S-1 versus Doublet Regimens as Adjuvant Chemotherapy in Patients with Advanced Gastric Cancer after Radical Surgery with D2 Dissection—A Propensity Score Matching Analysis
Abstract
1. Introduction
2. Materials and Methods
2.1. Patients’ Selection
2.2. Chemotherapy Protocol
2.3. Statistical Analysis
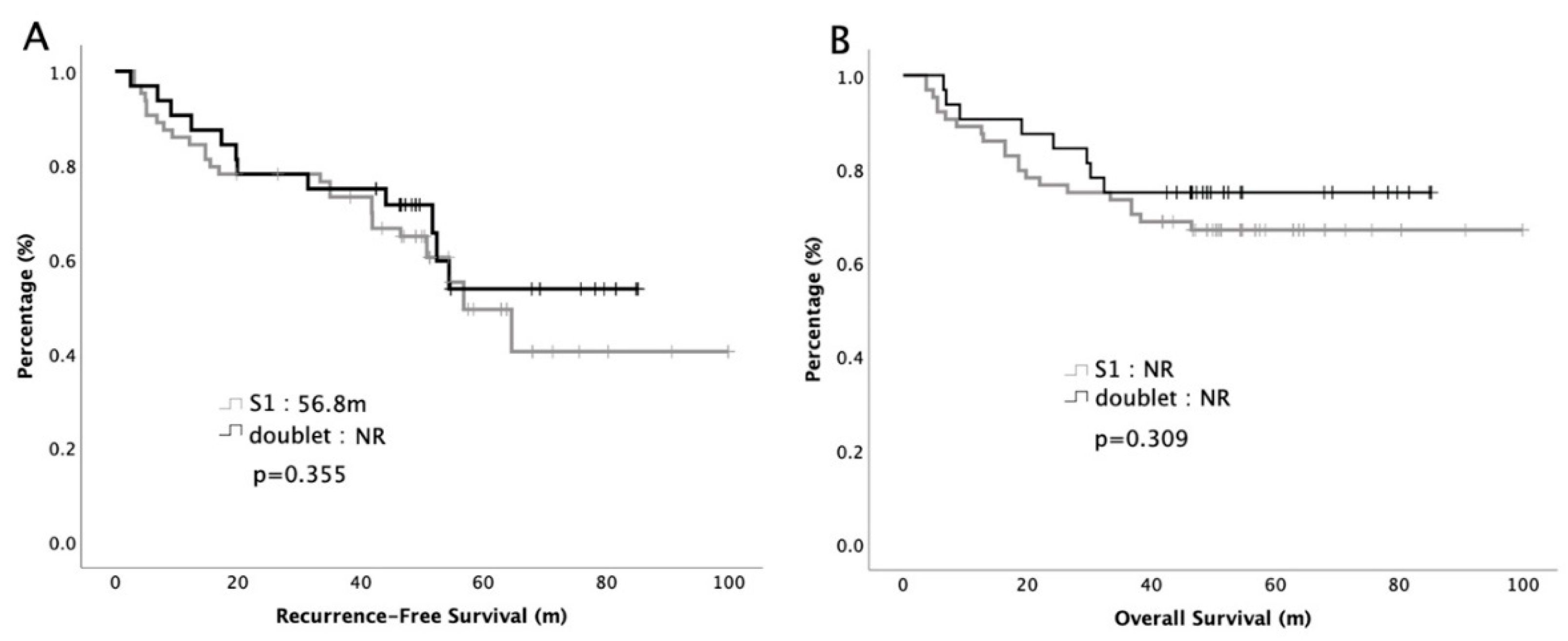
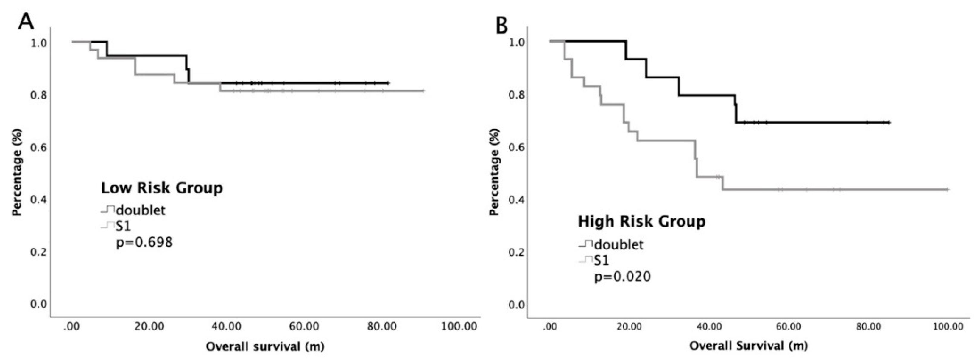
3. Results
Patients’ Characteristics
4. Discussion
5. Conclusions
Author Contributions
Funding
Acknowledgments
Conflicts of Interest
References
- Jemal, A.; Bray, F.; Center, M.M.; Ferlay, J.; Ward, E.; Forman, D. Global cancer statistics. CA Cancer J. Clin. 2011, 61, 69–90. [Google Scholar] [CrossRef]
- Ferlay, J.; Soerjomataram, I.; Dikshit, R.; Eser, S.; Mathers, C.; Rebelo, M.; Parkin, D.M.; Forman, D.; Bray, F. Cancer incidence and mortality world wide: Sources, methods and major patterns in GLOBOCAN 2012. Int. J. Cancer 2015, 136, E359–E386. [Google Scholar] [CrossRef]
- Sant, M.; Allemani, C.; Santaquilani, M.; Knijn, A.; Marchesi, F.; Capocaccia, R. EUROCARE-4. Survival of cancer patients diagnosed in 1995–1999. Results and commentary. Eur. J. Cancer 2009, 45, 931–991. [Google Scholar] [CrossRef]
- Ohtsu, A.; Yoshida, S.; Saijo, N. Disparities in Gastric Cancer Chemotherapy Between the East and West. J. Clin. Oncol. 2006, 24, 2188–2196. [Google Scholar] [CrossRef]
- Lichthardt, S.; Kerscher, A.; Dietz, U.A.; Jurowich, C.; Kunzmann, V.; A Von Rahden, B.H.; Germer, C.-T.; Wiegering, A. Original article: Role of adjuvant chemotherapy in a perioperative chemotherapy regimen for gastric cancer. BMC Cancer 2016, 16, 650. [Google Scholar] [CrossRef]
- Zhao, J.; Gao, P.; Song, Y.-X.; Sun, J.-X.; Chen, X.-W.; Ma, B.; Yang, Y.-C.; Wang, Z. Which is better for gastric cancer patients, perioperative or adjuvant chemotherapy: A meta-analysis. BMC Cancer 2016, 16, 631. [Google Scholar] [CrossRef] [PubMed]
- Lee, K.-G.; Lee, H.-J.; Oh, S.-Y.; Yang, J.-Y.; Ahn, H.-S.; Suh, Y.-S.; Kong, S.-H.; Kim, T.-Y.; Oh, -Y.; Im, S.-A.; et al. Is There Any Role of Adjuvant Chemotherapy for T3N0M0 or T1N2M0 Gastric Cancer Patients in Stage II in the 7th TNM but Stage I in the 6th TNM System? Ann. Surg. Oncol. 2015, 23, 1234–1243. [Google Scholar] [CrossRef] [PubMed]
- In, H.; Kantor, O.; Sharpe, S.M.; Baker, M.S.; Talamonti, M.S.; Posner, M.C. Adjuvant Therapy Improves Survival for T2N0 Gastric Cancer Patients with Sub-optimal Lymphadenectomy. Ann. Surg. Oncol. 2016, 23, 1956–1962. [Google Scholar] [CrossRef] [PubMed]
- Bang, Y.-J.; Kim, Y.-W.; Yang, H.-K.; Chung, H.C.; Park, Y.K.; Lee, K.H.; Lee, K.-W.; Kim, Y.H.; Noh, S.-I.; Cho, J.Y.; et al. Adjuvant capecitabine and oxaliplatin for gastric cancer after D2 gastrectomy (CLASSIC): A phase 3 open-label, randomised controlled trial. Lancet 2012, 379, 315–321. [Google Scholar] [CrossRef]
- Noh, S.H.; Park, S.R.; Yang, H.-K.; Chung, H.C.; Chung, I.-J.; Kim, S.-W.; Kim, H.-H.; Choi, J.-H.; Kim, H.-K.; Yu, W.; et al. Adjuvant capecitabine plus oxaliplatin for gastric cancer after D2 gastrectomy (CLASSIC): 5-year follow-up of an open-label, randomised phase 3 trial. Lancet Oncol. 2014, 15, 1389–1396. [Google Scholar] [CrossRef]
- Bouché, O.; Ychou, M.; Burtin, P.; Bedenne, L.; Ducreux, M.; Lebreton, G.; Baulieux, J.; Nordlinger, B.; Martin, C.; Seitz, J.F.; et al. Adjuvant chemotherapy with 5-fluorouracil and cisplatin compared with surgery alone for gastric cancer: 7-year results of the FFCD randomized phase III trial (8801). Ann. Oncol. 2005, 16, 1488–1497. [Google Scholar] [CrossRef]
- Yamamoto, M.; Sakaguchi, Y.; Kinjo, N.; Yamaguchi, S.; Egashira, A.; Minami, K.; Ikeda, Y.; Morita, M.; Toh, Y.; Okamura, T. S-1 Adjuvant Chemotherapy Earlier After Surgery Clinically Correlates with Prognostic Factors for Advanced Gastric Cancer. Ann. Surg. Oncol. 2015, 23, 546–551. [Google Scholar] [CrossRef]
- Sakuramoto, S.; Sasako, M.; Yamaguchi, T.; Kinoshita, T.; Fujii, M.; Nashimoto, A.; Furukawa, H.; Nakajima, T.; Ohashi, Y.; Imamura, H.; et al. Adjuvant Chemotherapy for Gastric Cancer with S-1, an Oral Fluoropyrimidine. N. Engl. J. Med. 2007, 357, 1810–1820. [Google Scholar] [CrossRef] [PubMed]
- Chen, J.-S.; Chou, W.-C.; Kuo, Y.-C.; Lin, Y.-L.; Liau, C.-T.; Hsu, H.-C.; Liu, H.-T.; Yang, Y.-C.; Yang, T.-S.; Shen, W.-C. Modified Biweekly Oxaliplatin and Capecitabine for Advanced Gastric Cancer: A Retrospective Analysis from a Medical Center. Biomed. J. 2013, 37, 141–146. [Google Scholar] [CrossRef] [PubMed]
- Paoletti, X.; Oba, K.; Burzykowski, T.; Michiels, S.; Ohashi, Y.; Pignon, J.P.; Rougier, P.; Sakamoto, J.; Sargent, D.; Sasako, M.; et al. GASTRIC (Global Advanced/Adjuvant Stomach Tumor Research International Collaboration) Group. Benefi t of adjuvant chemotherapy for resectable gastric cancer: A meta-analysis. JAMA 2010, 303, 1729–1737. [Google Scholar] [PubMed]
- Smyth, E.C.; Verheij, M.; Allum, W.; Cunningham, D.; Cervantes, A.; Arnold, D. Gastric cancer: ESMO Clinical Practice Guidelines for diagnosis, treatment and follow-up. Ann. Oncol. 2016, 27, v38–v49. [Google Scholar] [CrossRef]
- Yoshida, K.; Kodera, Y.; Kochi, M.; Ichikawa, W.; Kakeji, Y.; Sano, T.; Nagao, N.; Takahashi, M.; Takagane, A.; Watanabe, T.; et al. Addition of Docetaxel to Oral Fluoropyrimidine Improves Efficacy in Patients With Stage IIIv Gastric Cancer: Interim Analysis of JACCRO GC-07, a Randomized Controlled Trial. J. Clin. Oncol. 2019, 37, 1296–1304. [Google Scholar] [CrossRef]
- Park, S.H.; Zang, D.Y.; Han, B.; Ji, J.H.; Kim, T.G.; Oh, S.Y.; Hwang, I.G.; Kim, J.H.; Shin, D.; Lim, D.H.; et al. ARTIST 2: Interim results of a phase III trial involving adjuvant chemotherapy and/or chemoradiotherapy after D2-gastrectomy in stage II/III gastric cancer (GC). J. Clin. Oncol. 2019, 37, 4001. [Google Scholar] [CrossRef]
- Nakamura, Y.; Yamanaka, T.; Chin, K.; Cho, H.; Katai, H.; Terashima, M.; Misawa, K.; Hirao, M.; Yoshida, K.; Oki, E.; et al. Survival Outcomes of Two Phase 2 Studies of Adjuvant Chemotherapy with S-1 Plus Oxaliplatin or Capecitabine Plus Oxaliplatin for Patients with Gastric Cancer After D2 Gastrectomy. Ann. Surg. Oncol. 2018, 26, 465–472. [Google Scholar] [CrossRef]
- Adachi, Y.; Yasuda, K.; Inomata, M.; Sato, K.; Shiraishi, N.; Kitano, S. Pathology and prognosis of gastric carcinoma: Well versus poorly differentiated type. Cancer 2000, 89, 89. [Google Scholar] [CrossRef]
- Bamboat, Z.M.; Tang, L.H.; Viñuela, E.; Kuk, D.; Gonen, M.; Shah, M.A.; Brennan, M.F.; Coit, D.G.; Strong, V.E. Stage-Stratified Prognosis of Signet Ring Cell Histology in Patients Undergoing Curative Resection for Gastric Adenocarcinoma. Ann. Surg. Oncol. 2014, 21, 1678–1685. [Google Scholar] [CrossRef] [PubMed]
- Hass, H.G.; Smith, U.; Jager, C.; Schaffer, M.; Wellhauber, U.; Hehr, T.; Markmann, H.U.; Nehls, O.; Denzlinger, C. Signet ring cell carcinoma of the stomach issignificantly associated with poor prognosis and diffusegastric cancer (Lauren’s): Single-center experience of 160cases. Oncol. Res. Treat. 2011, 34, 682–686. [Google Scholar]
- Japanese Gastric Cancer Association. Japanese gastric cancer treatment guidelines 2010 (ver. 3). Gastric Cancer 2011, 14, 113–123. [Google Scholar] [CrossRef] [PubMed]
- Postlewait, L.M.; Squires, M.H.; Kooby, D.A.; Poultsides, G.A.; Weber, S.M.; Bloomston, M.; Fields, R.C.; Pawlik, T.M.; Votanopoulos, K.I.; Schmidt, C.R.; et al. The prognostic value of signet ring cell histology in resected gastric cancer. J. Clin. Oncol. 2015, 33, 128. [Google Scholar] [CrossRef]
- Kim, B.S.; Oh, S.T.; Yook, J.H.; Kim, B.S. Signet ring cell type and other histologic types: Differing clinical course and prognosis in T1 gastric cancer. Surgery 2014, 155, 1030–1035. [Google Scholar] [CrossRef]
- Shah, M.A.; Khanin, R.; Tang, L.; Janjigian, Y.Y.; Klimstra, D.S.; Gerdes, H.; Kelsen, D.P. Molecular classification of gastric cancer: A new paradigm. Clin. Cancer Res. 2011, 17, 2693–2701. [Google Scholar] [CrossRef]
- Tan, P. Intrinsic Subtypes of Gastric Cancer, Based on Gene Expression Pattern, Predict Survival and Respond Differently to Chemotherapy. SciVee 2011, 141, 476–485. [Google Scholar] [CrossRef]
- Aoyama, T.; Yoshikawa, T.; Shirai, J.; Hayashi, T.; Yamada, T.; Tsuchida, K.; Hasegawa, S.; Cho, H.; Yukawa, N.; Oshima, T.; et al. Body Weight Loss After Surgery is an Independent Risk Factor for Continuation of S-1 Adjuvant Chemotherapy for Gastric Cancer. Ann. Surg. Oncol. 2012, 20, 2000–2006. [Google Scholar] [CrossRef]
- Ema, A.; Yamashita, K.; Sakuramoto, S.; Wang, G.; Mieno, H.; Nemoto, M.; Shibata, T.; Katada, N.; Kikuchi, S.; Watanabe, M. Lymph node ratio is a critical prognostic predictor in gastric cancer treated with S-1 chemotherapy. Gastric Cancer 2013, 17, 67–75. [Google Scholar] [CrossRef]
- Chang, S.-C.; Liu, K.-H.; Hung, C.-Y.; Tsai, C.-Y.; Hsu, J.-T.; Yeh, T.-S.; Chen, J.-S.; Kuo, Y.-C.; Hung, Y.-S.; Chou, W.-C. Adjuvant Chemotherapy Improves Survival in Stage III Gastric Cancer after D2 Surgery. J. Cancer 2018, 9, 81–91. [Google Scholar] [CrossRef]



| Variables | Before PSM | After PSM | ||||
|---|---|---|---|---|---|---|
| Doublet | S1 | p Value | Doublet | S1 | p Value | |
| N = 117 | N = 64 | N = 64 | N = 64 | |||
| Age | 0.023 | 0.476 | ||||
| ≤65 | 82 (70%) | 34 (53%) | 38 (59%) | 34 (53%) | ||
| >65 | 35 (30%) | 30 (47%) | 26 (41%) | 30 (47%) | ||
| Gender | 0.034 | 0.277 | ||||
| Male | 84 (72%) | 36 (56%) | 42 (66%) | 36 (56%) | ||
| Female | 33 (28%) | 28 (44%) | 12 (34%) | 28 (44%) | ||
| Performance status | 0.008 | 0.57 | ||||
| 0–1 | 97 (83%) | 42 (66%) | 45 (70%) | 42 (66%) | ||
| 2–3 | 20 (17%) | 22 (34%) | 19 (30%) | 22 (34%) | ||
| Differentiation | 0.133 | 1 | ||||
| W/MD | 28 (24%) | 22 (34%) | 22 (34%) | 22 (34%) | ||
| PD/SRC | 89 (76%) | 42 (66%) | 42 (66%) | 42 (66%) | ||
| Surgery | 0.758 | 0.639 | ||||
| Total gastrectomy | 20 (17%) | 12 (19%) | 10 (16%) | 12 (19%) | ||
| Subtotal gastrectomy | 97 (83%) | 52 (81%) | 54 (84%) | 52 (81%) | ||
| Pathologic T stage | 0.214 | 0.639 | ||||
| 1–2 | 10 (9%) | 12 (19%) | 10 (16%) | 12 (19%) | ||
| 3–4 | 107 (91%) | 52 (81%) | 54 (84%) | 52 (81%) | ||
| Pathologic N stage | 0.371 | 0.211 | ||||
| 0–1 | 28 (24%) | 18 (28%) | 12 (19%) | 18 (28%) | ||
| 2–3 | 89 (76%) | 46 (72%) | 52 (81%) | 46 (72%) | ||
| Pathologic stage | 0.676 | 0.676 | ||||
| II | 26 (22%) | 16 (25%) | 14 (22%) | 16 (25%) | ||
| III | 91 (78%) | 48 (75%) | 50 (78%) | 48 (75%) | ||
| LN ratio | 0.042 | 0.111 | ||||
| ≤0.21 | 51 (43%) | 38 (59%) | 29 (45%) | 38 (59%) | ||
| >0.21 | 66 (57%) | 26 (41%) | 35 (55%) | 26 (41%) | ||
| median LN removed | 15 | 18 | 16 | 18 | ||
| Variables | RFS | OS | ||
|---|---|---|---|---|
| HR (95% CI) | p Value | HR (95% CI) | p Value | |
| Age, ≤65 vs. >65 | 0.84 (0.49–1.43) | 0.517 | 0.86 (0.45–1.67) | 0.663 |
| Gender, Male vs. Female | 0.55 (0.31–1.19) | 0.145 | 0.68 (0.34–1.35) | 0.265 |
| PS, 0–1 vs. 2–3 | 0.63 (0.36–1.08) | 0.090 | 0.64 (0.33–1.33) | 0.183 |
| Differentiation, W/MD vs. PD/SRC | 0.55 (0.30–1.03) | 0.062 | 0.75 (0.37–1.52) | 0.424 |
| Stage II vs. III | 0.03 (0.01–0.27) | 0.003 | 0.03 (0.01–0.63) | 0.024 |
| LNR, ≤0.21 vs. >0.21 | 0.47 (0.27–0.82) | 0.008 | 0.37 (0.19–0.75) | 0.005 |
| Regimen, S1 vs. doublet | 0.78 (0.45–1.33) | 0.360 | 0.72 (0.37–1.37) | 0.313 |
© 2020 by the authors. Licensee MDPI, Basel, Switzerland. This article is an open access article distributed under the terms and conditions of the Creative Commons Attribution (CC BY) license (http://creativecommons.org/licenses/by/4.0/).
Share and Cite
Hsieh, M.-C.; Wang, S.-H.; Wei, C.-T.; Chen, C.-Y.; Chen, Y.-Y.; Pei, S.-N.; Tsai, Y.-F.; Rau, K.-M. S-1 versus Doublet Regimens as Adjuvant Chemotherapy in Patients with Advanced Gastric Cancer after Radical Surgery with D2 Dissection—A Propensity Score Matching Analysis. Cancers 2020, 12, 2384. https://doi.org/10.3390/cancers12092384
Hsieh M-C, Wang S-H, Wei C-T, Chen C-Y, Chen Y-Y, Pei S-N, Tsai Y-F, Rau K-M. S-1 versus Doublet Regimens as Adjuvant Chemotherapy in Patients with Advanced Gastric Cancer after Radical Surgery with D2 Dissection—A Propensity Score Matching Analysis. Cancers. 2020; 12(9):2384. https://doi.org/10.3390/cancers12092384
Chicago/Turabian StyleHsieh, Meng-Che, Shih-Ho Wang, Ching-Ting Wei, Chung-Yen Chen, Yen-Yang Chen, Sung-Nan Pei, Yu-Fen Tsai, and Kun-Ming Rau. 2020. "S-1 versus Doublet Regimens as Adjuvant Chemotherapy in Patients with Advanced Gastric Cancer after Radical Surgery with D2 Dissection—A Propensity Score Matching Analysis" Cancers 12, no. 9: 2384. https://doi.org/10.3390/cancers12092384
APA StyleHsieh, M.-C., Wang, S.-H., Wei, C.-T., Chen, C.-Y., Chen, Y.-Y., Pei, S.-N., Tsai, Y.-F., & Rau, K.-M. (2020). S-1 versus Doublet Regimens as Adjuvant Chemotherapy in Patients with Advanced Gastric Cancer after Radical Surgery with D2 Dissection—A Propensity Score Matching Analysis. Cancers, 12(9), 2384. https://doi.org/10.3390/cancers12092384

