Novel Nomograms-Based Prediction Models for Patients with Primary Undifferentiated Pleomorphic Sarcomas Resections
Abstract
Simple Summary
Abstract
1. Introduction
2. Materials and Methods
2.1. Patients
2.2. Pathological Examinations
2.3. Follow-up Data
2.4. Statistical Analysis
2.5. Construction of the Nomograms
2.6. Elaboration of the Nomograms and Calibration Curves
2.7. Construction of Risk Stratification System
3. Results
3.1. Patient Characteristics
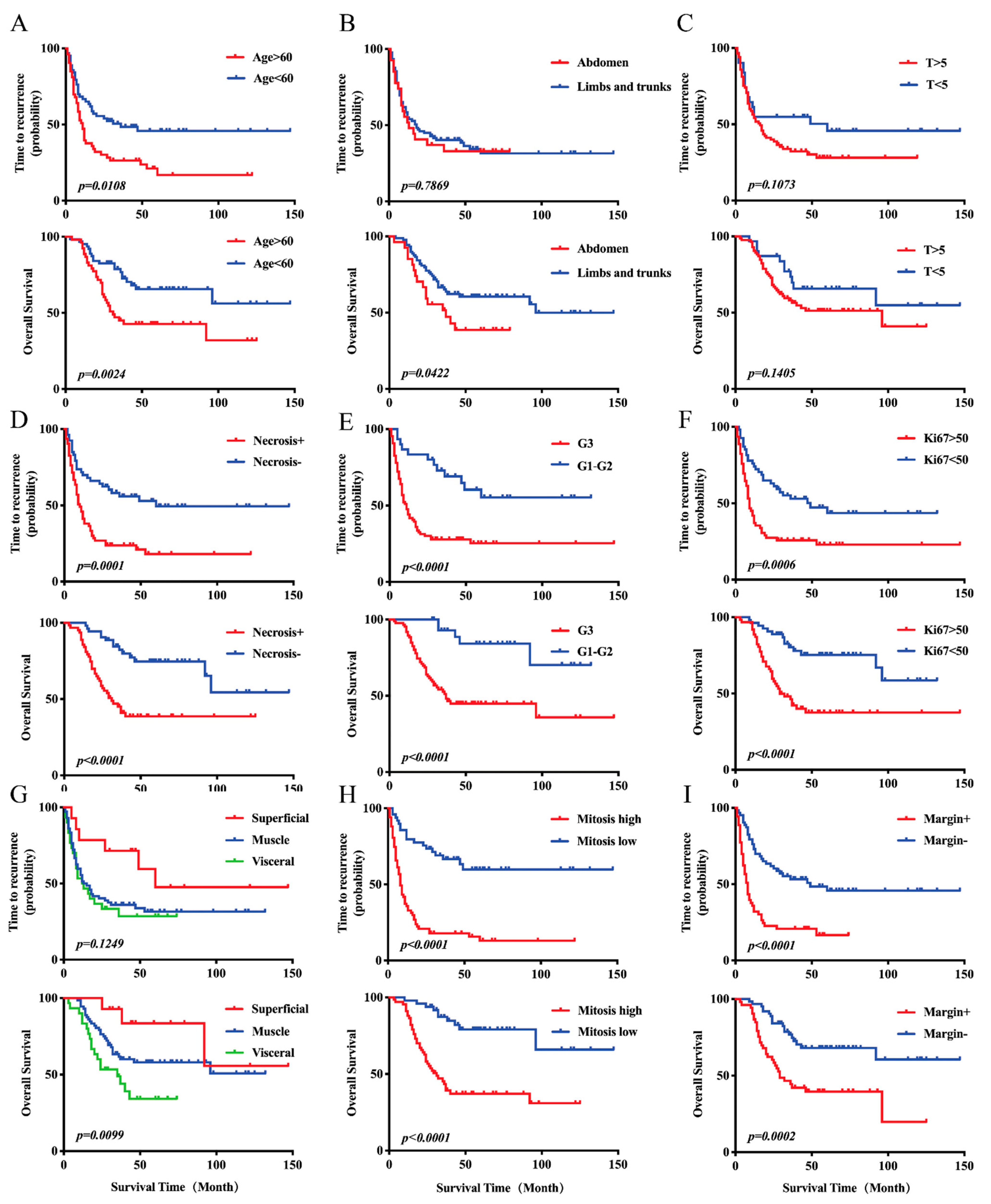
3.2. Kaplan–Meier Curves of TTR and OS
3.3. Univariate and Multivariate Analyses of UPS Patients
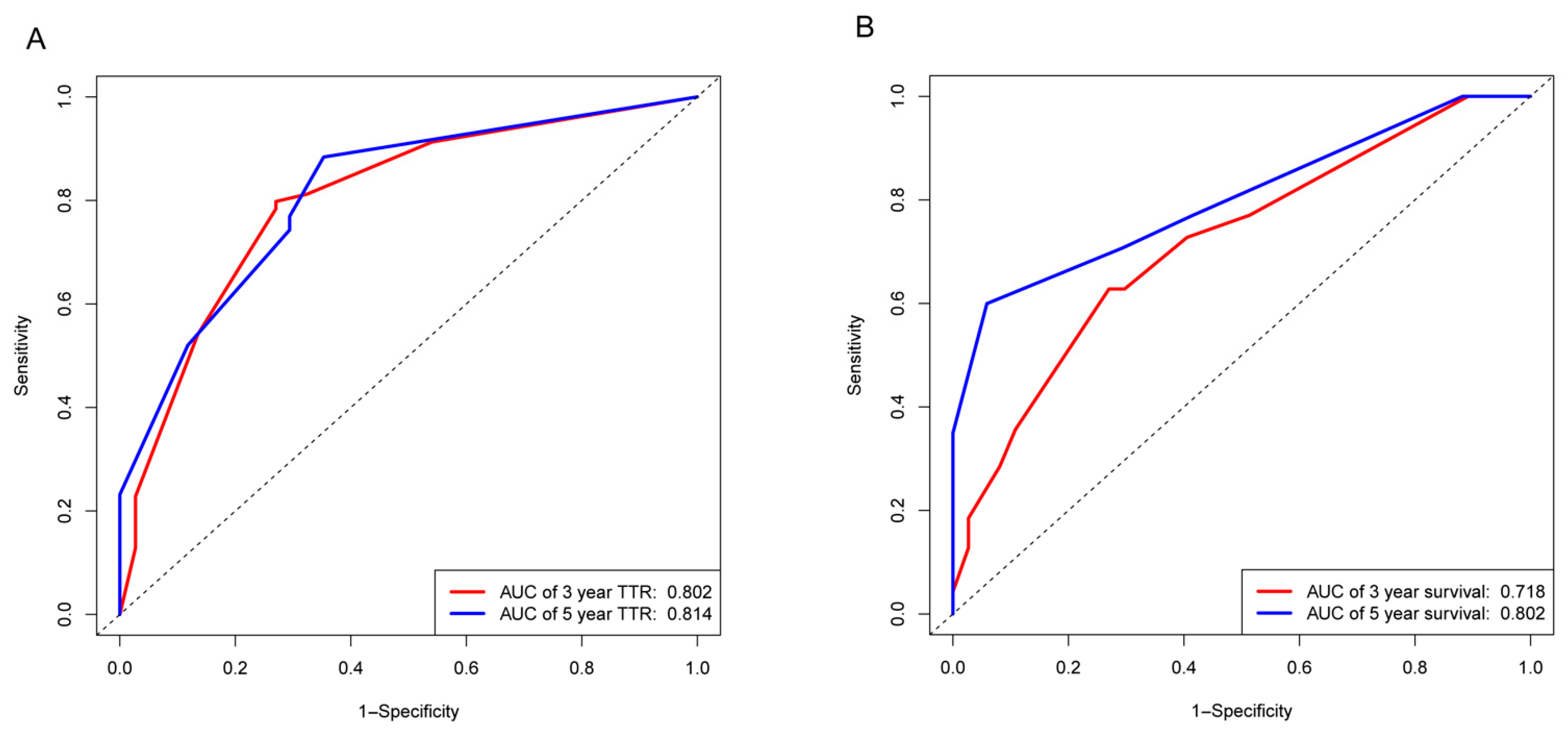
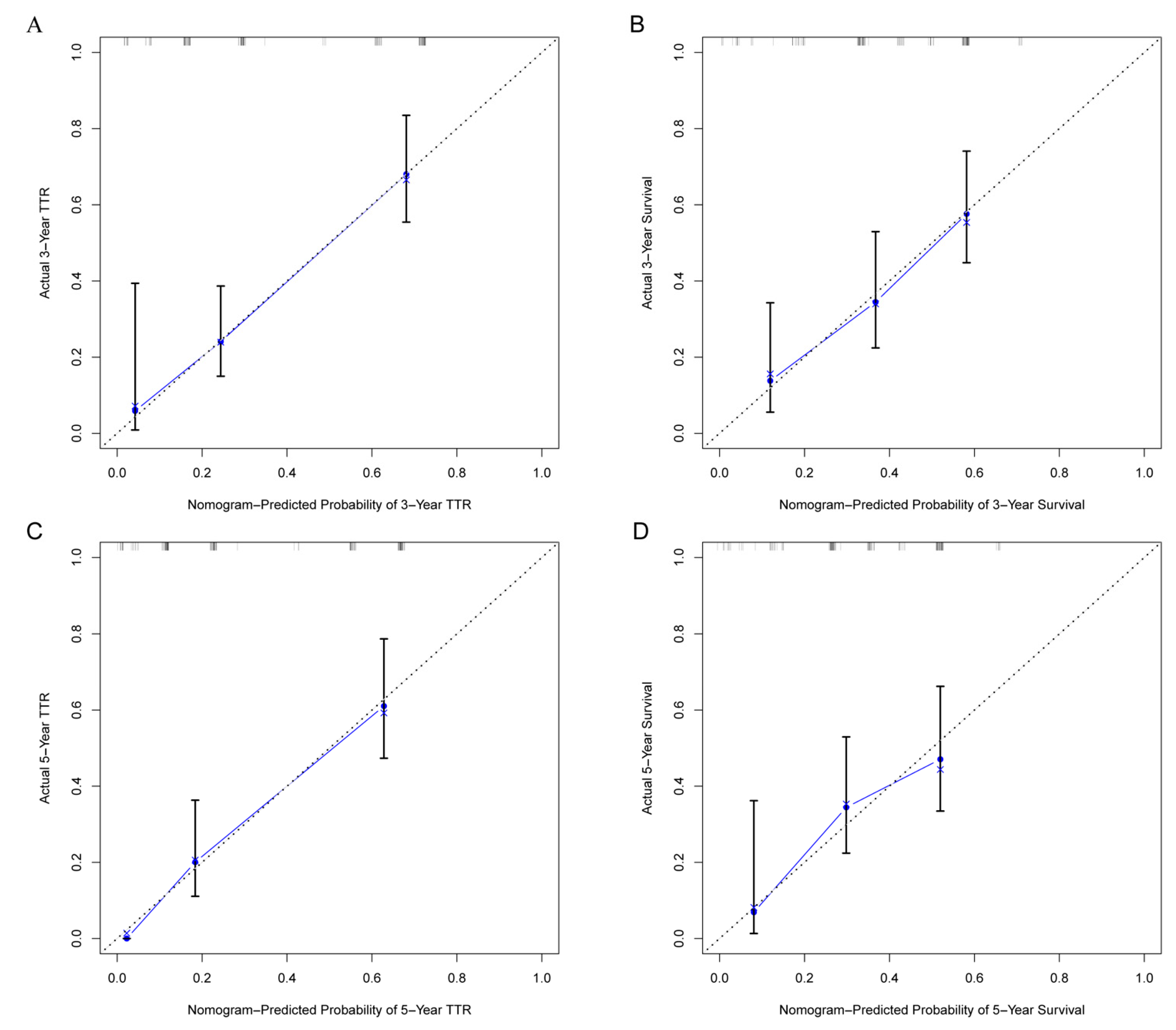
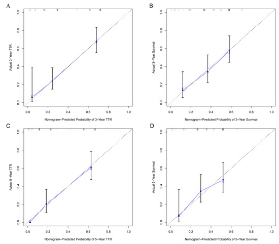
3.4. Nomogram Development and Validation
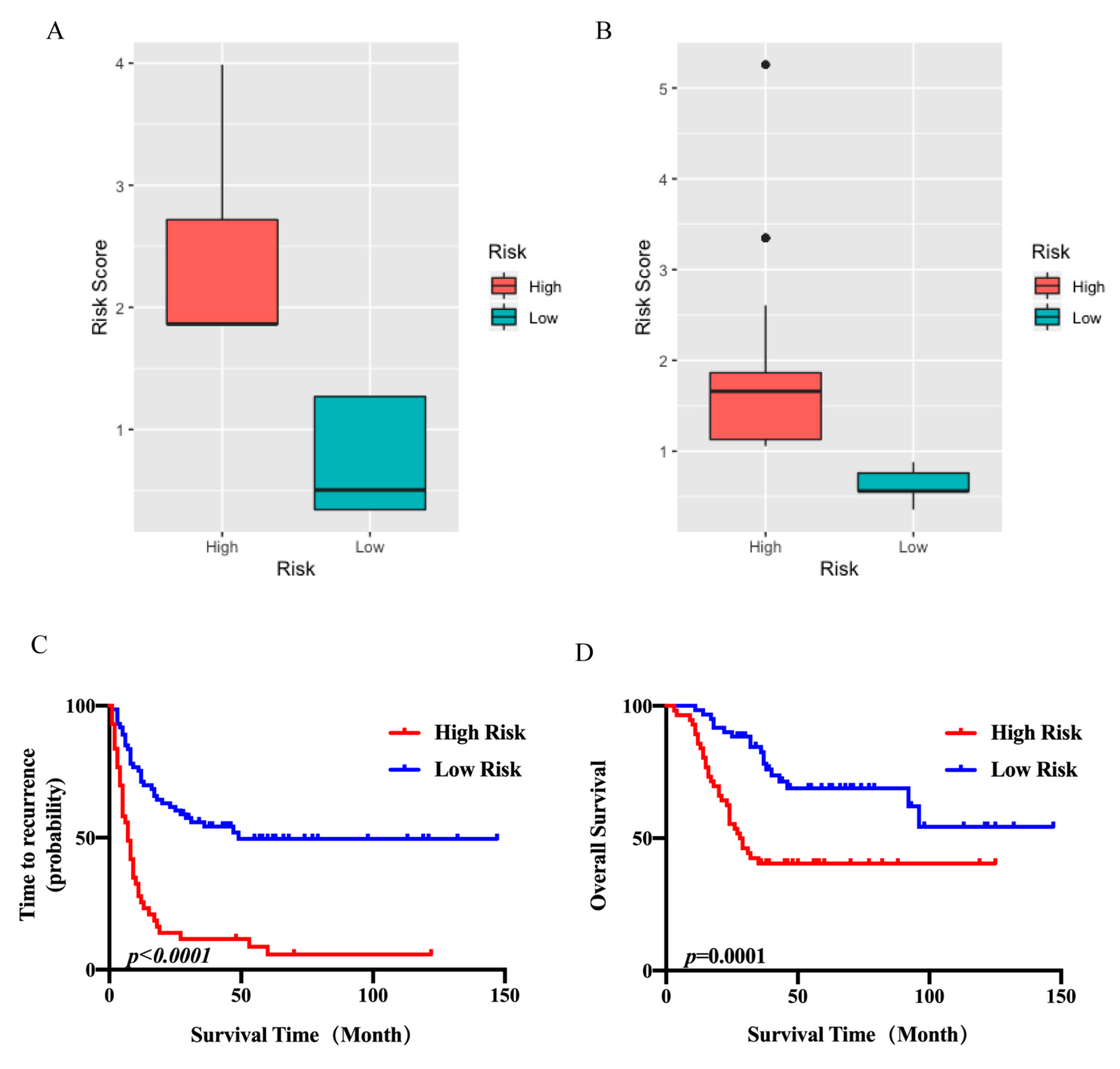
3.5. Risk Stratification System
4. Discussion
5. Conclusions
Author Contributions
Funding
Institutional Review Board Statement
Informed Consent Statement
Data Availability Statement
Conflicts of Interest
References
- Fletcher, C.D.; Bridge, J.A.; Hogendoorn, P.; Mertens, C. WHO Classification of Tumours of Soft Tissue and Bone, 4th ed.; IARC Press: Lyon, France, 2013; Volume 5. [Google Scholar]
- Singer, S.; Demetri, G.D.; Baldini, E.H.; Fletcher, C.D. Management of Soft-Tissue Sarcomas: An Overview and Update. Lancet Oncol. 2000, 1, 75–85. [Google Scholar] [CrossRef]
- Siegel, R.L.; Miller, K.D.; Jemal, A. Cancer Statistics, 2016. CA Cancer J. Clin. 2016, 66, 7–30. [Google Scholar] [CrossRef] [PubMed]
- Le Doussal, V.; Coindre, J.M.; Leroux, A.; Hacene, K.; Terrier, P.; Bui, N.B.; Bonichon, F.; Collin, F.; Mandard, A.M.; Contesso, G. Prognostic Factors for Patients with Localized Primary Malignant Fibrous Histiocytoma: A Multicenter Study of 216 Patients with Multivariate Analysis. Cancer 1996, 77, 1823–1830. [Google Scholar] [CrossRef]
- Henderson, M.T.; Hollmig, S.T. Malignant Fibrous Histiocytoma: Changing Perceptions and Management Challenges. J. Am. Acad. Dermatol. 2012, 67, 1335–1341. [Google Scholar] [CrossRef] [PubMed]
- Folpe, A.L.; Fletche, C.D.M.; Unni, K.; Epstein, J. Pathology and Genetics of Tumours of Soft Tissues and Bone, 3rd ed.; IARC Press: Lyon, France, 2002. [Google Scholar]
- Coindre, J.M.; Mariani, O.; Chibon, F.; Mairal, A.; De Saint Aubain Somerhausen, N.; Favre-Guillevin, E.; Bui, N.B.; Stoeckle, E.; Hostein, I.; Aurias, A. Most Malignant Fibrous Histiocytomas Developed in the Retroperitoneum are Dedifferentiated Liposarcomas: A Review of 25 Cases Initially Diagnosed as Malignant Fibrous Histiocytoma. Mod. Pathol. 2003, 16, 256–262. [Google Scholar] [CrossRef] [PubMed]
- Guillou, L.; Aurias, A. Soft Tissue Sarcomas with Complex Genomic Profiles. Virchows Arch. 2010, 456, 201–217. [Google Scholar] [CrossRef] [PubMed]
- Kelleher, F.C.; Viterbo, A. Histologic and Genetic Advances in Refining the Diagnosis of Undifferentiated Pleomorphic Sarcoma. Cancers 2013, 5, 218–233. [Google Scholar] [CrossRef] [PubMed]
- Cancer Genome Atlas Research Network. Comprehensive and Integrated Genomic Characterization of Adult Soft Tissue Sarcomas. Cell 2017, 171, 950–965.e28. [Google Scholar] [CrossRef] [PubMed]
- Steele, C.D.; Tarabichi, M.; Oukrif, D.; Webster, A.P.; Ye, H.; Fittall, M.; Lombard, P.; Martincorena, I.; Tarpey, P.S.; Collord, G.; et al. Undifferentiated Sarcomas Develop through Distinct Evolutionary Pathways. Cancer Cell 2019, 35, 441–456.e8. [Google Scholar] [CrossRef] [PubMed]
- O’Connor, M.I.; Pritchard, D.J.; Gunderson, L.L. Integration of Limb-Sparing Surgery, Brachytherapy, and External-Beam Irradiation in the Treatment of Soft-Tissue Sarcomas. Clin. Orthop. Relat. Res. 1993, 73–80. [Google Scholar] [CrossRef]
- O’Sullivan, B.; Davis, A.M.; Turcotte, R.; Bell, R.; Catton, C.; Chabot, P.; Wunder, J.; Kandel, R.; Goddard, K.; Sadura, A.; et al. Preoperative Versus Postoperative Radiotherapy in Soft-Tissue Sarcoma of the Limbs: A Randomised Trial. Lancet 2002, 359, 2235–2241. [Google Scholar] [CrossRef]
- Davis, A.M.; O’Sullivan, B.; Turcotte, R.; Bell, R.; Catton, C.; Chabot, P.; Wunder, J.; Hammond, A.; Benk, V.; Kandel, R.; et al. Late Radiation Morbidity Following Randomization to Preoperative Versus Postoperative Radiotherapy in Extremity Soft Tissue Sarcoma. Radiother. Oncol. 2005, 75, 48–53. [Google Scholar] [CrossRef] [PubMed]
- Antman, K.H. Adjuvant Therapy of Sarcomas of Soft Tissue. Semin. Oncol. 1997, 24, 556–560. [Google Scholar] [PubMed]
- Movva, S.; von Mehren, M.; Ross, E.A.; Handorf, E. Patterns of Chemotherapy Administration in High-Risk Soft Tissue Sarcoma and Impact on Overall Survival. J. Natl. Compr. Canc. Netw. 2015, 13, 1366–1374. [Google Scholar] [CrossRef]
- Woll, P.J.; Reichardt, P.; Le Cesne, A.; Bonvalot, S.; Azzarelli, A.; Hoekstra, H.J.; Leahy, M.; Van Coevorden, F.; Verweij, J.; Hogendoorn, P.C.; et al. Adjuvant Chemotherapy with Doxorubicin, Ifosfamide, and Lenograstim for Resected Soft-Tissue Sarcoma (EORTC 62931): A Multicentre Randomised Controlled Trial. Lancet Oncol. 2012, 13, 1045–1054. [Google Scholar] [CrossRef]
- Tawbi, H.A.; Burgess, M.; Bolejack, V.; Van Tine, B.A.; Schuetze, S.M.; Hu, J.; D’Angelo, S.; Attia, S.; Riedel, R.F.; Priebat, D.A.; et al. Pembrolizumab in Advanced Soft-Tissue Sarcoma and Bone Sarcoma (SARC028): A Multicentre, Two-Cohort, Single-Arm, Open-Label, Phase 2 Trial. Lancet Oncol. 2017, 18, 1493–1501. [Google Scholar] [CrossRef]
- Savina, M.; Le Cesne, A.; Blay, J.Y.; Ray-Coquard, I.; Mir, O.; Toulmonde, M.; Cousin, S.; Terrier, P.; Ranchere-Vince, D.; Meeus, P.; et al. Patterns of care and outcomes of patients with METAstatic soft tissue SARComa in a real-life setting: The METASARC Observational Study. BMC Med. 2017, 15, 78. [Google Scholar] [CrossRef] [PubMed]
- Weitz, J.; Antonescu, C.R.; Brennan, M.F. Localized Extremity Soft Tissue Sarcoma: Improved Knowledge with Unchanged Survival Over Time. J. Clin. Oncol. 2003, 21, 2719–2725. [Google Scholar] [CrossRef] [PubMed]
- Vodanovich, D.A.; Spelman, T.; May, D.; Slavin, J.; Choong, P.F.M. Predicting the Prognosis of Undifferentiated Pleomorphic Soft Tissue Sarcoma: A 20-Year Experience of 266 Cases. ANZ J. Surg. 2019, 89, 1045–1050. [Google Scholar] [CrossRef]
- Fletcher, C.D.; Gustafson, P.; Rydholm, A.; Willén, H.; Akerman, M. Clinicopathologic Re-Evaluation of 100 Malignant Fibrous Histiocytomas: Prognostic Relevance of Subclassification. J. Clin. Oncol. 2001, 19, 3045–3050. [Google Scholar] [CrossRef] [PubMed]
- Dineen, S.P.; Roland, C.L.; Feig, R.; May, C.; Zhou, S.; Demicco, E.; Sannaa, G.A.; Ingram, D.; Wang, W.L.; Ravi, V.; et al. Radiation-Associated Undifferentiated Pleomorphic Sarcoma is Associated with Worse Clinical Outcomes than Sporadic Lesions. Ann. Surg. Oncol. 2015, 22, 3913–3920. [Google Scholar] [CrossRef]
- Goertz, O.; Pieper, A.; Lohe, L.V.; Stricker, I.; Dadras, M.; Behr, B.; Lehnhardt, M.; Harati, K. The Impact of Surgical Margins and Adjuvant Radiotherapy in Patients with Undifferentiated Pleomorphic Sarcomas of the Extremities: A Single-Institutional Analysis of 192 Patients. Cancers 2020, 12, 362. [Google Scholar] [CrossRef]
- Roland, C.L.; May, C.D.; Watson, K.L.; Al Sannaa, G.A.; Dineen, S.P.; Feig, R.; Landers, S.; Ingram, D.R.; Wang, W.L.; Guadagnolo, B.A.; et al. Analysis of Clinical and Molecular Factors Impacting Oncologic Outcomes in Undifferentiated Pleomorphic Sarcoma. Ann. Surg. Oncol. 2016, 23, 2220–2228. [Google Scholar] [CrossRef]
- Hsu, H.C.; Huang, E.Y.; Wang, C.J. Treatment Results and Prognostic Factors in Patients with Malignant Fibrous Histiocytoma. Acta Oncol. 2004, 43, 530–535. [Google Scholar] [CrossRef]
- Lehnhardt, M.; Daigeler, A.; Homann, H.H.; Schwaiberger, V.; Goertz, O.; Kuhnen, C.; Steinau, H.U. MFH Revisited: Outcome After Surgical Treatment of Undifferentiated Pleomorphic or not Otherwise Specified (NOS) Sarcomas of the Extremities-n Analysis of 140 Patients. Langenbecks Arch. Surg. 2009, 394, 313–320. [Google Scholar] [CrossRef]
- Peiper, M.; Zurakowski, D.; Knoefel, W.T.; Izbicki, J.R. Malignant Fibrous Histiocytoma of the Extremities and Trunk: An Institutional Review. Surgery 2004, 135, 59–66. [Google Scholar] [CrossRef]
- Ozcelik, M.; Seker, M.; Eraslan, E.; Koca, S.; Yazilitas, D.; Ercelep, O.; Ozaslan, E.; Kaya, S.; Hacibekiroglu, I.; Menekse, S.; et al. Evaluation of Prognostic Factors in Localized High-Grade Undifferentiated Pleomorphic Sarcoma: Report of a Multi-Institutional Experience of Anatolian Society of Medical Oncology. Tumour Biol. 2016, 37, 5231–5237. [Google Scholar] [CrossRef]
- Lee, K.; Song, J.S.; Kim, J.E.; Kim, W.; Song, S.Y.; Lee, M.H.; Chung, H.W.; Cho, K.J.; Lee, J.S.; Ahn, J.H. The Clinical Outcomes of Undifferentiated Pleomorphic Sarcoma (UPS): A Single-Centre Experience of Two Decades with the Assessment of PD-L1 Expressions. Eur. J. Surg. Oncol. 2020, 46, 1287–1293. [Google Scholar] [CrossRef]
- Xie, D.; Allen, M.S.; Marks, R.; Jiang, G.; Sun, Z.; Nichols, F.; Zhang, M.; Chen, C.; Aubry, M.C.; Jatoi, A.; et al. Nomogram Prediction of Overall Survival for Patients with Non-Small-Cell Lung Cancer Incorporating Pretreatment Peripheral Blood Markers. Eur. J. Cardiothorac. Surg. 2018, 53, 1214–1222. [Google Scholar] [CrossRef]
- Li, K.; Wang, R.; Huang, S.; Pan, X.; Chen, H.; Zhou, L.; Wei, J.; Wu, C.; Zhu, X.; Liang, S.; et al. Prognostic Nomogram for Overall Survival in Extranodal Natural Killer/T-Cell Lymphoma Patients. Clin. Lymphoma Myeloma Leuk 2018, 18, e537–e543. [Google Scholar] [CrossRef]
- Hang, J.; Wu, L.; Zhu, L.; Sun, Z.; Wang, G.; Pan, J.; Zheng, S.; Xu, K.; Du, J.; Jiang, H. Prediction of Overall Survival for Metastatic Pancreatic Cancer: Development and Validation of a Prognostic Nomogram with Data from Open Clinical Trial and Real-World Study. Cancer Med. 2018, 7, 2974–2984. [Google Scholar] [CrossRef]
- Wang, W.; Sun, Z.; Deng, J.Y.; Qi, X.L.; Feng, X.Y.; Fang, C.; Ma, X.H.; Wang, Z.N.; Liang, H.; Xu, H.M.; et al. A Novel Nomogram Individually Predicting Disease-Specific Survival After D2 Gastrectomy for Advanced Gastric cancer. Cancer Commun. 2018, 38, 23. [Google Scholar] [CrossRef] [PubMed]
- Chen, J.; Fang, A.; Chen, M.; Tuoheti, Y.; Zhou, Z.; Xu, L.; Chen, J.; Pan, Y.; Wang, J.; Zhu, H.; et al. A Novel Inflammation-Based Nomogram System to Predict Survival of Patients with Hepatocellular Carcinoma. Cancer Med. 2018, 7, 5027–5035. [Google Scholar] [CrossRef] [PubMed]
- Kong, X.; Li, J.; Cai, Y.; Tian, Y.; Chi, S.; Tong, D.; Hu, Y.; Yang, Q.; Li, J.; Poston, G.; et al. A Modified TNM Staging System for Non-Metastatic Colorectal Cancer Based on Nomogram Analysis of SEER Database. BMC Cancer 2018, 18, 50. [Google Scholar] [CrossRef] [PubMed]
- Pan, J.J.; Ng, W.T.; Zong, J.F.; Lee, S.W.; Choi, H.C.; Chan, L.L.; Lin, S.J.; Guo, Q.J.; Sze, H.C.; Chen, Y.B.; et al. Prognostic Nomogram for Refining the Prognostication of the Proposed 8th Edition of the AJCC/UICC Staging System for Nasopharyngeal Cancer in the Era of Intensity-Modulated Radiotherapy. Cancer 2016, 122, 3307–3315. [Google Scholar] [CrossRef] [PubMed]





| Variables | No. (%) |
|---|---|
| Gender | |
| Male | 56 (48%) |
| Female | 60 (52%) |
| Age (years) | |
| <60 | 63 (54%) |
| ≥60 | 53 (46%) |
| Site | |
| Extremities and Trunks | 89 (77%) |
| Abdomen and others | 27 (23%) |
| Tumor size (cm) | |
| <5 | 31 (27%) |
| ≥5 | 85 (73%) |
| Mitosis | |
| Low | 49 (42%) |
| High | 67 (58%) |
| Necrosis | |
| Positive | 53 (46%) |
| Negative | 63 (54%) |
| Ki-67 | |
| <50% | 54 (47%) |
| ≥50% | 62 (53%) |
| Invasive depth | |
| Superficial | 14 (12%) |
| Muscle | 72 (62%) |
| Visceral | 30 (26%) |
| FNCLCC grade | |
| G3 | 84 (72%) |
| G1 and G2 | 32 (28%) |
| Surgical margin | |
| Positive | 21 (18%) |
| Negative | 95 (82%) |
| Recurrence | |
| Yes | 75 (65%) |
| No | 41 (35%) |
| Death | |
| Yes | 51 (44%) |
| No | 65 (56%) |
| Variable | Univariate Analysis | Multivariate Analysis | ||||
|---|---|---|---|---|---|---|
| HR | 95%CI | p | HR | 95%CI | p | |
| Gender | ||||||
| Male vs. Female | 0.920 | 0.531–1.593 | 0.765 | |||
| Age (years) | ||||||
| <60 vs. ≥60 | 2.280 | 1.297–4.009 | 0.004 | 2.017 | 1.131–3.597 | 0.017 |
| Site | ||||||
| Extremities and Trunks vs. Abdomen and others | 1.834 | 1.009–3.334 | 0.047 | 1.287 | 0.637–2.601 | 0.482 |
| Tumor size (cm) | ||||||
| <5 vs. ≥5 | 1.643 | 0.840–3.213 | 0.147 | |||
| Mitosis | ||||||
| Low vs. High | 4.553 | 2.271–9.128 | 0.000 | 1.586 | 0.660–3.811 | 0.302 |
| Necrosis | ||||||
| Positive vs. Negative | 3.258 | 1.755–6.047 | 0.000 | 1.547 | 0.764–3.132 | 0.226 |
| Ki-67 | ||||||
| <50% vs. ≥50% | 0.553 | 0.405–0.754 | 0.000 | 0.800 | 0.561–1.142 | 0.219 |
| Invasive depth | ||||||
| Superficial vs. Muscle vs. Visceral | 2.051 | 1.274–3.301 | 0.003 | 1.772 | 1.054–2.981 | 0.031 |
| FNCLCC grade | ||||||
| G3 vs. G1 and G2 | 4.886 | 1.934–12.343 | 0.001 | 2.050 | 0.711–5.914 | 0.184 |
| Surgical margin | ||||||
| Positive vs. Negative | 2.327 | 1.209–4.478 | 0.011 | 1.850 | 0.918–3.727 | 0.085 |
| SMA | ||||||
| Positive vs. Negative | 1.045 | 0.782–1.395 | 0.767 | |||
| Variable | Univariate Analysis | Multivariate Analysis | ||||
|---|---|---|---|---|---|---|
| HR | 95%CI | p | HR | 95%CI | p | |
| Gender | ||||||
| Male vs. Female | 1.124 | 0.714–1.772 | 0.631 | |||
| Age (years) | ||||||
| <60 vs. ≥60 | 1.931 | 1.221–3.053 | 0.005 | 1.456 | 0.910–2.331 | 0.117 |
| Site | ||||||
| Extremities and Trunks vs. Abdomen and others | 1.075 | 0.632–1.827 | 0.791 | |||
| Tumor size (cm) | ||||||
| <5 vs. ≥5 | 1.561 | 0.895–2.723 | 0.116 | |||
| Mitosis | ||||||
| Low vs. High | 4.290 | 2.503–7.355 | 0.000 | 2.993 | 1.482–6.046 | 0.002 |
| Necrosis | ||||||
| Positive vs. Negative | 2.487 | 1.529–4.046 | 0.000 | 1.047 | 0.585–1.875 | 0.877 |
| Ki-67 | ||||||
| <50% vs. ≥50% | 0.674 | 0.532–0.854 | 0.001 | 0.920 | 0.701–1.207 | 0.547 |
| Invasive depth | ||||||
| Superficial vs. Muscle vs. Visceral | 1.389 | 0.964–2.002 | 0.078 | |||
| FNCLCC grade | ||||||
| G3 vs. G1 and G2 | 3.075 | 1.647–5.741 | 0.000 | 1.207 | 0.557–2.612 | 0.634 |
| Surgical margin | ||||||
| Positive vs. Negative | 2.849 | 1.682–4.828 | 0.000 | 2.076 | 1.193–3.611 | 0.010 |
| SMA | ||||||
| Positive vs. Negative | 1.327 | 0.807–2.183 | 0.265 | |||
Publisher’s Note: MDPI stays neutral with regard to jurisdictional claims in published maps and institutional affiliations. |
© 2021 by the authors. Licensee MDPI, Basel, Switzerland. This article is an open access article distributed under the terms and conditions of the Creative Commons Attribution (CC BY) license (https://creativecommons.org/licenses/by/4.0/).
Share and Cite
Lin, Q.; Huang, Q.; Wang, Q.; Yan, W.; Sun, Y. Novel Nomograms-Based Prediction Models for Patients with Primary Undifferentiated Pleomorphic Sarcomas Resections. Cancers 2021, 13, 1917. https://doi.org/10.3390/cancers13081917
Lin Q, Huang Q, Wang Q, Yan W, Sun Y. Novel Nomograms-Based Prediction Models for Patients with Primary Undifferentiated Pleomorphic Sarcomas Resections. Cancers. 2021; 13(8):1917. https://doi.org/10.3390/cancers13081917
Chicago/Turabian StyleLin, Qiaowei, Qiuyi Huang, Qifeng Wang, Wangjun Yan, and Yangbai Sun. 2021. "Novel Nomograms-Based Prediction Models for Patients with Primary Undifferentiated Pleomorphic Sarcomas Resections" Cancers 13, no. 8: 1917. https://doi.org/10.3390/cancers13081917
APA StyleLin, Q., Huang, Q., Wang, Q., Yan, W., & Sun, Y. (2021). Novel Nomograms-Based Prediction Models for Patients with Primary Undifferentiated Pleomorphic Sarcomas Resections. Cancers, 13(8), 1917. https://doi.org/10.3390/cancers13081917
