Precision Science on Incidence and Progression of Early-Detected Small Breast Invasive Cancers by Mammographic Features
Abstract
1. Introduction
2. Results
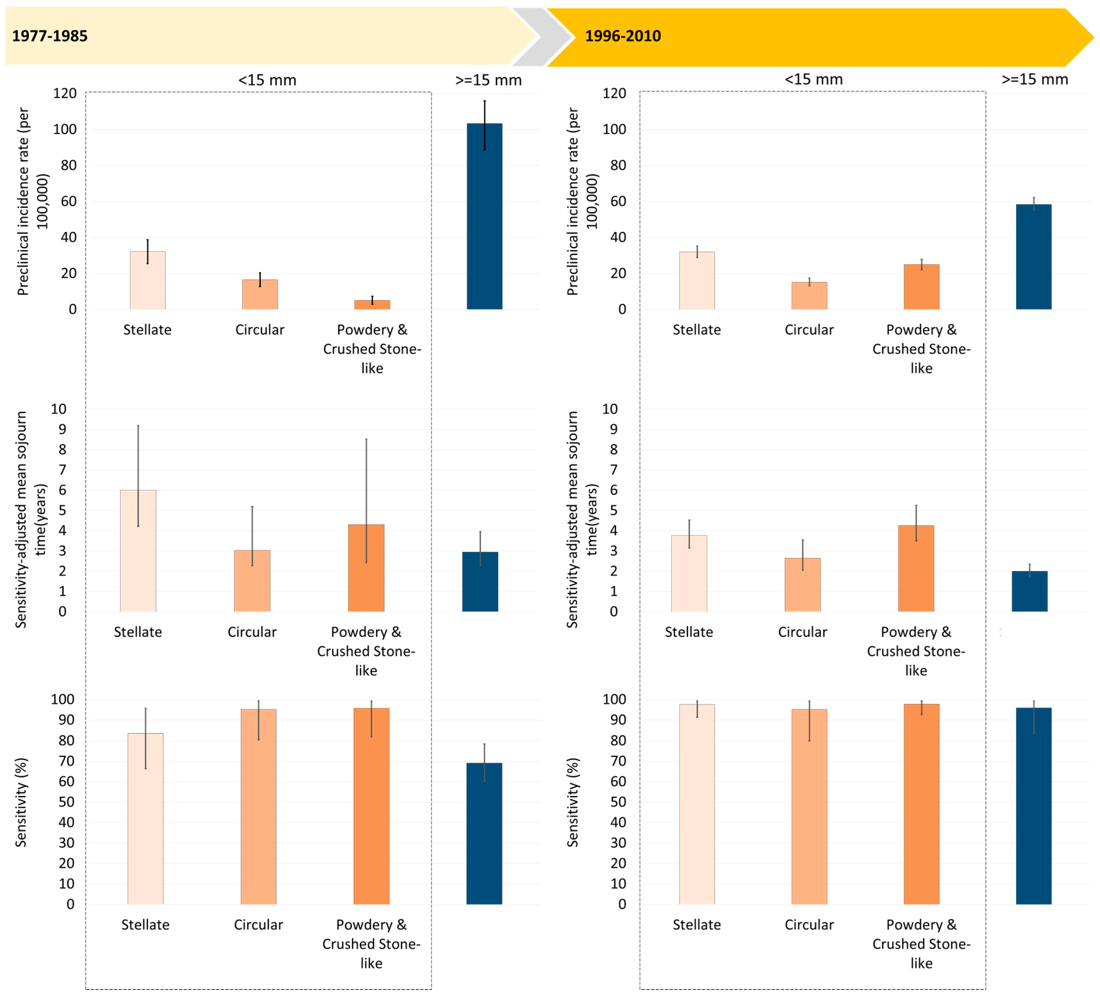
2.1. Natural History of Breast Cancers by Mammographic Features
2.2. Empirical Estimates of I/E Ratio by Mammographic Features
2.3. Interval Cancer of Different Mammographic Features by Inter-Screening Intervals and Sensitivity
3. Discussion
Precision Screening Policy on Inter-Screening Interval and Sensitivity
4. Materials and Methods
4.1. Study Framework and Design
4.2. Study Subjects
4.3. Data Collection
4.4. Statistical Analysis
5. Conclusions
Author Contributions
Funding
Conflicts of Interest
References
- Chen, T.; Yen, A.; Fann, J.; Gordon, P.; Chen, S.; Chiu, S.; Hsu, C.-Y.; Chang, K.-J.; Lee, W.-C.; Yeoh, K.; et al. Clarifying the debate on population-based screening for breast cancer with mammography: A systematic review of randomized controlled trials on mammography with Bayesian meta-analysis and causal model. Medicine 2017, 96, e5684. [Google Scholar] [CrossRef] [PubMed]
- Independent UK Panel on Breast Cancer Screening. The benefits and harms of breast cancer screening: An independent review. Lancet 2012, 380, 1778–1786. [Google Scholar] [CrossRef]
- Dibden, A.; Offman, J.; Duffy, S.W.; Gabe, R. Worldwide review and meta-analysis of cohort studies measuring the effect of mammography screening programmes on incidence-based breast cancer mortality. Cancers (Basel) 2020, 12, 976. [Google Scholar] [CrossRef]
- Chen, H.H.; Thurfjell, E.; Duffy, S.W.; Tabar, L. Evaluation by markov chain models of a non-randomised breast cancer screening programme in women aged under 50 years in Sweden. J. Epidemiol. Community Health 1998, 52, 329–335. [Google Scholar] [CrossRef][Green Version]
- Chen, H.H.; Duffy, S.W.; Tabar, L. A markov chain method to estimate the tumour progression rate from Preclinical to Clinical phase, sensitivity and positive Predictive value for mammography in breast cancer screening. Statistician 1996, 45. [Google Scholar] [CrossRef]
- Zelen, M.; Feinleib, M. On the Theory of Screening for Chronic Diseases. Biometrika 1969, 56, 601–614. [Google Scholar] [CrossRef]
- Day, N.E.; Walter, S.D. Simplified models of screening for chronic disease: Estimation procedures from mass screening programmes. Biometrics 1984, 40, 1–14. [Google Scholar] [CrossRef]
- Duffy, S.W.; Chen, H.H.; Tabar, L.; Day, N.E. Estimation of mean sojourn time in breast cancer screening using a Markov chain model of both entry to and exit from the preclinical detectable phase. Stat. Med. 1995, 14, 1531–1543. [Google Scholar] [CrossRef]
- Chen, H.H.; Duffy, S.W.; Day, N.E. Markov chain models for progression of breast cancer. Part I: Tumour attributes and the preclinical screen-detectable phase. J. Epidemiol. Biostat. 1997, 2, 9–23. [Google Scholar]
- Chen, T.H.; Kuo, H.S.; Yen, M.F.; Lai, M.S.; Tabar, L.; Duffy, S.W. Estimation of sojourn time in chronic disease screening without data on interval cases. Biometrics 2000, 56, 167–172. [Google Scholar] [CrossRef]
- Chen, H.-H.; Yen, A.M.-F.; Tabár, L. A stochastic model for calibrating the survival benefit of screen-detected cancers. J. Am. Stat. Assoc. 2012, 107, 1339–1359. [Google Scholar] [CrossRef]
- Wu, J.C.; Hakama, M.; Anttila, A.; Yen, A.M.; Malila, N.; Sarkeala, T.; Auvinen, A.; Chiu, S.Y.; Chen, H.H. Estimation of natural history parameters of breast cancer based on non-randomized organized screening data: Subsidiary analysis of effects of inter-screening interval, sensitivity, and attendance rate on reduction of advanced cancer. Breast Cancer Res. Treat. 2010, 122, 553–566. [Google Scholar] [CrossRef]
- Chen, H.H.; Tabar, L.; Fagerberg, G.; Duffy, S.W. Effect of breast cancer screening after age 65. J. Med. Screen. 1995, 2, 10–14. [Google Scholar] [CrossRef]
- Tabár, L.; Chen, H.H.; Duffy, S.W.; Yen, M.F.; Chiang, C.F.; Dean, P.B.; Smith, R.A. A novel method for prediction of long-term outcome of women with T1a, T1b, and 10-14 mm invasive breast cancers: A prospective study. Lancet 2000, 355, 429–433. [Google Scholar] [CrossRef]
- Tabar, L.; Chen, H.H.; Yen, M.F.A.; Tot, T.; Tung, T.H.; Chen, L.S.; Chiu, Y.H.; Duffy, S.W.; Smith, R.A. Mammographic tumor features can predict long-term outcomes reliably in women with 1–14-mm invasive breast carcinoma. Cancer 2004, 101, 1745–1759. [Google Scholar] [CrossRef]
- Wu, W.Y.-Y.; Tabar, L.; Tot, T.; Fann, C.-Y.; Yen, A.M.-F.; Chen, S.L.-S.; Chiu, S.Y.-H.; Ku, M.M.-S.; Hsu, C.-Y.; Beckmann, K.R.; et al. Imaging biomarkers as predictors for breast cancer death. J. Oncol. 2019, 2019, 2087983. [Google Scholar] [CrossRef]
- Tabár, L.; Dean, P. A New Era in the Diagnosis and treatment of breast cancer. Breast J. 2010, 16, S2–S4. [Google Scholar] [CrossRef]
- Schousboe, J.T.; Kerlikowske, K.; Loh, A.; Cummings, S.R. Personalizing mammography by breast density and other risk factors for breast cancer: Analysis of health benefits and cost-effectiveness. Ann. Intern. Med. 2011, 155, 10–20. [Google Scholar] [CrossRef]
- Tabár, L.; Dean, P.B.; Yen, A.M.; Tarján, M.; Chiu, S.Y.; Chen, S.L.; Fann, J.C.; Chen, T.H. A proposal to unify the classification of breast and prostate cancers based on the anatomic site of cancer origin and on long-term patient outcome. Breast Cancer (Auckl.) 2014, 8, 15–38. [Google Scholar] [CrossRef]
- Tabár, L.; Chen, H.-H.; Fagerberg, G.; Duffy, S.W.; Smith, T.C. Recent results from the swedish two-county trial: The effects of age, histologic type, and mode of detection on the efficacy of breast cancer screening. JNCI Monogr. 1997, 1997, 43–47. [Google Scholar] [CrossRef][Green Version]
- Wu, Y.-Y.; Yen, M.-F.; Yu, C.-P.; Chen, H.-H. Risk assessment of multistate progression of breast tumor with state-dependent genetic and environmental covariates. Risk Anal. 2013, 34. [Google Scholar] [CrossRef] [PubMed]
- Boyd, N.F.; Lockwood, G.A.; Martin, L.J.; Knight, J.A.; Byng, J.W.; Yaffe, M.J.; Tritchler, D.L. Mammographic densities and breast cancer risk. Breast Dis. 1998, 10, 113–126. [Google Scholar] [CrossRef] [PubMed]
- Wu, Y.Y.; Yen, M.F.; Yu, C.P.; Chen, H.H. Individually tailored screening of breast cancer with genes, tumour phenotypes, clinical attributes, and conventional risk factors. Br. J. Cancer 2013, 108. [Google Scholar] [CrossRef]
- Pharoah, P.D.; Antoniou, A.C.; Easton, D.F.; Ponder, B.A. Polygenes, risk prediction, and targeted prevention of breast cancer. N. Engl. J. Med. 2008, 358, 2796–2803. [Google Scholar] [CrossRef]
- van Veen, E.M.; Brentnall, A.R.; Byers, H.; Harkness, E.F.; Astley, S.M.; Sampson, S.; Howell, A.; Newman, W.G.; Cuzick, J.; Evans, D.G.R. Use of single-nucleotide polymorphisms and mammographic density plus classic risk factors for breast cancer risk prediction. JAMA Oncol. 2018, 4, 476–482. [Google Scholar] [CrossRef]
- Obenauer, S.; Hermann, K.; Grabbe, E. Applications and literature review of the BI-RADS classification. Eur. Radiol. 2005, 15, 1027–1036. [Google Scholar] [CrossRef]
- Tsau, H.-S.; Yen, A.M.-F.; Fann, J.C.-Y.; Wu, W.Y.-Y.; Yu, C.-P.; Chen, S.L.-S.; Chiu, S.Y.-H.; Tabár, L.; Kuo, W.-H.; Chen, H.-H.; et al. Mammographic tumour appearance and triple-negative breast cancer associated with long-term prognosis of breast cancer death: A swedish cohort study. Cancer Epidemiol. 2015, 39, 200–208. [Google Scholar] [CrossRef]
- Yen, A.M.-F.; Wu, W.Y.-Y.; Tabar, L.; Duffy, S.W.; Smith, R.A.; Chen, H.-H. Initiators and promoters for the occurrence of screen-detected breast cancer and the progression to clinically-detected interval breast cancer. J. Epidemiol. 2017, 27, 98–106. [Google Scholar] [CrossRef]
- Ciatto, S.; Houssami, N.; Bernardi, D.; Caumo, F.; Pellegrini, M.; Brunelli, S.; Tuttobene, P.; Bricolo, P.; Fantò, C.; Valentini, M.; et al. Integration of 3D digital mammography with tomosynthesis for population breast-cancer screening (STORM): A prospective comparison study. Lancet Oncol. 2013, 14. [Google Scholar] [CrossRef]
- Elizalde, A.; Pina, L.; Etxano, J.; Slon, P.; Zalazar, R.; Caballeros, M. Additional US or DBT after digital mammography: Which one is the best combination? Acta Radiol. 2016, 57. [Google Scholar] [CrossRef]
- Gilbert, F.; Tucker, L.; Gillan, M.; Willsher, P.; Cooke, J.; Duncan, K.; Michell, M.; Dobson, H.; Lim, Y.; Suaris, T.; et al. Accuracy of digital breast tomosynthesis for depicting breast cancer subgroups in a UK retrospective reading study (TOMMY Trial). Radiology 2015, 277, 142566. [Google Scholar] [CrossRef]
- Rafferty, E.A.; Park, J.M.; Philpotts, L.E.; Poplack, S.P.; Sumkin, J.H.; Halpern, E.F.; Niklason, L.T. Assessing radiologist performance using combined digital mammography and breast tomosynthesis compared with digital mammography alone: Results of a multicenter, multireader trial. Radiology 2013, 266, 104–113. [Google Scholar] [CrossRef] [PubMed]
- Skaane, P.; Bandos, A.; Gullien, R.; Eben, E.; Ekseth, U.; Haakenaasen, U.; Izadi, M.; Jebsen, I.; Jahr, G.; Krager, M.; et al. Comparison of digital mammography alone and digital mammography plus tomosynthesis in a population-based screening program. Radiology 2013, 267. [Google Scholar] [CrossRef] [PubMed]
- Fanizzi, A.; Basile, T.M.A.; Losurdo, L.; Bellotti, R.; Bottigli, U.; Dentamaro, R.; Didonna, V.; Fausto, A.; Massafra, R.; Moschetta, M.; et al. A machine learning approach on multiscale texture analysis for breast microcalcification diagnosis. BMC Bioinform. 2020, 21. [Google Scholar] [CrossRef]
- Fanizzi, A.; Losurdo, L.; Basile, T.M.A.; Bellotti, R.; Bottigli, U.; Delogu, P.; Diacono, D.; Didonna, V.; Fausto, A.; Lombardi, A.; et al. Fully Automated support system for diagnosis of breast cancer in contrast-enhanced spectral mammography images. J. Clin. Med. 2019, 8, 891. [Google Scholar] [CrossRef]
- Leach, M.O.; Boggis, C.R.M.; Dixon, A.K.; Easton, D.F.; Eeles, R.A.; Evans, D.G.R.; Gilbert, F.J.; Griebsch, I.; Hoff, R.J.C.; Kessar, P.; et al. Screening with magnetic resonance imaging and mammography of a UK population at high familial risk of breast cancer: A prospective multicentre cohort study (MARIBS). Lancet 2005, 365, 1769–1778. [Google Scholar] [CrossRef]
- Berg, W.A.; Zhang, Z.; Lehrer, D.; Jong, R.A.; Pisano, E.D.; Barr, R.G.; Böhm-Vélez, M.; Mahoney, M.C.; Evans, W.P., 3rd; Larsen, L.H.; et al. Detection of breast cancer with addition of annual screening ultrasound or a single screening MRI to mammography in women with elevated breast cancer risk. JAMA 2012, 307, 1394–1404. [Google Scholar] [CrossRef]
- Berg, W.A.; Blume, J.D.; Cormack, J.B.; Mendelson, E.B.; Lehrer, D.; Böhm-Vélez, M.; Pisano, E.D.; Jong, R.A.; Evans, W.P.; Morton, M.J.; et al. Combined screening with ultrasound and mammography vs mammography alone in women at elevated risk of breast cancer. JAMA 2008, 299, 2151–2163. [Google Scholar] [CrossRef] [PubMed]
- Gardezi, S.J.S.; Elazab, A.; Lei, B.; Wang, T. Breast Cancer detection and diagnosis using mammographic data: Systematic review. J. Med. Internet Res. 2019, 21, e14464. [Google Scholar] [CrossRef]
- McKinney, S.M.; Sieniek, M.; Godbole, V.; Godwin, J.; Antropova, N.; Ashrafian, H.; Back, T.; Chesus, M.; Corrado, G.C.; Darzi, A.; et al. International evaluation of an AI system for breast cancer screening. Nature 2020, 577, 89–94. [Google Scholar] [CrossRef]
- Tabár, L.; Gad, A.; Holmberg, L.; Ljungquist, U.; Fagerberg, C.; Baldetorp, L.; Grontoft, O.; Lundström, B.; Månson, J.; Eklund, G.; et al. Reduction in mortality from breast cancer after mass screening with mammography. Randomised trial from the Breast Cancer Screening Working Group of the Swedish National Board of Health and Welfare. Lancet 1985, 1, 829–832. [Google Scholar] [CrossRef]
- Tabár, L.; Dean, P.B. Teaching Atlas of Mammography, 2nd ed.; Thieme Inc.: New York, NY, USA, 1985. [Google Scholar]
- Hsieh, H.J.; Chen, T.H.; Chang, S.H. Assessing chronic disease progression using non-homogeneous exponential regression Markov models: An illustration using a selective breast cancer screening in Taiwan. Stat. Med. 2002, 21, 3369–3382. [Google Scholar] [CrossRef] [PubMed]
- Hsu, C.-Y.; Yen, M.-F.; Auvinen, A.; Chiu, Y.-H.; Chen, H.-H. Bayesian negative-binomial-family-based multistate Markov model for the evaluation of periodic population-based cancer screening considering incomplete information and measurement errors. Stat. Methods Med. Res. 2016, 27, 2519–2539. [Google Scholar] [CrossRef]
- Spiegelhalter, D.; Thomas, A.; Best, N.; Gilks, W. BUGS: Bayesian Inference Using Gibbs Sampling, Version 0.50. MRC Biostatistics Unit, Cambridge. Available online: www.mrc-bsu.cam.ac.uk/bugs/winbugs/contents.shtml. (accessed on 19 August 2003).
- Gilks, W.R.; Thomas, A.; Spiegelhalter, D.J. A language and program for Complex bayesian modelling. J. R. Stat. Soc. Ser. D (Stat.) 1994, 43, 169–177. [Google Scholar] [CrossRef]







| Inter-Screening | Sensitivity (%) | (IE Ratio × 100) % | |||
|---|---|---|---|---|---|
| Stellate | Circular | Powdery & Crushed Stone | Size ≥ 15 mm | ||
| (a) 1977–1985 | |||||
| 1 | 40 | 24 | 34 | 29 | 36 |
| 2 | 42 | 54 | 48 | 56 | |
| 3 | 54 | 66 | 60 | 68 | |
| 1 | 50 | 21 | 30 | 26 | 32 |
| 2 | 37 | 49 | 43 | 51 | |
| 3 | 49 | 61 | 55 | 63 | |
| 1 | 60 | 19 | 27 | 23 | 29 |
| 2 | 33 | 44 | 39 | 46 | |
| 3 | 43 | 55 | 50 | 58 | |
| 1 | 80 | 13 | 20 | 17 | 22 |
| 2 | 24 | 35 | 29 | 37 | |
| 3 | 32 | 45 | 39 | 47 | |
| 1 | 100 | 8 | 14 | 11 | 15 |
| 2 | 15 | 25 | 20 | 27 | |
| 3 | 21 | 34 | 28 | 37 | |
| 1 | Estimated sensitivity | 12 | 15 | 12 | 26 |
| 2 | 22 | 27 | 22 | 42 | |
| 3 | 31 | 37 | 30 | 53 | |
| (b) 1996–2010 | |||||
| 1 | 40 | 31 | 38 | 29 | 45 |
| 2 | 51 | 59 | 48 | 65 | |
| 3 | 63 | 70 | 61 | 76 | |
| 1 | 50 | 28 | 35 | 26 | 41 |
| 2 | 46 | 54 | 43 | 61 | |
| 3 | 58 | 65 | 55 | 71 | |
| 1 | 60 | 25 | 31 | 23 | 37 |
| 2 | 41 | 49 | 39 | 56 | |
| 3 | 52 | 60 | 50 | 67 | |
| 1 | 80 | 19 | 24 | 17 | 29 |
| 2 | 32 | 39 | 29 | 46 | |
| 3 | 42 | 50 | 39 | 57 | |
| 1 | 100 | 12 | 17 | 11 | 21 |
| 2 | 22 | 30 | 20 | 37 | |
| 3 | 31 | 40 | 28 | 48 | |
| 1 | Estimated sensitivity | 13 | 18 | 11 | 23 |
| 2 | 23 | 32 | 21 | 39 | |
| 3 | 32 | 43 | 29 | 50 | |
© 2020 by the authors. Licensee MDPI, Basel, Switzerland. This article is an open access article distributed under the terms and conditions of the Creative Commons Attribution (CC BY) license (http://creativecommons.org/licenses/by/4.0/).
Share and Cite
Chang, R.W.-J.; Chuang, S.-L.; Hsu, C.-Y.; Yen, A.M.-F.; Wu, W.Y.-Y.; Chen, S.L.-S.; Fann, J.C.-Y.; Tabar, L.; Smith, R.A.; Duffy, S.W.; et al. Precision Science on Incidence and Progression of Early-Detected Small Breast Invasive Cancers by Mammographic Features. Cancers 2020, 12, 1855. https://doi.org/10.3390/cancers12071855
Chang RW-J, Chuang S-L, Hsu C-Y, Yen AM-F, Wu WY-Y, Chen SL-S, Fann JC-Y, Tabar L, Smith RA, Duffy SW, et al. Precision Science on Incidence and Progression of Early-Detected Small Breast Invasive Cancers by Mammographic Features. Cancers. 2020; 12(7):1855. https://doi.org/10.3390/cancers12071855
Chicago/Turabian StyleChang, Rene Wei-Jung, Shu-Lin Chuang, Chen-Yang Hsu, Amy Ming-Fang Yen, Wendy Yi-Ying Wu, Sam Li-Sheng Chen, Jean Ching-Yuan Fann, Laszlo Tabar, Robert A. Smith, Stephen W. Duffy, and et al. 2020. "Precision Science on Incidence and Progression of Early-Detected Small Breast Invasive Cancers by Mammographic Features" Cancers 12, no. 7: 1855. https://doi.org/10.3390/cancers12071855
APA StyleChang, R. W.-J., Chuang, S.-L., Hsu, C.-Y., Yen, A. M.-F., Wu, W. Y.-Y., Chen, S. L.-S., Fann, J. C.-Y., Tabar, L., Smith, R. A., Duffy, S. W., Chiu, S. Y.-H., & Chen, H.-H. (2020). Precision Science on Incidence and Progression of Early-Detected Small Breast Invasive Cancers by Mammographic Features. Cancers, 12(7), 1855. https://doi.org/10.3390/cancers12071855

