef]
- Szewczyk, M.; Golusinski, W.; Pazdrowski, J.; Masternak, M.; Sharma, N.; Golusinski, P. Positive fresh frozen section margins as an adverse independent prognostic factor for local recurrence in oral cancer patients. Laryngoscope 2018, 128, 1093–1098. [Google Scholar] [CrossRef] [PubMed]
- Angelelli, G.; Moschetta, M.; Limongelli, L.; Albergo, A.; Lacalendola, E.; Brindicci, F.; Favia, G.; Maiorano, E. Endocavitary sonography of early oral cavity malignant tumors. Head Neck 2017, 39, 1349–1356. [Google Scholar] [CrossRef] [PubMed]
- Limongelli, L.; Capodiferro, S.; Tempesta, A.; Sportelli, P.; Dell’Olio, F.; Angelelli, G.; Maiorano, E.; Favia, G. Early tongue carcinomas (clinical stage I and II): Echo-guided three-dimensional diode laser mini-invasive surgery with evaluation of histological prognostic parameters. A study of 85 cases with prolonged follow-up. Lasers Med. Sci. 2020, 35, 751–758. [Google Scholar] [CrossRef] [PubMed]


| Parameter | Value (%) | |
|---|---|---|
| Sex | Male | 300 (71.8) | 
| Female | 118 (28.2) | |
| Age (years) | 58.50 ± 13.40 | |
| Primary site | Oral cavity | 241 (57.7) | 
| Oropharynx | 177 (42.3) | |
| AJCC stage | T1 | 156 (37.3) | 
| T2 | 162 (39.0) | |
| T3 | 59 (14.1) | |
| T4 | 40 (9.6) | |
| N0 | 220 (52.6) | |
| N1 | 74 (17.7) | |
| N2 | 117 (28) | |
| N3 | 7 (1.7) | |
| Treatment modality | Surgery only | 202 (48.3) | 
| Surgery + adjuvant therapy | 216 (51.7) | |
| Mean follow-up duration (months) | 42 ± 28 | |
| Outcomes | 5-year DFS | 73.3% | 
| 5-year OS | 76.0% | |
| Pairwise Comparison | |||
|---|---|---|---|
| 5-Year DFS | 5-Year OS | ||
| Surgical Margin | p-Value | Surgical Margin | p-Value | 
| Clear vs. close | 0.213 | Clear vs. close | 0.824 | 
| Close vs. positive | 0.034 * | Close vs. positive | 0.001 * | 
| Clear vs. positive | <0.001 * | Clear vs. positive | <0.001 * | 
| Parameter | Number of Patients (%) | 5-Year DFS (SD) | p-Value | 5-Year OS (SD) | p-Value | |
|---|---|---|---|---|---|---|
| Age (years) | <65 | 278 (66.5) | 80.1 (2.7) | <0.001 * | 90.5 (2.5) | <0.001 * | 
| ≥65 | 140 (33.5) | 59.9 (5.1) | 62.9 (4.8) | |||
| Primary site | Oral cavity | 241 (57.7) | 72.0 (3.3) | 0.273 | 74.4 (3.2) | 0.570 | 
| Oropharynx | 177 (42.3) | 75.8 (3.7) | 78.0 (3.4) | |||
| T stage | T 1/2 | 319 (76.3) | 80.5 (2.5) | <0.001 * | 92.1 (2.4) | 0.001 * | 
| T 3/4 | 99 (23.7) | 52.2 (5.9) | 67.5 (5.8) | |||
| N stage | N 0/1 | 294 (70.3) | 77.0 (2.8) | 0.007 * | 80.6 (2.6) | 0.024 * | 
| N 2/3 | 124 (29.7) | 66.6 (4.6) | 74.6 (4.8) | |||
| Treatment | Surgery only | 202 (48.3) | 77.1 (3.4) | 0.129 | 83.0 (3.0) | 0.005 * | 
| Surgery + adjuvant therapy | 216 (51.7) | 70.6 (3.5) | 71.4 (3.5) | |||
| Surgical margin | Clear | 290 (69.4) | 79.3 (3.4) | <0.001 * | 79.4 (2.6) | 0.004 * | 
| Close and positive | 128 (30.6) | 59.1 (4.8) | 67.7 (4.7) | |||
| Clear and close | 351(84.0) | 76.7 (2.9) | <0.001 * | 80.2 (2.4) | <0.001 * | |
| Positive | 67 (16.0) | 53.2 (6.1) | 52.3 (6.0) | |||
| PNI | (−) | 311 (74.4) | 77.5 (2.9) | 0.009 * | 80.1 (2.5) | 0.001 * | 
| (+) | 65 (15.6) | 60.7 (6.2) | 55.8 (6.5) | |||
| N/A | 42(10.0) | |||||
| Lymphatic invasion | (−) | 232 (55.5) | 76.9 (2.9) | 0.106 | 77.5 (2.6) | 0.162 | 
| (+) | 147 (35.2) | 69.2 (4.2) | 73.4 (4.1) | |||
| N/A | 39 (9.3) | |||||
| Vascular invasion | (−) | 349 (83.5) | 76.0 (2.7) | 0.001 * | 77.0 (2.4) | 0.038 * | 
| (+) | 25 (6.0) | 51.6 (8.4) | 61.2 (8.5) | |||
| N/A | 44 (10.5) | |||||
| P16 | (−) | 183 (43.8) | 74.6 (3.7) | 0.231 | 71.5 (3.3) | 0.030 * | 
| (+) | 174 (41.6) | 80.3 (3.4) | 83.5 (3.1) | |||
| N/A | 61 (14.6) | |||||
| Parameter | 5-Year DFS | 5-Year OS | |||||
|---|---|---|---|---|---|---|---|
| HR | 95% CI | p-Value | HR | 95% CI | p-Value | ||
| Older age | ≥65 | 2.138 | 1.403–3.259 | 0.001 * | 2.251 | 1.451–3.490 | 0.001 * | 
| Advanced T stage | T3/4 | 2.717 | 1.391–5.309 | 0.003 * | 1.672 | 0.979–2.858 | 0.050 * | 
| Advanced N stage | N2/3 | 1.515 | 0.960–2.391 | 0.075 | 1.523 | 0.948–2.447 | 0.082 | 
| Adjuvant treatment | 1.650 | 0.882–3.089 | 0.117 | ||||
| Surgical margin | Close | 1.535 | 0.913–2.581 | 0.106 | 0.760 | 0.384–1.507 | 0.432 | 
| Positive | 1.763 | 1.030–3.017 | 0.039 * | 1.826 | 1.076–3.098 | 0.026 * | |
| PNI | 1.568 | 0.899–2.736 | 0.113 | 1.734 | 0.950–3.167 | 0.073 | |
| Vascular invasion | 1.575 | 0.779–3.184 | 0.206 | 0.886 | 0.340–2.305 | 0.803 | |
| P16 | 0.682 | 0.401–1.158 | 0.156 | ||||
| Publisher’s Note: MDPI stays neutral with regard to jurisdictional claims in published maps and institutional affiliations. | 
© 2022 by the authors. Licensee MDPI, Basel, Switzerland. This article is an open access article distributed under the terms and conditions of the Creative Commons Attribution (CC BY) license (https://creativecommons.org/licenses/by/4.0/).
Share and Cite
Lee, D.-H.; Kim, G.-J.; Kim, H.-B.; Shin, H.-I.; Kim, C.-S.; Nam, I.-C.; Cho, J.-H.; Joo, Y.-H.; Cho, K.-J.; Sun, D.-I.; et al. Close Surgical Margins in Oral and Oropharyngeal Cancer: Do They Impact Prognosis? Cancers 2022, 14, 2990. https://doi.org/10.3390/cancers14122990
Lee D-H, Kim G-J, Kim H-B, Shin H-I, Kim C-S, Nam I-C, Cho J-H, Joo Y-H, Cho K-J, Sun D-I, et al. Close Surgical Margins in Oral and Oropharyngeal Cancer: Do They Impact Prognosis? Cancers. 2022; 14(12):2990. https://doi.org/10.3390/cancers14122990
Chicago/Turabian StyleLee, Dong-Hyun, Geun-Jeon Kim, Hyun-Bum Kim, Hyun-Il Shin, Choung-Soo Kim, Inn-Chul Nam, Jung-Hae Cho, Young-Hoon Joo, Kwang-Jae Cho, Dong-Il Sun, and et al. 2022. "Close Surgical Margins in Oral and Oropharyngeal Cancer: Do They Impact Prognosis?" Cancers 14, no. 12: 2990. https://doi.org/10.3390/cancers14122990
APA StyleLee, D.-H., Kim, G.-J., Kim, H.-B., Shin, H.-I., Kim, C.-S., Nam, I.-C., Cho, J.-H., Joo, Y.-H., Cho, K.-J., Sun, D.-I., Park, Y.-H., & Park, J.-O. (2022). Close Surgical Margins in Oral and Oropharyngeal Cancer: Do They Impact Prognosis? Cancers, 14(12), 2990. https://doi.org/10.3390/cancers14122990
 
         
                                                

 
       