Metabolomic Biomarkers for the Detection of Obesity-Driven Endometrial Cancer
Abstract
Simple Summary
Abstract
1. Introduction
2. Materials and Methods
2.1. Study Population
2.2. Metabolomic Profiling
2.2.1. Sample Preparation
2.2.2. Metabolite Separation and Detection
2.2.3. Metabolite Identification
2.2.4. Data Pre-Processing
2.3. Data Analysis
3. Results
3.1. Participant Demographics
3.2. Metabolomic Analysis of Plasma Samples
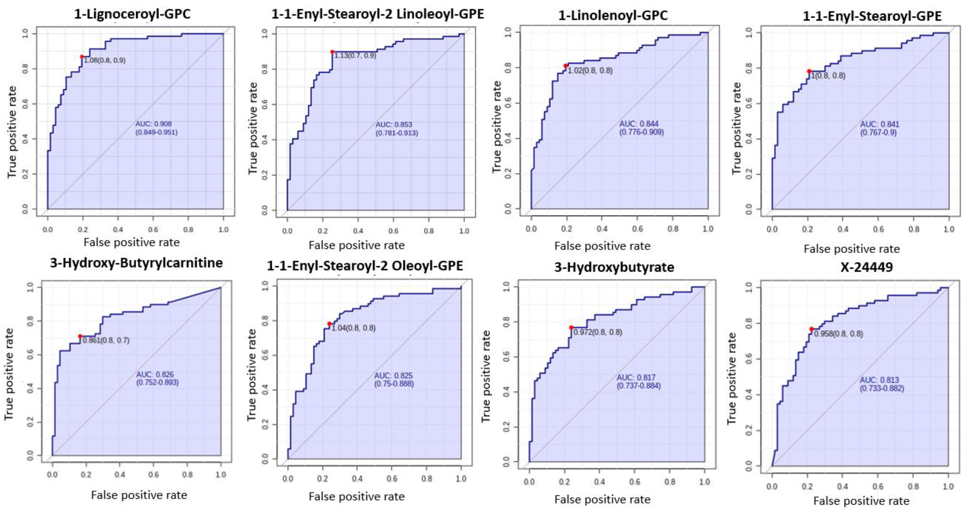
3.3. Metabolomic Analysis for the Detection of Early-Stage Endometrial Cancer
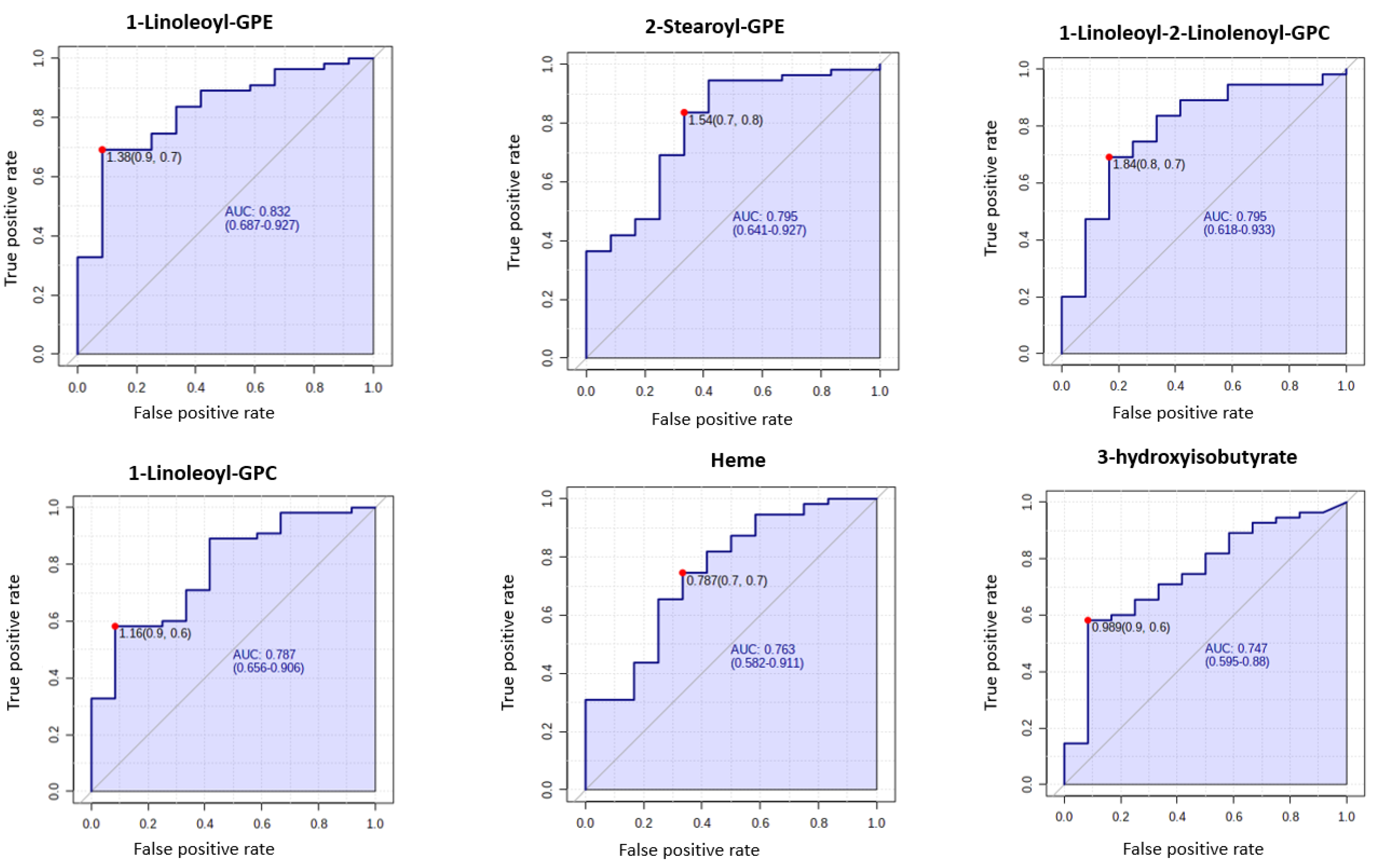
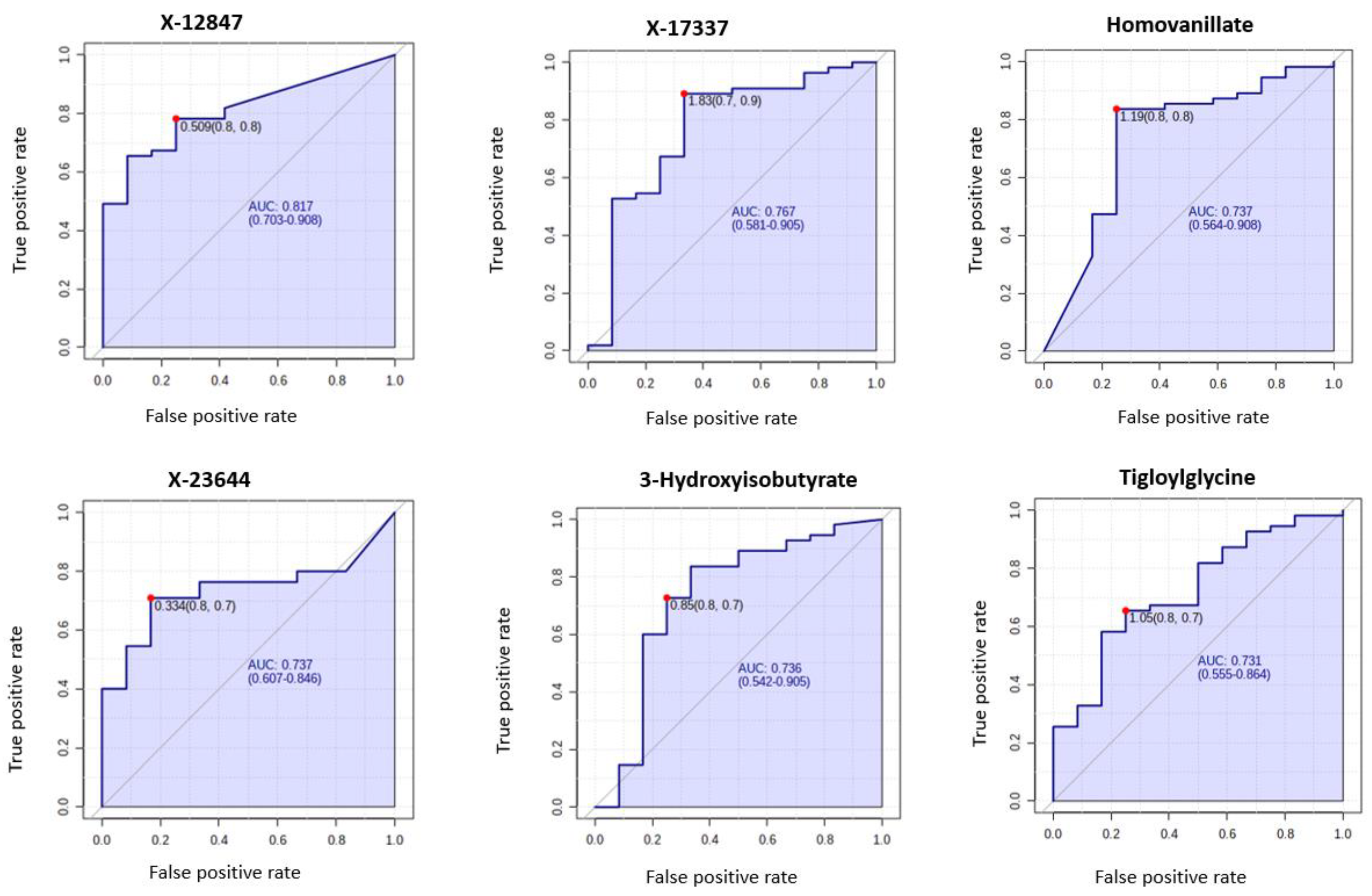
3.4. Metabolomic Biomarkers for Predicting Deep Myometrial Invasion and LVSI
3.5. Consideration of Potential Confounding Factors
4. Discussion
5. Conclusions
Supplementary Materials
Author Contributions
Funding
Institutional Review Board Statement
Informed Consent Statement
Data Availability Statement
Conflicts of Interest
References
- Bray, F.; Ferlay, J.; Soerjomataram, I.; Siegel, R.L.; Torre, L.A.; Jemal, A. Global Cancer Statistics 2018: GLOBOCAN Estimates of Incidence and Mortality Worldwide for 36 Cancers in 185 Countries. CA Cancer J. Clin. 2018, 68, 394–424. [Google Scholar] [CrossRef]
- Crosbie, E.J.; Zwahlen, M.; Kitchener, H.C.; Egger, M.; Renehan, A.G. Body Mass Index, Hormone Replacement Therapy, and Endometrial Cancer Risk: A Meta-Analysis. Cancer Epidemiol. Prev. Biomark. 2010, 19, 3119–3130. [Google Scholar] [CrossRef]
- Onstad, M.A.; Schmandt, R.E.; Lu, K.H. Addressing the Role of Obesity in Endometrial Cancer Risk, Prevention, and Treatment. J. Clin. Oncol. 2016, 34, 4225. [Google Scholar] [CrossRef]
- CRUK. Uterine Cancer Incidence Statistics. 2020. Available online: http://www.Cancerresearchuk.Org.Last (accessed on 1 June 2020).
- Kitson, S.J.; Crosbie, E.J. Endometrial Cancer and Obesity. Obstetrician Gynaecol. 2019, 21, 237–245. [Google Scholar]
- Kaaks, R.; Lukanova, A.; Kurzer, M.S. Obesity, Endogenous Hormones, and Endometrial Cancer Risk: A Synthetic Review. Cancer Epidemiol. Prev. Biomark. 2002, 11, 1531–1543. [Google Scholar]
- Khandekar, M.J.; Cohen, P.; Spiegelman, B.M. Molecular Mechanisms of Cancer Development in Obesity. Nat. Rev. Cancer 2011, 11, 886–895. [Google Scholar] [CrossRef]
- Saed, L.; Varse, F.; Baradaran, H.R.; Moradi, Y.; Khateri, S.; Friberg, E.; Khazaei, Z.; Gharahjeh, S.; Tehrani, S.; Sioofy-Khojine, A.-B. The Effect of Diabetes on the Risk of Endometrial Cancer: An Updated a Systematic Review and Meta-Analysis. BMC Cancer 2019, 19, 527. [Google Scholar] [CrossRef]
- Zhang, Y.; Liu, Z.; Yu, X.; Zhang, X.; Lü, S.; Chen, X.; Lü, B. The Association between Metabolic Abnormality and Endometrial Cancer: A Large Case-Control Study in China. Gynecol. Oncol. 2010, 117, 41–46. [Google Scholar] [CrossRef]
- MacKintosh, M.L.; Derbyshire, A.E.; McVey, R.J.; Bolton, J.; Nickkho-Amiry, M.; Higgins, C.L.; Kamieniorz, M.; Pemberton, P.W.; Kirmani, B.H.; Ahmed, B. The Impact of Obesity and Bariatric Surgery on Circulating and Tissue Biomarkers of Endometrial Cancer Risk. Int. J. Cancer 2019, 144, 641–650. [Google Scholar] [CrossRef] [PubMed]
- Costas, L.; Frias-Gomez, J.; Guardiola, M.; Benavente, Y.; Pineda, M.; Pavón, M.Á.; Martínez, J.M.; Climent, M.; Barahona, M.; Canet, J. New Perspectives on Screening and Early Detection of Endometrial Cancer. Int. J. Cancer 2019, 145, 3194–3206. [Google Scholar] [CrossRef] [PubMed]
- Njoku, K.; Abiola, J.; Russell, J.; Crosbie, E.J. Endometrial Cancer Prevention in High-Risk Women. Best Pract. Res. Clin. Obstet. Gynaecol. 2020, 65, 66–78. [Google Scholar] [CrossRef]
- Gentry-Maharaj, A.; Karpinskyj, C. Current and Future Approaches to Screening for Endometrial Cancer. Best Pract. Res. Clin. Obstet. Gynaecol. 2020, 65, 79–97. [Google Scholar] [CrossRef]
- Wan, Y.L.; Beverley-Stevenson, R.; Carlisle, D.; Clarke, S.; Edmondson, R.J.; Glover, S.; Holland, J.; Hughes, C.; Kitchener, H.C.; Kitson, S. Working Together to Shape the Endometrial Cancer Research Agenda: The Top Ten Unanswered Research Questions. Gynecol. Oncol. 2016, 143, 287–293. [Google Scholar] [CrossRef] [PubMed]
- Njoku, K.; Chiasserini, D.; Jones, E.R.; Barr, C.E.; O’flynn, H.; Whetton, A.D.; Crosbie, E.J. Urinary Biomarkers and Their Potential for the Non-Invasive Detection of Endometrial Cancer. Front. Oncol. 2020, 10, 2420. [Google Scholar] [CrossRef]
- Hasin, Y.; Seldin, M.; Lusis, A. Multi-Omics Approaches to Disease. Genome Biol. 2017, 18, 83. [Google Scholar] [CrossRef]
- Rundle, A.; Ahsan, H.; Vineis, P. Better Cancer Biomarker Discovery through Better Study Design. Eur. J. Clin. Investig. 2012, 42, 1350–1359. [Google Scholar] [CrossRef] [PubMed]
- Njoku, K.; Chiasserini, D.; Whetton, A.D.; Crosbie, E.J. Proteomic Biomarkers for the Detection of Endometrial Cancer. Cancers 2019, 11, 1572. [Google Scholar] [CrossRef]
- Paraskevaidi, M.; Morais, C.L.M.; Ashton, K.M.; Stringfellow, H.F.; McVey, R.J.; Ryan, N.A.J.; O’Flynn, H.; Sivalingam, V.N.; Kitson, S.J.; MacKintosh, M.L. Detecting Endometrial Cancer by Blood Spectroscopy: A Diagnostic Cross-Sectional Study. Cancers 2020, 12, 1256. [Google Scholar] [CrossRef] [PubMed]
- Tolstikov, V.; Moser, A.J.; Sarangarajan, R.; Narain, N.R.; Kiebish, M.A. Current Status of Metabolomic Biomarker Discovery: Impact of Study Design and Demographic Characteristics. Metabolites 2020, 10, 224. [Google Scholar] [CrossRef]
- Pavlova, N.N.; Thompson, C.B. The Emerging Hallmarks of Cancer Metabolism. Cell Metab. 2016, 23, 27–47. [Google Scholar] [CrossRef]
- Njoku, K.; Sutton, C.J.; Whetton, A.D.; Crosbie, E.J. Metabolomic Biomarkers for Detection, Prognosis and Identifying Recurrence in Endometrial Cancer. Metabolites 2020, 10, 314. [Google Scholar] [CrossRef] [PubMed]
- Badrick, E.; Cresswell, K.; Ellis, P.; Crosbie, P.; Hall, P.S.; O’Flynn, H.; Martin, R.; Leighton, J.; Brown, L.; Makin, D. Top Ten Research Priorities for Detecting Cancer Early. Lancet Public Health 2019, 4, e551. [Google Scholar] [CrossRef]
- Kitson, S.J.; Maskell, Z.; Sivalingam, V.N.; Allen, J.L.; Ali, S.; Burns, S.; Gilmour, K.; Latheef, R.; Slade, R.J.; Pemberton, P.W. PRE-Surgical Metformin In Uterine Malignancy (PREMIUM): A Multi-Center, Randomized Double-Blind, Placebo-Controlled Phase III Trial. Clin. Cancer Res. 2019, 25, 2424–2432. [Google Scholar] [CrossRef] [PubMed]
- Sivalingam, V.N.; Kitson, S.; McVey, R.; Roberts, C.; Pemberton, P.; Gilmour, K.; Ali, S.; Renehan, A.G.; Kitchener, H.C.; Crosbie, E.J. Measuring the Biological Effect of Presurgical Metformin Treatment in Endometrial Cancer. Br. J. Cancer 2016, 114, 281–289. [Google Scholar] [CrossRef] [PubMed]
- Cicchillitti, L.; Corrado, G.; De Angeli, M.; Mancini, E.; Baiocco, E.; Patrizi, L.; Zampa, A.; Merola, R.; Martayan, A.; Conti, L. Circulating Cell-Free DNA Content as Blood Based Biomarker in Endometrial Cancer. Oncotarget 2017, 8, 115230. [Google Scholar] [CrossRef]
- Muraki, Y.; Banno, K.; Yanokura, M.; Kobayashi, Y.; Kawaguchi, M.; Nomura, H.; Hirasawa, A.; Susumu, N.; Aoki, D. Epigenetic DNA Hypermethylation: Clinical Applications in Endometrial Cancer. Oncol. Rep. 2009, 22, 967–972. [Google Scholar]
- Laura, M.-R.; Carlos, C.-A.; Miguel, A. Liquid Biopsy in Endometrial Cancer: New Opportunities for Personalized Oncology. Int. J. Mol. Sci. 2018, 19, 2311. [Google Scholar] [CrossRef]
- De Bruyn, C.; Baert, T.; Van den Bosch, T.; Coosemans, A. Circulating Transcripts and Biomarkers in Uterine Tumors: Is There a Predictive Role? Curr. Oncol. Rep. 2020, 22, 12. [Google Scholar] [CrossRef] [PubMed]
- Moore, R.G.; Brown, A.K.; Miller, M.C.; Badgwell, D.; Lu, Z.; Allard, W.J.; Granai, C.O.; Bast Jr, R.C.; Lu, K. Utility of a Novel Serum Tumor Biomarker HE4 in Patients with Endometrioid Adenocarcinoma of the Uterus. Gynecol. Oncol. 2008, 110, 196–201. [Google Scholar] [CrossRef]
- Bracewell-Milnes, T.; Saso, S.; Abdalla, H.; Nikolau, D.; Norman-Taylor, J.; Johnson, M.; Holmes, E.; Thum, M.-Y. Metabolomics as a Tool to Identify Biomarkers to Predict and Improve Outcomes in Reproductive Medicine: A Systematic Review. Hum. Reprod. Update 2017, 23, 723–736. [Google Scholar] [CrossRef]
- Narayanan, S.; Santhoshkumar, A.; Ray, S.; Harihar, S. Reprogramming of Cancer Cell Metabolism: Warburg and Reverse Warburg Hypothesis. In Cancer Cell Metabolism: A Potential Target for Cancer Therapy; Springer: Berlin/Heidelberg, Germany, 2020; pp. 15–26. [Google Scholar]
- Raffone, A.; Troisi, J.; Boccia, D.; Travaglino, A.; Capuano, G.; Insabato, L.; Mollo, A.; Guida, M.; Zullo, F. Metabolomics in Endometrial Cancer Diagnosis: A Systematic Review. Acta Obstet. Gynecol. Scand. 2020, 9, 1135–1146. [Google Scholar] [CrossRef]
- Stewart, J.D.; Marchan, R.; Lesjak, M.S.; Lambert, J.; Hergenroeder, R.; Ellis, J.K.; Lau, C.-H.; Keun, H.C.; Schmitz, G.; Schiller, J. Choline-Releasing Glycerophosphodiesterase EDI3 Drives Tumor Cell Migration and Metastasis. Proc. Natl. Acad. Sci. USA 2012, 109, 8155–8160. [Google Scholar] [CrossRef]
- Jasbi, P.; Wang, D.; Cheng, S.L.; Fei, Q.; Cui, J.Y.; Liu, L.; Wei, Y.; Raftery, D.; Gu, H. Breast Cancer Detection Using Targeted Plasma Metabolomics. J. Chromatogr. B 2019, 1105, 26–37. [Google Scholar] [CrossRef] [PubMed]
- Farshidfar, F.; Weljie, A.M.; Kopciuk, K.A.; Hilsden, R.; McGregor, S.E.; Buie, W.D.; MacLean, A.; Vogel, H.J.; Bathe, O.F. A Validated Metabolomic Signature for Colorectal Cancer: Exploration of the Clinical Value of Metabolomics. Br. J. Cancer 2016, 115, 848–857. [Google Scholar] [CrossRef] [PubMed]
- Kelly, R.S.; Vander Heiden, M.G.; Giovannucci, E.; Mucci, L.A. Metabolomic Biomarkers of Prostate Cancer: Prediction, Diagnosis, Progression, Prognosis, and Recurrence. Cancer Epidemiol. Prev. Biomark. 2016, 25, 887–906. [Google Scholar] [CrossRef] [PubMed]
- Tokarz, J.; Adamski, J.; Lanišnik Rižner, T. Metabolomics for Diagnosis and Prognosis of Uterine Diseases? A Systematic Review. J. Pers. Med. 2020, 10, 294. [Google Scholar] [CrossRef]
- Audet-Delage, Y.; Villeneuve, L.; Grégoire, J.; Plante, M.; Guillemette, C. Identification of Metabolomic Biomarkers for Endometrial Cancer and Its Recurrence after Surgery in Postmenopausal Women. Front. Endocrinol. 2018, 9, 87. [Google Scholar] [CrossRef]
- Cheng, S.-C.; Chen, K.; Chiu, C.-Y.; Lu, K.-Y.; Lu, H.-Y.; Chiang, M.-H.; Tsai, C.-K.; Lo, C.-J.; Cheng, M.-L.; Chang, T.-C. Metabolomic Biomarkers in Cervicovaginal Fluid for Detecting Endometrial Cancer through Nuclear Magnetic Resonance Spectroscopy. Metabolomics 2019, 15, 146. [Google Scholar] [CrossRef]
- Shi, K.; Wang, Q.; Su, Y.; Xuan, X.; Liu, Y.; Chen, W.; Qian, Y.; Lash, G.E. Identification and Functional Analyses of Differentially Expressed Metabolites in Early Stage Endometrial Carcinoma. Cancer Sci. 2018, 109, 1032–1043. [Google Scholar] [CrossRef] [PubMed]
- Knific, T.; Vouk, K.; Smrkolj, Š.; Prehn, C.; Adamski, J.; Rižner, T.L. Models Including Plasma Levels of Sphingomyelins and Phosphatidylcholines as Diagnostic and Prognostic Biomarkers of Endometrial Cancer. J. Steroid Biochem. Mol. Biol. 2018, 178, 312–321. [Google Scholar] [CrossRef] [PubMed]
- Huang, C.; Freter, C. Lipid Metabolism, Apoptosis and Cancer Therapy. Int. J. Mol. Sci. 2015, 16, 924–949. [Google Scholar] [CrossRef]
- Casares, D.; Escribá, P.V.; Rosselló, C.A. Membrane Lipid Composition: Effect on Membrane and Organelle Structure, Function and Compartmentalization and Therapeutic Avenues. Int. J. Mol. Sci. 2019, 20, 2167. [Google Scholar] [CrossRef] [PubMed]
- Sonkar, K.; Ayyappan, V.; Tressler, C.M.; Adelaja, O.; Cai, R.; Cheng, M.; Glunde, K. Focus on the Glycerophosphocholine Pathway in Choline Phospholipid Metabolism of Cancer. NMR Biomed. 2019, 32, e4112. [Google Scholar] [CrossRef]
- Ackerstaff, E.; Glunde, K.; Bhujwalla, Z.M. Choline Phospholipid Metabolism: A Target in Cancer Cells? J. Cell. Biochem. 2003, 90, 525–533. [Google Scholar] [CrossRef]
- Glunde, K.; Bhujwalla, Z.M.; Ronen, S.M. Choline Metabolism in Malignant Transformation. Nat. Rev. Cancer 2011, 11, 835–848. [Google Scholar] [CrossRef]
- Trousil, S.; Lee, P.; Pinato, D.J.; Ellis, J.K.; Dina, R.; Aboagye, E.O.; Keun, H.C.; Sharma, R. Alterations of Choline Phospholipid Metabolism in Endometrial Cancer Are Caused by Choline Kinase Alpha Overexpression and a Hyperactivated Deacylation Pathway. Cancer Res. 2014, 74, 6867–6877. [Google Scholar] [CrossRef] [PubMed]
- Bahado-Singh, R.O.; Lugade, A.; Field, J.; Al-Wahab, Z.; Han, B.; Mandal, R.; Bjorndahl, T.C.; Turkoglu, O.; Graham, S.F.; Wishart, D. Metabolomic Prediction of Endometrial Cancer. Metabolomics 2018, 14, 6. [Google Scholar] [CrossRef]
- Troisi, J.; Sarno, L.; Landolfi, A.; Scala, G.; Martinelli, P.; Venturella, R.; Di Cello, A.; Zullo, F.; Guida, M. Metabolomic Signature of Endometrial Cancer. J. Proteome Res. 2018, 17, 804–812. [Google Scholar] [CrossRef]
- Stephens, J.M.; Sulway, M.J.; Watkins, P.J. Relationship of Blood Acetoacetate and 3-Hydroxybutyrate in Diabetes. Diabetes 1971, 20, 485–489. [Google Scholar] [CrossRef]
- Sheikh-Ali, M.; Karon, B.S.; Basu, A.; Kudva, Y.C.; Muller, L.A.; Xu, J.; Schwenk, W.F.; Miles, J.M. Can Serum β-Hydroxybutyrate Be Used to Diagnose Diabetic Ketoacidosis? Diabetes Care 2008, 31, 643–647. [Google Scholar] [CrossRef]
- Gall, W.E.; Beebe, K.; Lawton, K.A.; Adam, K.-P.; Mitchell, M.W.; Nakhle, P.J.; Ryals, J.A.; Milburn, M.V.; Nannipieri, M.; Camastra, S. α-Hydroxybutyrate Is an Early Biomarker of Insulin Resistance and Glucose Intolerance in a Nondiabetic Population. PLoS ONE 2010, 5, e10883. [Google Scholar] [CrossRef]
- Chen, J.; Hou, H.; Chen, H.; Luo, Y.; He, Y.; Zhang, L.; Zhang, Y.; Liu, H.; Zhang, F.; Liu, Y. Identification of β-Hydroxybutyrate as a Potential Biomarker for Female Papillary Thyroid Cancer. Bioanalysis 2019, 11, 461–470. [Google Scholar] [CrossRef]
- Hilvo, M.; De Santiago, I.; Gopalacharyulu, P.; Schmitt, W.D.; Budczies, J.; Kuhberg, M.; Dietel, M.; Aittokallio, T.; Markowetz, F.; Denkert, C. Accumulated Metabolites of Hydroxybutyric Acid Serve as Diagnostic and Prognostic Biomarkers of Ovarian High-Grade Serous Carcinomas. Cancer Res. 2016, 76, 796–804. [Google Scholar] [CrossRef]
- Knapp, P.; Baranowski, M.; Knapp, M.; Zabielski, P.; Błachnio-Zabielska, A.U.; Górski, J. Altered Sphingolipid Metabolism in Human Endometrial Cancer. Prostaglandins Other Lipid Mediat. 2010, 92, 62–66. [Google Scholar] [CrossRef]
- Knapp, P.; Chomicz, K.; Świderska, M.; Chabowski, A.; Jach, R. Unique Roles of Sphingolipids in Selected Malignant and Nonmalignant Lesions of Female Reproductive System. Biomed Res. Int. 2019, 2019. [Google Scholar] [CrossRef]
- Ponka, P. Cell Biology of Heme. Am. J. Med. Sci. 1999, 318, 241–256. [Google Scholar] [CrossRef]
- Lionetto, L.; Lostia, A.M.; Stigliano, A.; Cardelli, P.; Simmaco, M. HPLC–Mass Spectrometry Method for Quantitative Detection of Neuroendocrine Tumor Markers: Vanillylmandelic Acid, Homovanillic Acid and 5-Hydroxyindoleacetic Acid. Clin. Chim. Acta 2008, 398, 53–56. [Google Scholar] [CrossRef]



















| Participant Characteristics | Total Cohort (n = 136) | Cases (n = 67) | Controls (n = 69) | p-Value |
|---|---|---|---|---|
| Age (years) median(IQR) | 54 (43,65) | 63 (54,69) | 46 (39,53) | <0.001 |
| BMI (kg/m2) median (IQR) | 46 (39,52) | 40 (34,46) | 50 (46,55) | <0.001 |
| White ethnicity | 121 (89.0%) | 59 (88.1%) | 62 (89.9%) | 0.888 |
| Ever smokers | 50 (36.8%) | 23 (34.3%) | 27 (39.1%) | 0.833 |
| Nulliparity | 48 (35.3%) | 37 (55.2%) | 11 (15.9%) | <0.001 |
| Post-menopausal | 77 (56.6%) | 56 (83.6%) | 21 (30.4%) | <0.001 |
| History of diabetes mellitus | 46 (33.8%) | 17 (25.4%) | 29 (42.0%) | 0.04 |
| Tumour Characteristics | ||||
| FIGO (2009) | ||||
| Grade 1 | - | 47 (70.2%) | - | |
| Grade 2 | - | 14 (20.9%) | - | |
| Grade 3 | - | 6 (9.0%) | - | |
| FIGO (2009) | ||||
| Stage 1 | - | 59 (88.0%) | - | |
| Stage 2 | - | 2 (3.0%) | - | |
| Stage 3 | - | 6 (9.0%) | - | |
| Myometrial invasion ≥50% | - | 12 (18.0%) | - | |
| Presence of LVSI | - | 12 (18.0%) | - |
| Actual Group | Predicted Group | ||
|---|---|---|---|
| Cancer | Control | Class Error | |
| Cancer | 48 | 6 | 0.11111 |
| Control | 9 | 46 | 0.16363 |
| Actual Group | Predicted Group | ||
|---|---|---|---|
| Cancer | Control | Class Error | |
| Cancer | 12 | 1 | 0.0769 |
| Control | 1 | 13 | 0.0714 |
| Actual Group | Predicted Group | ||
|---|---|---|---|
| Cancer | Control | Class Error | |
| Cancer | 41 | 6 | 0.1276 |
| Control | 9 | 46 | 0.16363 |
| Actual Group | Predicted Group | ||
|---|---|---|---|
| Cancer | Control | Class Error | |
| Cancer | 8 | 4 | 0.3333 |
| Control | 0 | 14 | 0.0000 |
| Correlation p−Value | Age | BMI | Parity | 1-Lignoceroyl GPC | 1-1 nyl-Steroyl-2-Linoleoyl-GPE | 1-Linolenoyl GPC | 1-1 Enyl-Steroyl GPE | 3-OH-Butyryl Carnitine | 1-1 Enyl Steroyl-2-Oleoyl GPE | 3-OH Butyrate | X-24449 | Eicosanodiote | 1-2-Dilinoleoyl GPC |
|---|---|---|---|---|---|---|---|---|---|---|---|---|---|
| Age | 1.0000 | ||||||||||||
| BMI | 1.0000 | ||||||||||||
| Parity | 1.0000 | ||||||||||||
| 1-Lignoceroyl GPC | 0.4427 * | −0.5860 * | −0.2802 * | 1.0000 | |||||||||
| 0.0000 | 0.0000 | 0.0010 | |||||||||||
| 1-1 Enyl-Steroyl-2-Linoleoyl-GPE | 0.3953 * | −0.4879 * | −0.3287 * | 0.7334 * | 1.0000 | ||||||||
| 0.0001 | 0.0000 | 0.0001 | 0.0000 | ||||||||||
| 1-Linolenoyl GPC | 0.3881 * | −0.4824 * | −0.2581 * | 0.7474 * | 0.6760 * | 1.0000 | |||||||
| 0.0002 | 0.0000 | 0.0024 | 0.0000 | 0.0000 | |||||||||
| 1-1Enyl-Steroyl GPE | 0.4518 * | −0.4846 * | −0.3270 * | 0.6833 * | 0.7022 * | 0.6925 * | 1.0000 | ||||||
| 0.0000 | 0.0000 | 0.0001 | 0.0000 | 0.0000 | 0.0000 | ||||||||
| 3-OH-butyryl carnitine | −0.2566 | 0.4438 * | 0.2164 * | −0.6610 * | −0.7025 * | −0.6535 * | −0.4620 * | 1.0000 | |||||
| 0.1411 | 0.0000 | 0.0114 | 0.0000 | 0.0000 | 0.0000 | 0.0000 | |||||||
| 1-1EnylSteroyl-2-Oleoyl GPE | 0.4278 * | −0.4523 * | −0.2680 * | 0.6379 * | 0.8935 * | 0.6511 * | 0.7199 * | −0.5945 * | 1.0000 | ||||
| 0.0000 | 0.0000 | 0.0016 | 0.0000 | 0.0000 | 0.0000 | 0.0000 | 0.0000 | ||||||
| 3-OH butyrate | −0.3204 * | 0.3673 * | 0.2196 | −0.5891 * | −0.6927 * | −0.6334 * | −0.5204 * | 0.8741 * | −0.6605 * | 1.0000 | |||
| 0.0079 | 0.0000 | 0.0102 | 0.0000 | 0.0000 | 0.0000 | 0.0000 | 0.0000 | 0.0000 | |||||
| X-24449 | 0.4580 * | −0.4386 * | −0.2566 * | 0.6211 * | 0.5864 * | 0.4975 * | 0.5026 * | −0.4870 * | 0.4886 * | −0.4400 * | 1.0000 | ||
| 0.0000 | 0.0000 | 0.0026 | 0.0000 | 0.0000 | 0.0000 | 0.0000 | 0.0000 | 0.0000 | 0.0000 | ||||
| Eicosanodiote | 0.3294 * | −0.3388 * | −0.2135 * | 0.5632 * | 0.6889 * | 0.5576 * | 0.5017 * | −0.5435 * | 0.6143 * | −0.5169 * | 0.4147 * | 1.0000 | |
| 0.0050 | 0.0000 | 0.0126 | 0.0000 | 0.0000 | 0.0000 | 0.0000 | 0.0000 | 0.0000 | 0.0000 | 0.0000 | |||
| 1-2-Dilinoleoyl GPC | 0.3001 * | −0.5158* | −0.3056 * | 0.7042 * | 0.7675 * | 0.6640 * | 0.5470 * | −0.6416 * | 0.6019 * | −0.5968 * | 0.5395 * | 0.5786 * | 1.0000 |
| 0.0212 | 0.0000 | 0.0003 | 0.0000 | 0.0000 | 0.0000 | 0.0000 | 0.0000 | 0.0000 | 0.0000 | 0.0000 | 0.0000 |
| Actual Group | Predicted Group | ||
|---|---|---|---|
| Cancer | Control | Class Error | |
| Cancer | 38 | 2 | 0.0500 |
| Control | 6 | 26 | 0.1875 |
| Actual Group | Predicted Group | ||
|---|---|---|---|
| Cancer | Control | Class Error | |
| Cancer | 8 | 2 | 0.200 |
| Control | 0 | 8 | 0.0000 |
Publisher’s Note: MDPI stays neutral with regard to jurisdictional claims in published maps and institutional affiliations. |
© 2021 by the authors. Licensee MDPI, Basel, Switzerland. This article is an open access article distributed under the terms and conditions of the Creative Commons Attribution (CC BY) license (http://creativecommons.org/licenses/by/4.0/).
Share and Cite
Njoku, K.; Campbell, A.E.; Geary, B.; MacKintosh, M.L.; Derbyshire, A.E.; Kitson, S.J.; Sivalingam, V.N.; Pierce, A.; Whetton, A.D.; Crosbie, E.J. Metabolomic Biomarkers for the Detection of Obesity-Driven Endometrial Cancer. Cancers 2021, 13, 718. https://doi.org/10.3390/cancers13040718
Njoku K, Campbell AE, Geary B, MacKintosh ML, Derbyshire AE, Kitson SJ, Sivalingam VN, Pierce A, Whetton AD, Crosbie EJ. Metabolomic Biomarkers for the Detection of Obesity-Driven Endometrial Cancer. Cancers. 2021; 13(4):718. https://doi.org/10.3390/cancers13040718
Chicago/Turabian StyleNjoku, Kelechi, Amy E. Campbell, Bethany Geary, Michelle L. MacKintosh, Abigail E. Derbyshire, Sarah J. Kitson, Vanitha N. Sivalingam, Andrew Pierce, Anthony D. Whetton, and Emma J. Crosbie. 2021. "Metabolomic Biomarkers for the Detection of Obesity-Driven Endometrial Cancer" Cancers 13, no. 4: 718. https://doi.org/10.3390/cancers13040718
APA StyleNjoku, K., Campbell, A. E., Geary, B., MacKintosh, M. L., Derbyshire, A. E., Kitson, S. J., Sivalingam, V. N., Pierce, A., Whetton, A. D., & Crosbie, E. J. (2021). Metabolomic Biomarkers for the Detection of Obesity-Driven Endometrial Cancer. Cancers, 13(4), 718. https://doi.org/10.3390/cancers13040718

