Biological Impact of Target Fragments on Proton Treatment Plans: An Analysis Based on the Current Cross-Section Data and a Full Mixed Field Approach
Abstract
:Simple Summary
Abstract
1. Introduction
2. Materials and Methods
2.1. Spectra Simulation
- Physics models
- –
- standard Geant4 Electromagnetic module version opt4
- –
- high precision QGSP_BIC_HP model
- –
- ion binary cascade model
- –
- decay physics model
- –
- stopping physics model
- –
- high precision neutron transport model, with G4NDL4.5 data
Electromagnetic tables were limited to 100 eV–500 MeV range, suitable for particle therapy applications. Range production cuts were set to default values of 50 um for protons, 10 um for alpha particles and 1 um for ions as described in [41]. - Beam sourceThe particle source was simulated as a pencil beam of mono-energetic protons. In this simplistic case, the beam has no angular emittance and no spatial dispersion, therefore all protons are emitted in the same direction. Initial kinetic energy of primaries ranged from 60 to 230 MeV/u with 5 MeV/u steps.
- Simulation GeometryThe simulation geometry consists into a simple cylinder of radius 210 mm and length L, filled with liquid water (density 1 g/cm). The ionization potential of liquid water was adjusted to 77 eV to be equal to the value used to create the TRiP98 database. The water cylinder was placed in a volume filled with vacuum. The beam source was located on the symmetry axis of a water cylinder, 10 mm before the front wall.In order to reduce calculation time, the length L of the cylinder was adjusted according to the kinetic energy E of primary particles. Specifically, L was modified according to the following formula:where:We are assuming here that L is sufficient to simulate proton interactions with matter up to proton range in water (calculated with Bragg-Kleeman rule [42], a, p and in above equations), with the addition of a distal margin of 30 mm (factor ). The distal margin was chosen as the dose in mono-energetic beams drops sharply after reaching maximum. In order to reduce simulation time, dose scoring was disabled in the very distal part, as this region is out of the scope of our study.
- Scored quantities For scoring particle fluence F, the default Fluence Volume scorer was used [35,43]. The standard step-length estimator was used to calculate fluence in a given volume. In a single history (single projectile track), a fluence in volume V is calculated by taking into account step lengths of particles inside a given volume.Cross-section for the production of secondary particles by protons is small, less than 500 mb for the largest production channel (He generated by the p + 16O reaction). The refore, to achieve convergence, multiple primary protons were simulated (in our work we used 109 primaries for each scenario).For each step, the scored fluence was classified into the appropriate bucket among the following categories:
- –
- depth z: the scoring water cylinder was divided into 200 slices of the same thickness along its symmetry axis
- –
- particle type A, Z: only charged ions were considered (protons and other hydrogen isotopes, 3He, alpha particles and heavier ions). Particle type was characterized by a pair of numbers: mass number A and atomic number Z. Isotopes with were scored.
- –
- kinetic energy : particle kinetic energy was evaluated at the simulation step and divided into 200 bins. Bins spanned from 0 MeV up to a certain upper limit. To increase the energy resolution, heavier (i.e., oxygen) ions had an upper limit set to only a fraction of the kinetic energy of primary proton.
- –
- generation level (gen): applied only for protons in order to distinguish primary particles (protons) from secondary, tertiary and higher generations protons.
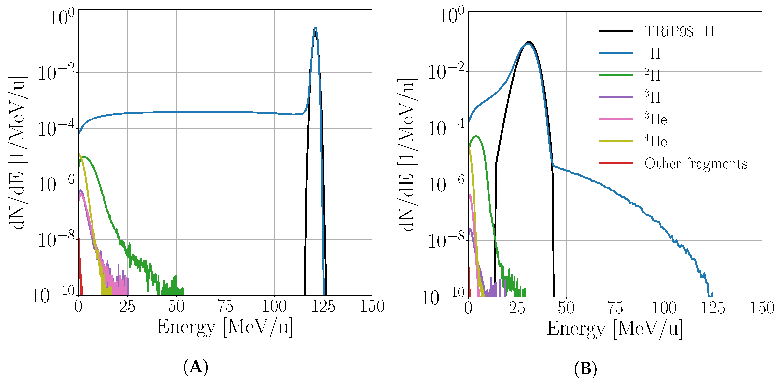
Finally, a complete fluence spectrum was generated, being a function of primary proton energy , depth z, particle type and generation level and particle energy . An example fluence spectra at the depths of 5 cm and 15.8 cm is shown on Figure 1. It should be noted that the energy distribution plotted on Figure 1 are related to the production cross-section, but include also effect of particle transport. This effect is however negligible for recoil nuclei, while for lighter particles with significant range it may be relevant.For scoring the dose, the default Dose scorer was used, which accumulates the dose deposited by charged ions, electrons and other particles. The dose was scored using the following classification:- –
- depth: the scoring water cylinder was divided into 200 slices of the same thickness along its symmetry axis
- –
- particle type: charged ions and electrons liberated by them were considered (protons and other hydrogen isotopes, 3He, alpha particles and heavier ions). Particle type was characterized by a pair of numbers: mass number A and atomic number Z and isotopes up to were scored.
- –
- generation level: applied only for protons in order to distinguish primary particles (protons) from secondary, tertiary, and higher generations protons. Dose from each category of protons included the dose delivered by electrons liberated by proton interactions.
A set of depth dose profiles was generated, being a function of primary proton energy , depth z, and particle type T.TOPAS simulation results were saved in binary file format as it provides better numerical precision than default text format. - Conversion to TRiP98 file formatsFragment spectra and depth dose profiles are needed in various tasks performed by TRiP98 software, including mainly in biological calculations. Fluence spectra binned by particle energy calculated by TOPAS were converted into normalized energy-fluence spectra (SPC (http://bio.gsi.de/DOCS/TRiP98/PRO/DOCS/trip98fmtspc.html, accessed on 31 July 2021)) which are necessary inputs to TRiP98. Fragment spectra in TRiP98 are handled as the number of particles normalized in such way that for primary protons at for all kinetic possible energies :The number of particles N can be derived from fluence in the following way to ensure proper normalization (as in the equation above):Files in SPC format contain histograms of particle numbers normalized by bin widths (in kinetic energy, expressed in MeV/u), denoted here as (where E refers to kinetic energy of a particle at the point of interaction and should not be confused with primary particle energy ). Depth dose profiles were converted into normalized depth dose profiles distributions (DDD (http://bio.gsi.de/DOCS/TRiP98/PRO/DOCS/trip98fmtddd.html, accessed on 31 July 2021)) also required by TRiP98. Conversion included change of kinetic energy units, as TOPAS operates in MeV while TRiP98 uses MeV/u. Custom converter scripts were created, based on open source pytrip package [44] for Python programming language.
2.2. Biological Effect Evaluation
2.2.1. Mixed Fields Model
Mono-Energetic Beams
Spread out Bragg Peaks
Experimental Data Comparison
3. Results
3.1. Mono-Energetic Beams
3.2. Spread out Bragg Peaks
3.3. Experimental Data Comparison Results
4. Discussion
5. Conclusions
Author Contributions
Funding
Institutional Review Board Statement
Informed Consent Statement
Data Availability Statement
Acknowledgments
Conflicts of Interest
Appendix A
| Relative Depth | Particles | E = 71 MeV | E = 160 MeV |
|---|---|---|---|
| 60% | All | 0.969 | 0.456 |
| Primaries | 2.656 | 0.692 | |
| 97% | All | 0.980 | 0.431 |
| Primaries | 1.311 | 0.484 | |
| 100% | All | 1.101 | 0.102 |
| Primaries | 1.095 | 0.124 | |
| 102% | All | 0.388 | 0.972 |
| Primaries | 0.414 | 1.066 |
| LET Range [] | Tested Distribution | Euc. Metrics RBE | Euc. Metrics RBE |
|---|---|---|---|
| All | 16.473 | 48.774 | |
| 0–1 | Primaries | 17.958 | 69.477 |
| Grün et al., primaries | 17.805 | 72.361 | |
| All | 30.673 | 21.981 | |
| 1–2.5 | Primaries | 41.419 | 21.334 |
| Grün et al., primaries | 38.1388 | 21.2924 |
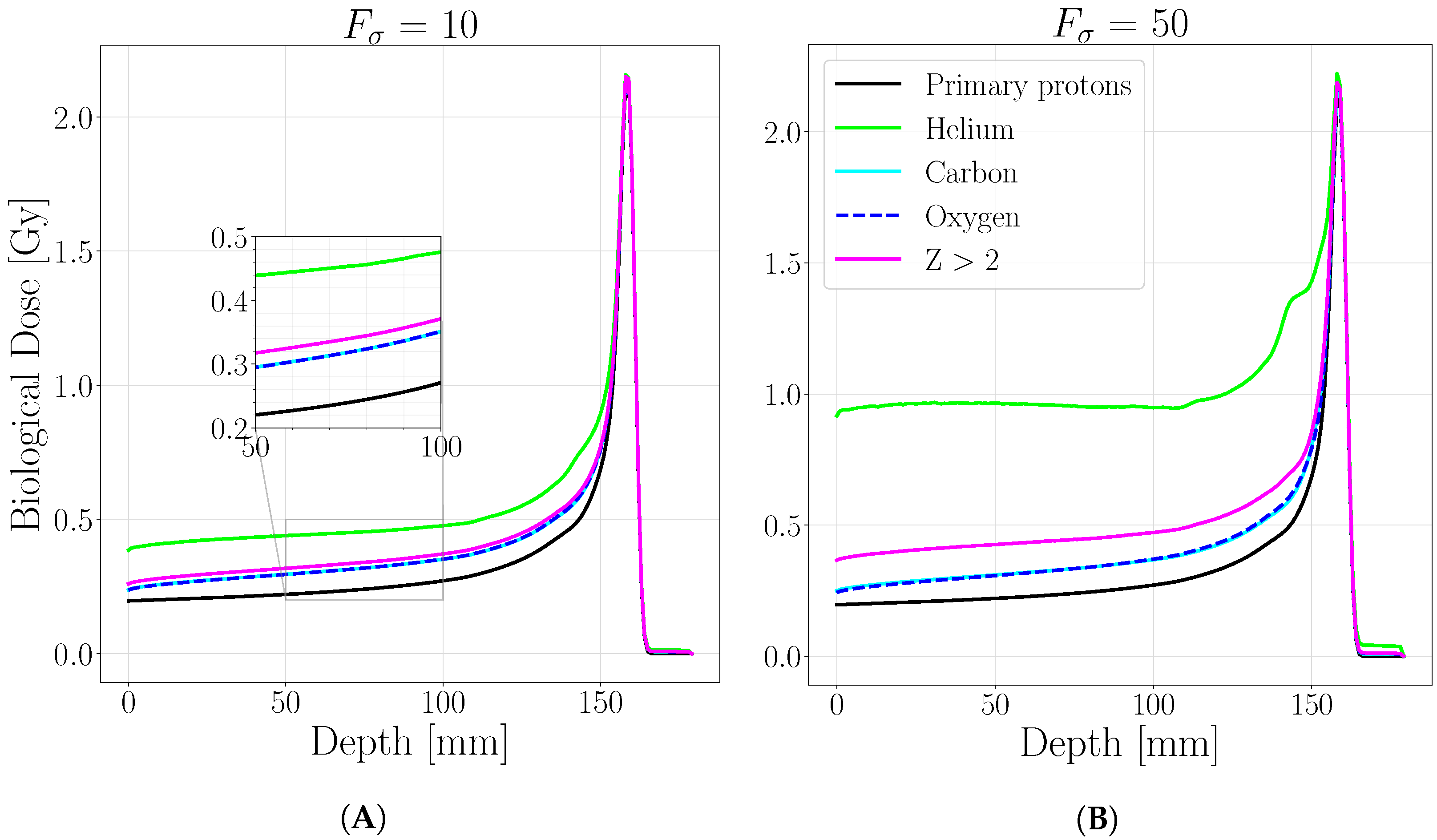
Appendix B. Cross-Section Sensitivity Analysis


References
- Sreeraman Radhika, I.D.J. Proton therapy for the treatment of children with CNS malignancies. CNS Oncol. 2014, 3, 149–158. [Google Scholar] [CrossRef] [PubMed]
- Durante, M.; Orecchia, R.; Loeffler, J.S. Charged-particle therapy in cancer: Clinical uses and future perspectives. Nat. Rev. Clin. Oncol. 2017, 14, 483. [Google Scholar] [CrossRef] [PubMed]
- Paganetti, H. Proton Therapy Physics; CRC Press: Boca Raton, FL, USA, 2018. [Google Scholar]
- Heike, T.; Beate, T. Pediatric proton therapy. Br. J. Radiol. 2020, 93, 20190601. [Google Scholar]
- Jäkel, O. Physical advantages of particles: Protons and light ions. Br. J. Radiol. 2020, 93, 20190428. [Google Scholar] [CrossRef]
- Paganetti, H.; Niemierko, A.; Ancukiewicz, M.; Gerweck, L.E.; Goitein, M.; Loeffler, J.S.; Suit, H.D. Relative biological effectiveness (RBE) values for proton beam therapy. Int. J. Radiat. Oncol. Biol. Phys. 2002, 53, 407–421. [Google Scholar] [CrossRef]
- Newhauser, W. International Commission on Radiation Units and Measurements Report 78: Prescribing, Recording and Reporting Proton-Beam Therapy; Oxford University Press: Oxford, UK, 2009. [Google Scholar]
- Cometto, A.; Russo, G.; Bourhaleb, F.; Milian, F.; Giordanengo, S.; Marchetto, F.; Cirio, R.; Attili, A. Direct evaluation of radiobiological parameters from clinical data in the case of ion beam therapy: An alternative approach to the relative biological effectiveness. Phys. Med. Biol. 2014, 59, 7393. [Google Scholar] [CrossRef] [Green Version]
- Lisa, P.; Jan, S.; Rinaldi, I.; Lucas, B.; McNamara, A.L.; Stewart, R.D.; Andrea, A.; Carlson, D.J.; Tatsuhiko, S.; Ramos, M.J.; et al. Extension of TOPAS for the simulation of proton radiation effects considering molecular and cellular endpoints. Phys. Med. Biol. 2015, 60, 5053. [Google Scholar]
- Grün, R.; Friedrich, T.; Krämer, M.; Scholz, M. Systematics of relative biological effectiveness measurements for proton radiation along the spread out Bragg peak: Experimental validation of the local effect model. Phys. Med. Biol. 2017, 62, 890. [Google Scholar] [CrossRef]
- Howard, M.E.; Beltran, C.; Anderson, S.; Tseung, W.C.; Sarkaria, J.N.; Herman, M.G. Investigating dependencies of relative biological effectiveness for proton therapy in cancer cells. Int. J. Part. Ther. 2017, 4, 12–22. [Google Scholar] [CrossRef] [Green Version]
- Minna, W.; Iuliana, T.D. Disregarding RBE variation in treatment plan comparison may lead to bias in favor of proton plans. Med. Phys. 2014, 41, 091706. [Google Scholar]
- Ödén Jakob, E.K.; Iuliana, T.D. Inclusion of a variable RBE into proton and photon plan comparison for various fractionation schedules in prostate radiation therapy. Med. Phys. 2017, 44, 810–822. [Google Scholar] [CrossRef] [PubMed]
- McNamara, A.; Willers, H.; Paganetti, H. Modelling variable proton relative biological effectiveness for treatment planning. Br. J. Radiol. 2020, 93, 20190334. [Google Scholar] [CrossRef] [PubMed]
- Pfuhl, T.; Horst, F.; Schuy, C.; Weber, U. Dose build-up effects induced by delta electrons and target fragments in proton Bragg curves—Measurements and simulations. Phys. Med. Biol. 2018, 63, 175002. [Google Scholar] [CrossRef] [PubMed]
- Thomas, F.; Uwe, S.; Thilo, E.; Marco, D.; Michael, S. Systematic analysis of RBE and related quantities using a database of cell survival experiments with ion beam irradiation. J. Radiat. Res. 2013, 54, 494. [Google Scholar]
- Tommasino, F.; Durante, M. Proton radiobiology. Cancers 2015, 7, 353–381. [Google Scholar] [CrossRef]
- Krämer, M.; Scifoni, E.; Schuy, C.; Rovituso, M.; Tinganelli, W.; Maier, A.; Kaderka, R.; Kraft-Weyrather, W.; Brons, S.; Tessonnier, T.; et al. Helium ions for radiotherapy? Physical and biological verifications of a novel treatment modality. Med. Phys. 2016, 43, 1995–2004. [Google Scholar] [CrossRef] [Green Version]
- Sokol, O.; Scifoni, E.; Tinganelli, W.; Kraft-Weyrather, W.; Wiedemann, J.; Maier, A.; Boscolo, D.; Friedrich, T.; Brons, S.; Durante, M.; et al. Oxygen beams for therapy: Advanced biological treatment planning and experimental verification. Phys. Med. Biol. 2017, 62, 7798. [Google Scholar] [CrossRef] [Green Version]
- Krämer, M.; Scholz, M. Treatment planning for heavy-ion radiotherapy: Calculation and optimization of biologically effective dose. Phys. Med. Biol. 2000, 45, 3319. [Google Scholar] [CrossRef]
- Krämer, M.; Durante, M. Ion beam transport calculations and treatment plans in particle therapy. Eur. Phys. J. D 2010, 60, 195–202. [Google Scholar] [CrossRef]
- Lühr, A.; Hansen, D.C.; Teiwes, R.; Sobolevsky, N.; Jäkel, O.; Bassler, N. The impact of modeling nuclear fragmentation on delivered dose and radiobiology in ion therapy. Phys. Med. Biol. 2012, 57, 5169. [Google Scholar] [CrossRef] [Green Version]
- Parodi, K.; Mairani, A.; Sommerer, F. Monte Carlo-based parametrization of the lateral dose spread for clinical treatment planning of scanned proton and carbon ion beams. J. Radiat. Res. 2013, 54, i91–i96. [Google Scholar] [CrossRef] [PubMed]
- Bellinzona, V.; Ciocca, M.; Embriaco, A.; Fontana, A.; Mairani, A.; Mori, M.; Parodi, K. On the parametrization of lateral dose profiles in proton radiation therapy. Phys. Med. 2015, 31, 484–492. [Google Scholar] [CrossRef]
- Embriaco, A.; Bellinzona, V.; Fontana, A.; Rotondi, A. An accurate model for the computation of the dose of protons in water. Phys. Med. 2017, 38, 66–75. [Google Scholar] [CrossRef] [PubMed]
- Bodensteiner, D. RayStation: External beam treatment planning system. Med. Dosim. 2018, 43, 168–176. [Google Scholar] [CrossRef] [PubMed]
- Cucinotta, F.A.; Katz, R.; Wilson, J.W.; Townsend, L.W.; Shinn, J.; Hajnal, F. Biological effectiveness of high-energy protons: Target fragmentation. Radiat. Res. 1991, 127, 130–137. [Google Scholar] [CrossRef]
- Grassberger, C.; Paganetti, H. Elevated LET components in clinical proton beams. Phys. Med. Biol. 2011, 56, 6677. [Google Scholar] [CrossRef]
- MoVe IT Call INFN CSNV. Available online: http://www.tifpa.infn.it/wp-content/uploads/2016/11/MOVE_IT_all_4.pdf (accessed on 1 September 2021).
- Patera, V.; Argiro, S.; Barbosa, D.; Battistoni, G.; Belcari, N.; Bruni, G.; Bisogni, M.G.; Brambilla, S.; Camarlinghi, N.; Cerello, P.; et al. The FOOT (fragmentation of target) experiment. In Proceedings of the 26th International Nuclear Physics Conference, Adelaide, Australia, 11–16 September 2016; SISSA Medialab: Trieste, Italy, 2016; Volume 281, p. 128. [Google Scholar]
- Valle, S.; Alexandrov, A.; Ambrosi, G.; Argirò, S.; Battistoni, G.; Belcari, N.; Biondi, S.; Bisogni, M.; Bruni, G.; Brambilla, S.; et al. FOOT: A new experiment to measure nuclear fragmentation at intermediate energies. Perspect. Sci. 2019, 12, 100415. [Google Scholar] [CrossRef]
- Battistoni, G.; Toppi, M.; Villa, M.; Patera, V. Measuring the impact of Nuclear Interaction in Particle Therapy and in Radio Protection in Space: The FOOT experiment. Front. Phys. 2020, 8, 555. [Google Scholar]
- Mairani, A.; Dokic, I.; Magro, G.; Tessonnier, T.; Bauer, J.; Böhlen, T.; Ciocca, M.; Ferrari, A.; Sala, P.; Jäkel, O.; et al. A phenomenological relative biological effectiveness approach for proton therapy based on an improved description of the mixed radiation field. Phys. Med. Biol. 2017, 62, 1378. [Google Scholar] [CrossRef]
- Embriaco, A.; Attili, A.; Bellinzona, E.; Dong, Y.; Grzanka, L.; Mattei, I.; Muraro, S.; Scifoni, E.; Tommasino, F.; Valle, S.; et al. FLUKA simulation of target fragmentation in proton therapy. Phys. Med. 2020, 80, 342–346. [Google Scholar] [CrossRef]
- Perl, J.; Shin, J.; Schümann, J.; Faddegon, B.; Paganetti, H. TOPAS: An innovative proton Monte Carlo platform for research and clinical applications. Med. Phys. 2012, 39, 6818–6837. [Google Scholar] [CrossRef]
- Krämer, M.; Jäkel, O.; Haberer, T.; Kraft, G.; Schardt, D.; Weber, U. Treatment planning for heavy-ion radiotherapy: Physical beam model and dose optimization. Phys. Med. Biol. 2000, 45, 3299. [Google Scholar] [CrossRef] [Green Version]
- Krämer, M.; Scholz, M. Rapid calculation of biological effects in ion radiotherapy. Phys. Med. Biol. 2006, 51, 1959. [Google Scholar] [CrossRef]
- Van Leeuwen, C.; Oei, A.; Crezee, J.; Bel, A.; Franken, N.; Stalpers, L.; Kok, H. The alfa and beta of tumours: A review of parameters of the linear-quadratic model, derived from clinical radiotherapy studies. Radiat. Oncol. 2018, 13, 1–11. [Google Scholar] [CrossRef]
- Grzanka, L. 2021. Available online: https://doi.org/10.5281/zenodo.4675053 (accessed on 1 September 2021).
- Geant4 Physics Lists. Available online: https://geant4.web.cern.ch/node/155 (accessed on 1 September 2021).
- Geant4 Physics Lists Constructors. Available online: https://geant4.kek.jp/lxr/source/physics_lists/constructors/electromagnetic/src/G4EmStandardPhysics_option3.cc?v=10.4 (accessed on 1 September 2021).
- Ulmer Waldemar, M.E. Theoretical methods for the calculation of Bragg curves and 3D distributions of proton beams. Eur. Phys. J. Spec. Top. 2010, 190, 1–81. [Google Scholar] [CrossRef] [Green Version]
- Faddegon, B.; Ramos-Mendez, J.; Schuemann, J.; McNamara, A.; Shin, J.; Perl, J.; Paganetti, H. The TOPAS Tool for Particle Simulation, a Monte Carlo Simulation Tool for Physics, Biology and Clinical Research. Phys. Med. 2020. [Google Scholar] [CrossRef] [PubMed]
- Grzanka, L.; Bassler, N.; Toftegaard, J.; Jelen, L.; Ringbaek, T.P. pytrip/pytrip: 3.4.0. 2021. Available online: https://doi.org/10.5281/zenodo.4008065 (accessed on 1 September 2021).
- Elsässer, T.; Weyrather, W.K.; Friedrich, T.; Durante, M.; Iancu, G.; Krämer, M.; Kragl, G.; Brons, S.; Winter, M.; Weber, K.J.; et al. Quantification of the relative biological effectiveness for ion beam radiotherapy: Direct experimental comparison of proton and carbon ion beams and a novel approach for treatment planning. Int. J. Radiat. Oncol. Biol. Phys. 2010, 78, 1177–1183. [Google Scholar] [CrossRef] [PubMed]
- Friedrich, T.; Scholz, U.; Elsässer, T.; Durante, M.; Scholz, M. Calculation of the biological effects of ion beams based on the microscopic spatial damage distribution pattern. Int. J. Radiat. Biol. 2012, 88, 103–107. [Google Scholar] [CrossRef] [PubMed]
- Kellerer, A.M.; Rossi, H.H. The theory of dual radiation action. Curr. Top. Radiat. Res. Q. 1974, 85–158. [Google Scholar]
- Zaider, M.; Rossi, H. The synergistic effects of different radiations. Radiat. Res. 1980, 732–739. [Google Scholar] [CrossRef]
- Zaider, M.; Rossi, H. Sequential Exposures to Mixed Fields of Radiation. A Theoretical Approach; Technical Report; IAEA: Vienna, Austria, 1980. [Google Scholar]
- Paganetti, H.; Schmitz, T. The influence of the beam modulation technique on dose and RBE in proton radiation therapy. Phys. Med. Biol. 1996, 41, 1649. [Google Scholar] [CrossRef]
- Joseph, M.S. The linear quadratic model: Usage, interpretation and challenges. Phys. Med. Biol. 2018, 64, 01TR01. [Google Scholar]
- Astrahan, M. Some implications of linear-quadratic-linear radiation dose-response with regard to hypofractionation. Med. Phys. 2008, 35, 4161–4172. [Google Scholar] [CrossRef] [Green Version]
- Wedenberg, M.; Lind, B.K.; Hardemark, B. A model for the relative biological effectiveness of protons: The tissue specific parameter α/β of photons is a predictor for the sensitivity to LET changes. Acta Oncol. 2013, 52, 580–588. [Google Scholar] [CrossRef] [Green Version]
- McNamara, A.L.; Schuemann, J.; Paganetti, H. A phenomenological relative biological effectiveness (RBE) model for proton therapy based on all published in vitro cell survival data. Phys. Med. Biol. 2015, 60, 8399. [Google Scholar] [CrossRef] [PubMed] [Green Version]
- Scholz, M.; Friedrich, T.; Magrin, G.; Colautti, P.; Ristić-Fira, A.; Petrović, I. Characterizing radiation effectiveness in ion beam therapy part I: Introduction and biophysical modeling of RBE using the LEMIV. Front. Phys. 2020, 8, 272. [Google Scholar] [CrossRef]
- Pfuhl, T.; Friedrich, T.; Scholz, M. Prediction of cell survival after exposure to mixed radiation fields with the local effect model. Radiat. Res. 2020, 193, 130–142. [Google Scholar] [CrossRef] [PubMed]
- Elsässer, T.; Gemmel, A.; Scholz, M.; Schardt, D.; Krämer, M. The relevance of very low energy ions for heavy-ion therapy. Phys. Med. Biol. 2009, 54, N101. [Google Scholar] [CrossRef]











Publisher’s Note: MDPI stays neutral with regard to jurisdictional claims in published maps and institutional affiliations. |
© 2021 by the authors. Licensee MDPI, Basel, Switzerland. This article is an open access article distributed under the terms and conditions of the Creative Commons Attribution (CC BY) license (https://creativecommons.org/licenses/by/4.0/).
Share and Cite
Bellinzona, E.V.; Grzanka, L.; Attili, A.; Tommasino, F.; Friedrich, T.; Krämer, M.; Scholz, M.; Battistoni, G.; Embriaco, A.; Chiappara, D.; et al. Biological Impact of Target Fragments on Proton Treatment Plans: An Analysis Based on the Current Cross-Section Data and a Full Mixed Field Approach. Cancers 2021, 13, 4768. https://doi.org/10.3390/cancers13194768
Bellinzona EV, Grzanka L, Attili A, Tommasino F, Friedrich T, Krämer M, Scholz M, Battistoni G, Embriaco A, Chiappara D, et al. Biological Impact of Target Fragments on Proton Treatment Plans: An Analysis Based on the Current Cross-Section Data and a Full Mixed Field Approach. Cancers. 2021; 13(19):4768. https://doi.org/10.3390/cancers13194768
Chicago/Turabian StyleBellinzona, Elettra Valentina, Leszek Grzanka, Andrea Attili, Francesco Tommasino, Thomas Friedrich, Michael Krämer, Michael Scholz, Giuseppe Battistoni, Alessia Embriaco, Davide Chiappara, and et al. 2021. "Biological Impact of Target Fragments on Proton Treatment Plans: An Analysis Based on the Current Cross-Section Data and a Full Mixed Field Approach" Cancers 13, no. 19: 4768. https://doi.org/10.3390/cancers13194768
APA StyleBellinzona, E. V., Grzanka, L., Attili, A., Tommasino, F., Friedrich, T., Krämer, M., Scholz, M., Battistoni, G., Embriaco, A., Chiappara, D., Cirrone, G. A. P., Petringa, G., Durante, M., & Scifoni, E. (2021). Biological Impact of Target Fragments on Proton Treatment Plans: An Analysis Based on the Current Cross-Section Data and a Full Mixed Field Approach. Cancers, 13(19), 4768. https://doi.org/10.3390/cancers13194768

