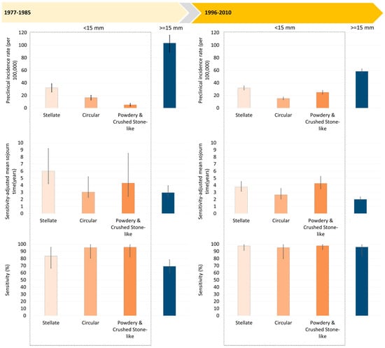
Precision Science on Incidence and Progression of Early-Detected Small Breast Invasive Cancers by Mammographic Features
Abstract
Share and Cite
Chang, R.W.-J.; Chuang, S.-L.; Hsu, C.-Y.; Yen, A.M.-F.; Wu, W.Y.-Y.; Chen, S.L.-S.; Fann, J.C.-Y.; Tabar, L.; Smith, R.A.; Duffy, S.W.; et al. Precision Science on Incidence and Progression of Early-Detected Small Breast Invasive Cancers by Mammographic Features. Cancers 2020, 12, 1855. https://doi.org/10.3390/cancers12071855
Chang RW-J, Chuang S-L, Hsu C-Y, Yen AM-F, Wu WY-Y, Chen SL-S, Fann JC-Y, Tabar L, Smith RA, Duffy SW, et al. Precision Science on Incidence and Progression of Early-Detected Small Breast Invasive Cancers by Mammographic Features. Cancers. 2020; 12(7):1855. https://doi.org/10.3390/cancers12071855
Chicago/Turabian StyleChang, Rene Wei-Jung, Shu-Lin Chuang, Chen-Yang Hsu, Amy Ming-Fang Yen, Wendy Yi-Ying Wu, Sam Li-Sheng Chen, Jean Ching-Yuan Fann, Laszlo Tabar, Robert A. Smith, Stephen W. Duffy, and et al. 2020. "Precision Science on Incidence and Progression of Early-Detected Small Breast Invasive Cancers by Mammographic Features" Cancers 12, no. 7: 1855. https://doi.org/10.3390/cancers12071855
APA StyleChang, R. W.-J., Chuang, S.-L., Hsu, C.-Y., Yen, A. M.-F., Wu, W. Y.-Y., Chen, S. L.-S., Fann, J. C.-Y., Tabar, L., Smith, R. A., Duffy, S. W., Chiu, S. Y.-H., & Chen, H.-H. (2020). Precision Science on Incidence and Progression of Early-Detected Small Breast Invasive Cancers by Mammographic Features. Cancers, 12(7), 1855. https://doi.org/10.3390/cancers12071855

