Prognostic Significance of the Pluripotency Factors NANOG, SOX2, and OCT4 in Head and Neck Squamous Cell Carcinomas
Abstract
1. Introduction
2. Patients and Methods
2.1. Patients and Tissue Specimens
2.2. Tissue Microarray (TMA) Construction and Immunohistochemistry
2.3. RNA Extraction and Real-Time RT-PCR
2.4. Statistical Analysis
3. Results
3.1. Patient Characteristics
3.2. NANOG, SOX2, and OCT4 Protein Expression in HNSCC Tissue Specimens
3.3. Associations with Clinicopathological Parameters
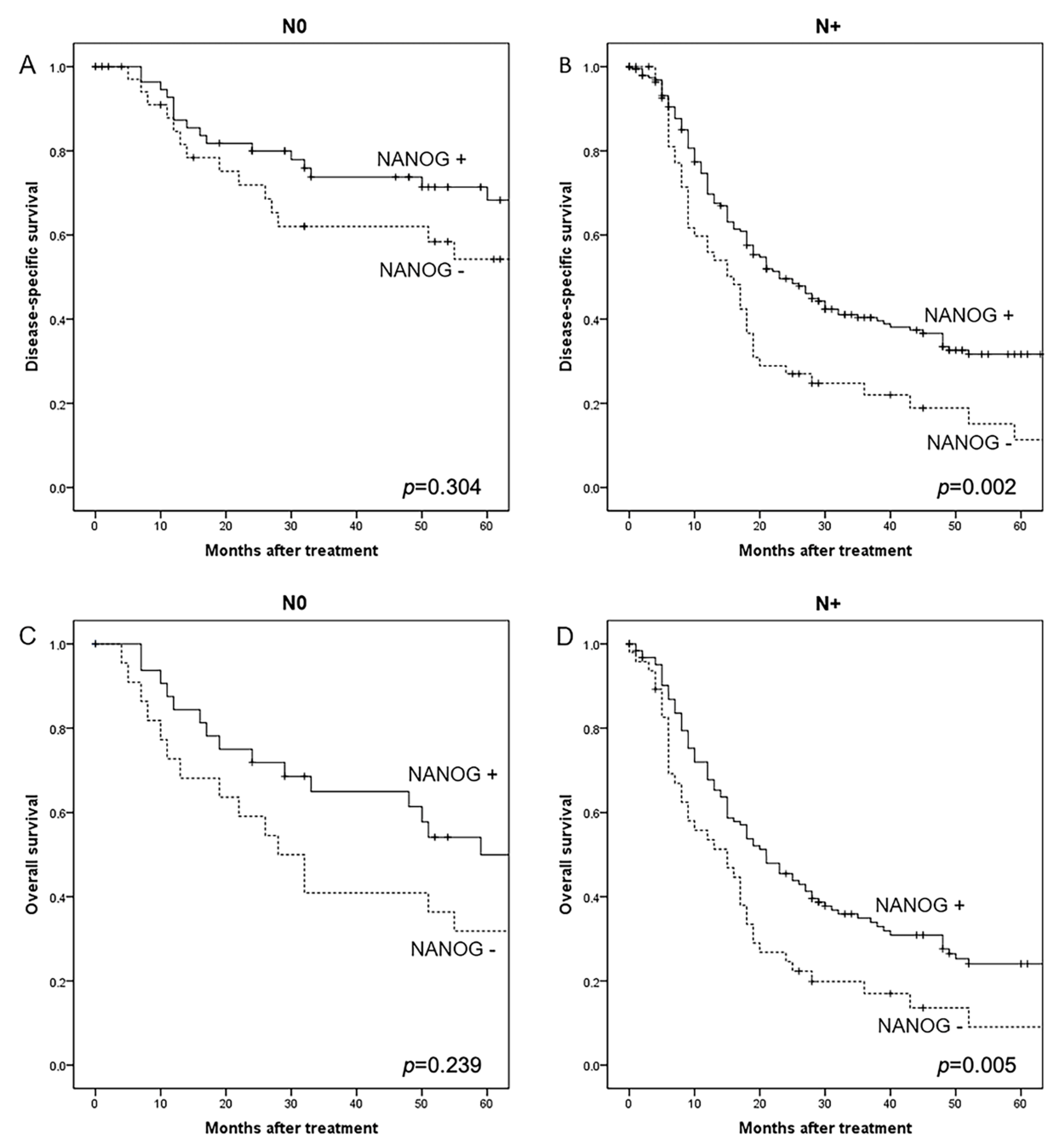
3.4. Impact on Patient Prognosis
3.5. In Silico Analysis of NANOG and SOX2 mRNA Expression Using The Cancer Genome Atlas Data
4. Discussion
5. Conclusions
Supplementary Materials
Author Contributions
Funding
Acknowledgments
Conflicts of Interest
References
- Chow, L.Q.M. Head and Neck Cancer. N. Engl. J. Med. 2020, 382, 60–72. [Google Scholar] [CrossRef] [PubMed]
- Morse, D.E.; Psoter, W.J.; Cleveland, D.; Cohen, D.; Mohit-Tabatabai, M.; Kosis, D.L.; Eisenberg, E. Smoking and drinking in relation to oral cancer and oral epithelial dysplasia. Cancer Causes Control 2007, 18, 919–929. [Google Scholar] [CrossRef] [PubMed]
- Clarke, M.F.; Dick, J.E.; Dirks, P.B.; Eaves, C.J.; Jamieson, C.H.M.; Jones, D.L.; Visvader, J.; Weissman, I.L.; Wahl, G.M. Cancer stem cells-perspectives on current status and future directions: AACR Workshop on cancer stem cells. Cancer Res. 2006, 66, 9339–9344. [Google Scholar] [CrossRef] [PubMed]
- Chiou, S.-H.; Yu, C.-C.; Huang, C.-Y.; Lin, S.-C.; Liu, C.-J.; Tsai, T.-H.; Chou, S.-H.; Chien, C.-S.; Ku, H.-H.; Lo, J.-F. Positive Correlations of Oct-4 and Nanog in Oral Cancer Stem-Like Cells and High-Grade Oral Squamous Cell Carcinoma. Clin. Cancer Res. 2008, 14, 4085–4095. [Google Scholar] [CrossRef]
- Major, A.G.; Pitty, L.P.; Farah, C.S. Cancer Stem Cell Markers in Head and Neck Squamous Cell Carcinoma. Stem Cells Int. 2013, 2013, 1–13. [Google Scholar] [CrossRef]
- Satpute, P.S.; Hazarey, V.; Ahmed, R.; Yadav, L. Cancer stem cells in head and neck squamous cell carcinoma: A review. Asian Pac. J. Cancer Prev. 2013, 14, 5579–5587. [Google Scholar] [CrossRef]
- Patel, S.; Shah, K.A.; Shah, M.J.; Kothari, K.C.; Rawal, R.M. Cancer stem cells and stemness markers in oral squamous cell carcinomas. Asian Pac. J. Cancer Prev. 2014, 15, 8549–8556. [Google Scholar] [CrossRef]
- Schröck, A.; Bode, M.; Göke, F.J.M.; Bareiss, P.M.; Schairer, R.; Wang, H.; Weichert, W.; Franzen, A.; Kirsten, R.; van Bremen, T.; et al. Expression and role of the embryonic protein SOX2 in head and neck squamous cell carcinoma. Carcinogenesis 2014, 35, 1636–1642. [Google Scholar] [CrossRef]
- Kokalj Vokač, N.; Čizmarević, B.; Zagorac, A.; Zagradišnik, B.; Lanišnik, B. An evaluation of SOX2 and hTERC gene amplifications as screening markers in oral and oropharyngeal squamous cell carcinomas. Mol. Cytogenet. 2014, 7, 5. [Google Scholar] [CrossRef][Green Version]
- González-Márquez, R.; Llorente, J.L.; Rodrigo, J.P.; García-Pedrero, J.M.; Álvarez-Marcos, C.; Suárez, C.; Hermsen, M.A. SOX2 expression in hypopharyngeal, laryngeal, and sinonasal squamous cell carcinoma. Hum. Pathol. 2014, 45, 851–857. [Google Scholar] [CrossRef]
- Baillie, R.; Tan, S.T.; Itinteang, T. Cancer Stem Cells in Oral Cavity Squamous Cell Carcinoma: A Review. Front. Oncol. 2017, 7, 112. [Google Scholar] [CrossRef] [PubMed]
- Curtarelli, R.B.; Gonçalves, J.M.; dos Santos, L.G.P.; Savi, M.G.; Nör, J.E.; Mezzomo, L.A.M.; Rodríguez Cordeiro, M.M. Expression of Cancer Stem Cell Biomarkers in Human Head and Neck Carcinomas: A Systematic Review. Stem Cell Rev. Rep. 2018, 14, 769–784. [Google Scholar] [CrossRef] [PubMed]
- Li, X.; Wang, J.; Xu, Z.; Ahmad, A.; Li, E.; Wang, Y.; Qin, S.; Wang, Q. Expression of Sox2 and Oct4 and Their Clinical Significance in Human Non-Small-Cell Lung Cancer. Int. J. Mol. Sci. 2012, 13, 7663–7675. [Google Scholar] [CrossRef] [PubMed]
- Habu, N.; Imanishi, Y.; Kameyama, K.; Shimoda, M.; Tokumaru, Y.; Sakamoto, K.; Fujii, R.; Shigetomi, S.; Otsuka, K.; Sato, Y.; et al. Expression of Oct3/4 and Nanog in the head and neck squamous carcinoma cells and its clinical implications for delayed neck metastasis in stage I/II oral tongue squamous cell carcinoma. BMC Cancer 2015, 15, 730. [Google Scholar] [CrossRef]
- Fu, T.-Y.; Hsieh, I.-C.; Cheng, J.-T.; Tsai, M.-H.; Hou, Y.-Y.; Lee, J.-H.; Liou, H.-H.; Huang, S.-F.; Chen, H.-C.; Yen, L.-M.; et al. Association of OCT4, SOX2, and NANOG expression with oral squamous cell carcinoma progression. J. Oral Pathol. Med. 2016, 45, 89–95. [Google Scholar] [CrossRef]
- Kashyap, V.; Rezende, N.C.; Scotland, K.B.; Shaffer, S.M.; Persson, J.L.; Gudas, L.J.; Mongan, N.P. Regulation of stem cell pluripotency and differentiation involves a mutual regulatory circuit of the NANOG, OCT4, and SOX2 pluripotency transcription factors with polycomb repressive complexes and stem cell microRNAs. Stem Cells Dev. 2009, 18, 1093–1108. [Google Scholar] [CrossRef]
- Destro Rodrigues, M.F.S.; Sedassari, B.T.; Esteves, C.M.; de Andrade, N.P.; Altemani, A.; De Sousa, S.C.O.M.; Nunes, F.D. Embryonic stem cells markers Oct4 and Nanog correlate with perineural invasion in human salivary gland mucoepidermoid carcinoma. J. Oral Pathol. Med. 2017, 46, 112–120. [Google Scholar] [CrossRef]
- Chambers, I.; Colby, D.; Robertson, M.; Nichols, J.; Lee, S.; Tweedie, S.; Smith, A. Functional expression cloning of Nanog, a pluripotency sustaining factor in embryonic stem cells. Cell 2003, 113, 643–655. [Google Scholar] [CrossRef]
- Adachi, K.; Suemori, H.; Yasuda, S.-Y.; Nakatsuji, N.; Kawase, E. Role of SOX2 in maintaining pluripotency of human embryonic stem cells. Genes Cells Devoted Mol. Cell. Mech. 2010, 15, 455–470. [Google Scholar] [CrossRef]
- Huang, C.-F.; Xu, X.-R.; Wu, T.-F.; Sun, Z.-J.; Zhang, W.-F. Correlation of ALDH1, CD44, OCT4 and SOX2 in tongue squamous cell carcinoma and their association with disease progression and prognosis. J. Oral Pathol. Med. 2014, 43, 492–498. [Google Scholar] [CrossRef]
- Rodrigo, J.P.; Heideman, D.A.M.; García-Pedrero, J.M.; Fresno, M.F.; Brakenhoff, R.H.; Díaz Molina, J.P.; Snijders, P.J.F.; Hermsen, M.A. Time trends in the prevalence of HPV in oropharyngeal squamous cell carcinomas in northern Spain (1990–2009): HPV Incidence in Oropharynx Cancer. Int. J. Cancer 2014, 134, 487–492. [Google Scholar] [CrossRef] [PubMed]
- Rodrigo, J.P.; Hermsen, M.A.; Fresno, M.F.; Brakenhoff, R.H.; García-Velasco, F.; Snijders, P.J.F.; Heideman, D.A.M.; García-Pedrero, J.M. Prevalence of human papillomavirus in laryngeal and hypopharyngeal squamous cell carcinomas in northern Spain. Cancer Epidemiol. 2015, 39, 37–41. [Google Scholar] [CrossRef]
- Rodrigo, J.P.; Villaronga, M.Á.; Menéndez, S.T.; Hermida-Prado, F.; Quer, M.; Vilaseca, I.; Allonca, E.; Mallo, D.P.; Astudillo, A.; García-Pedrero, J.M. A Novel Role For Nanog As An Early Cancer Risk Marker In Patients With Laryngeal Precancerous Lesions. Sci. Rep. 2017, 7, 1–7. [Google Scholar] [CrossRef] [PubMed]
- Cancer Genome Atlas Network. Comprehensive genomic characterization of head and neck squamous cell carcinomas. Nature 2015, 517, 576–582. [Google Scholar] [CrossRef] [PubMed]
- Cerami, E.; Gao, J.; Dogrusoz, U.; Gross, B.E.; Sumer, S.O.; Aksoy, B.A.; Jacobsen, A.; Byrne, C.J.; Heuer, M.L.; Larsson, E.; et al. The cBio cancer genomics portal: An open platform for exploring multidimensional cancer genomics data. Cancer Discov. 2012, 2, 401–404. [Google Scholar] [CrossRef] [PubMed]
- Qian, X.; Ma, C.; Nie, X.; Lu, J.; Lenarz, M.; Kaufmann, A.M.; Albers, A.E. Biology and immunology of cancer stem(-like) cells in head and neck cancer. Crit. Rev. Oncol. Hematol. 2015, 95, 337–345. [Google Scholar] [CrossRef]
- Granda-Díaz, R.; Menéndez, S.T.; Pedregal Mallo, D.; Hermida-Prado, F.; Rodríguez, R.; Suárez-Fernández, L.; Vallina, A.; Sánchez-Canteli, M.; Rodríguez, A.; Fernández-García, M.S.; et al. The Novel Role of SOX2 as an Early Predictor of Cancer Risk in Patients with Laryngeal Precancerous Lesions. Cancers 2019, 11, 286. [Google Scholar] [CrossRef]
- Luo, W.; Li, S.; Peng, B.; Ye, Y.; Deng, X.; Yao, K. Embryonic Stem Cells Markers SOX2, OCT4 and Nanog Expression and Their Correlations with Epithelial-Mesenchymal Transition in Nasopharyngeal Carcinoma. PLoS ONE 2013, 8, e56324. [Google Scholar] [CrossRef]
- Sholl, L.M.; Barletta, J.A.; Yeap, B.Y.; Chirieac, L.R.; Hornick, J.L. Sox2 protein expression is an independent poor prognostic indicator in stage I lung adenocarcinoma. Am. J. Surg. Pathol. 2010, 34, 1193–1198. [Google Scholar] [CrossRef]
- Park, E.; Park, S.Y.; Sun, P.L.; Jin, Y.; Kim, J.E.; Jheon, S.; Kim, K.; Lee, C.T.; Kim, H.; Chung, J.H. Prognostic significance of stem cell-related marker expression and its correlation with histologic subtypes in lung adenocarcinoma. Oncotarget 2016, 7, 42502–42512. [Google Scholar] [CrossRef]
- Koh, Y.W.; Han, J.H.; Haam, S.; Jung, J. ALDH1 expression correlates with an epithelial-like phenotype and favorable prognosis in lung adenocarcinoma: A study based on immunohistochemistry and mRNA expression data. J. Cancer Res. Clin. Oncol. 2019, 145, 1427–1436. [Google Scholar] [CrossRef] [PubMed]
- Ying, J.; Shi, C.; Li, C.S.; Hu, L.P.; Zhang, W.D. Expression and significance of SOX2 in non-small cell lung carcinoma. Oncol. Lett. 2016, 12, 3195–3198. [Google Scholar] [CrossRef] [PubMed]
- Masciale, V.; Grisendi, G.; Banchelli, F.; D’Amico, R.; Maiorana, A.; Sighinolfi, P.; Stefani, A.; Morandi, U.; Dominici, M.; Aramini, B. Isolation and Identification of Cancer Stem-Like Cells in Adenocarcinoma and Squamous Cell Carcinoma of the Lung: A Pilot Study. Front. Oncol. 2019, 9, 1394. [Google Scholar] [CrossRef] [PubMed]
- De Vicente, J.C.; Rodríguez-Santamarta, T.; Rodrigo, J.P.; Allonca, E.; Vallina, A.; Singhania, A.; Donate-Pérez del Molino, P.; García-Pedrero, J.M. The Emerging Role of NANOG as an Early Cancer Risk Biomarker in Patients with Oral Potentially Malignant Disorders. J. Clin. Med. 2019, 8, 1376. [Google Scholar] [CrossRef]
- Yu, M.A.; Kiang, A.; Wang-Rodriguez, J.; Rahimy, E.; Haas, M.; Yu, V.; Ellies, L.G.; Chen, J.; Fan, J.B.; Brumund, K.T.; et al. Nicotine promotes acquisition of stem cell and epithelial-to-mesenchymal properties in head and neck squamous cell carcinoma. PLoS ONE 2012, 7, e51967. [Google Scholar] [CrossRef]
- Schaal, C.M.; Bora-Singhal, N.; Kumar, D.M.; Chellappan, S.P. Regulation of Sox2 and stemness by nicotine and electronic-cigarettes in non-small cell lung cancer. Mol. Cancer 2018, 17, 149. [Google Scholar] [CrossRef]
- Tsai, L.-L.; Yu, C.-C.; Chang, Y.-C.; Yu, C.-H.; Chou, M.-Y. Markedly increased Oct4 and Nanog expression correlates with cisplatin resistance in oral squamous cell carcinoma: Stemness markers and chemo-resistance. J. Oral Pathol. Med. 2011, 40, 621–628. [Google Scholar] [CrossRef]
- Lee, H.-J.; Kang, Y.-H.; Lee, J.-S.; Byun, J.-H.; Kim, U.-K.; Jang, S.-J.; Rho, G.-J.; Park, B.-W. Positive expression of NANOG, mutant p53, and CD44 is directly associated with clinicopathological features and poor prognosis of oral squamous cell carcinoma. BMC Oral Health 2015, 15, 153. [Google Scholar] [CrossRef]
- Zhao, L.; Liu, J.; Chen, S.; Fang, C.; Zhang, X.; Luo, Z. Prognostic significance of NANOG expression in solid tumors: A meta-analysis. OncoTargets Ther. 2018, 11, 5515–5526. [Google Scholar] [CrossRef]
- Liu, K.; Lin, B.; Zhao, M.; Yang, X.; Chen, M.; Gao, A.; Liu, F.; Que, J.; Lan, X. The multiple roles for Sox2 in stem cell maintenance and tumorigenesis. Cell. Signal. 2013, 25, 1264–1271. [Google Scholar] [CrossRef]
- Chou, M.-Y.; Hu, F.-W.; Yu, C.-H.; Yu, C.-C. Sox2 expression involvement in the oncogenicity and radiochemoresistance of oral cancer stem cells. Oral Oncol. 2015, 51, 31–39. [Google Scholar] [CrossRef]
- Du, L.; Yang, Y.; Xiao, X.; Wang, C.; Zhang, X.; Wang, L.; Zhang, X.; Li, W.; Zheng, G.; Wang, S.; et al. Sox2 nuclear expression is closely associated with poor prognosis in patients with histologically node-negative oral tongue squamous cell carcinoma. Oral Oncol. 2011, 47, 709–713. [Google Scholar] [CrossRef] [PubMed]
- Züllig, L.; Roessle, M.; Weber, C.; Graf, N.; Haerle, S.K.; Jochum, W.; Stoeckli, S.J.; Moch, H.; Huber, G.F. High sex determining region Y-box 2 expression is a negative predictor of occult lymph node metastasis in early squamous cell carcinomas of the oral cavity. Eur. J. Cancer 2013, 49, 1915–1922. [Google Scholar] [CrossRef] [PubMed]
- Baumeister, P.; Hollmann, A.; Kitz, J.; Afthonidou, A.; Simon, F.; Shakhtour, J.; Mack, B.; Kranz, G.; Libl, D.; Leu, M.; et al. High Expression of EpCAM and Sox2 is a Positive Prognosticator of Clinical Outcome for Head and Neck Carcinoma. Sci. Rep. 2018, 8, 14582. [Google Scholar] [CrossRef] [PubMed]
- Chung, J.H.; Jung, H.R.; Jung, A.R.; Lee, Y.C.; Kong, M.; Lee, J.-S.; Eun, Y.-G. SOX2 activation predicts prognosis in patients with head and neck squamous cell carcinoma. Sci. Rep. 2018, 8, 1677. [Google Scholar] [CrossRef] [PubMed]
- Bochen, F.; Adisurya, H.; Wemmert, S.; Lerner, C.; Greiner, M.; Zimmermann, R.; Hasenfus, A.; Wagner, M.; Smola, S.; Pfuhl, T.; et al. Effect of 3q oncogenes SEC62 and SOX2 on lymphatic metastasis and clinical outcome of head and neck squamous cell carcinomas. Oncotarget 2017, 8. [Google Scholar] [CrossRef] [PubMed]
- Hussenet, T.; Du Manoir, S. SOX2 in squamous cell carcinoma: Amplifying a pleiotropic oncogene along carcinogenesis. Cell Cycle 2010, 9, 1480–1486. [Google Scholar] [CrossRef]
- Chen, Y.-C.; Chang, C.-J.; Hsu, H.-S.; Chen, Y.-W.; Tai, L.-K.; Tseng, L.-M.; Chiou, G.-Y.; Chang, S.-C.; Kao, S.-Y.; Chiou, S.-H.; et al. Inhibition of tumorigenicity and enhancement of radiochemosensitivity in head and neck squamous cell cancer-derived ALDH1-positive cells by knockdown of Bmi-1. Oral Oncol. 2010, 46, 158–165. [Google Scholar] [CrossRef]
- Zhang, P.; Zhang, Y.; Mao, L.; Zhang, Z.; Chen, W. Side population in oral squamous cell carcinoma possesses tumor stem cell phenotypes. Cancer Lett. 2009, 277, 227–234. [Google Scholar] [CrossRef]
- Fan, Z.; Li, M.; Chen, X.; Wang, J.; Liang, X.; Wang, H.; Wang, Z.; Cheng, B.; Xia, J. Prognostic Value of Cancer Stem Cell Markers in Head and Neck Squamous Cell Carcinoma: A Meta-analysis. Sci. Rep. 2017, 7, 43008. [Google Scholar] [CrossRef]
- Wang, X.; Dai, J. Isoforms of OCT4 Contribute to the Confusing Diversity in Stem Cell Biology. Stem Cells 2010, 28, 885–893. [Google Scholar] [CrossRef] [PubMed]
- Menendez, S.T.; Rey, V.; Martinez-Cruzado, L.; Gonzalez, M.V.; Morales-Molina, A.; Santos, L.; Blanco, V.; Alvarez, C.; Estupiñan, O.; Allonca, E.; et al. SOX2 Expression and Transcriptional Activity Identifies a Subpopulation of Cancer Stem Cells in Sarcoma with Prognostic Implications. Cancers 2020, 12. [Google Scholar] [CrossRef] [PubMed]



| Characteristic | No. | NANOG-Positive Expression (%) | p Value | SOX2-Positive Expression (%) | p Value |
|---|---|---|---|---|---|
| pT classification | |||||
| T1–T2 | 106 | 80 (75) | 0.350 | 36 (34) | 0.163 |
| T3 | 116 | 78 (67) | 39 (34) | ||
| T4 | 125 | 92 (74) | 30 (24) | ||
| pN classification | |||||
| N0 | 94 | 56 (60) | 0.003 | 29 (31) | 0.896 |
| N1–3 | 254 | 194 (76) | 76 (30) | ||
| Disease stage | |||||
| I–II | 38 | 25 (66) | 0.204 | 12 (32) | 0.754 |
| III | 59 | 38 (64) | 20 (34) | ||
| IV | 251 | 187 (75) | 73 (29) | ||
| Pathological grade | |||||
| Well-differentiated | 135 | 88 (65) | 0.084 | 40 (30) | 0.740 |
| Moderately differentiated | 139 | 104 (75) | 45 (32) | ||
| Poorly differentiated | 73 | 57 (78) | 20 (27) | ||
| Site | |||||
| Oropharynx | 229 | 157 (69) | 0.019 | 56 (24) | 0.002 |
| Hypopharynx | 60 | 52 (87) | 21 (35) | ||
| Larynx | 59 | 41 (69) | 28 (47) | ||
| Total cases | 348 | 250 (72) | 105 (30) | ||
| Variables | HR | 95% CI | p |
|---|---|---|---|
| T (3–4/1–2) | 1.153 | 1.033–1.288 | 0.011 |
| N (+/−) | 2.619 | 1.756–3.906 | 0.000 |
| G (3/1–2) | 1.494 | 1.071–2.085 | 0.018 |
| Location (pharynx/larynx) | 0.695 | 0.448–1.077 | 0.103 |
| NANOG (+/−) | 0.783 | 0.662–0.927 | 0.004 |
| SOX2 (+/−) | 0.961 | 0.685–1.349 | 0.820 |
| Patients | NANOG-Positive Expression | NANOG-Negative Expression | p | SOX2-Positive Expression | SOX2-Negative Expression | p | Double-Positive Expression | Double-Negative Expression | p |
|---|---|---|---|---|---|---|---|---|---|
| Whole tumor series | |||||||||
| DSS | 40% | 29% | 0.055 | 42% | 35% | 0.101 | 40% | 26% | 0.019 |
| OS | 28% | 20% | 0.012 | 26% | 26% | 0.221 | 24% | 17% | 0.015 |
| Oropharyngeal tumors | |||||||||
| DSS | 43% | 22% | 0.013 | 43% | 35% | 0.312 | 40% | 18% | 0.031 |
| OS | 29% | 16% | 0.011 | 28% | 24% | 0.319 | 25% | 13% | 0.027 |
| Hypopharyngeal tumors | |||||||||
| DSS | 26% | 14% | 0.126 | 20% | 26% | 0.420 | 20% | 14% | 0.095 |
| OS | 21% | 13% | 0.049 | 14% | 23% | 0.696 | 14% | 13% | 0.106 |
| Laryngeal tumors | |||||||||
| DSS | 52% | 58% | 0.580 | 57% | 50% | 0.681 | 57% | 59% | 0.734 |
| OS | 36% | 38% | 0.951 | 34% | 38% | 0.885 | 32% | 36% | 0.887 |
© 2020 by the authors. Licensee MDPI, Basel, Switzerland. This article is an open access article distributed under the terms and conditions of the Creative Commons Attribution (CC BY) license (http://creativecommons.org/licenses/by/4.0/).
Share and Cite
Pedregal-Mallo, D.; Hermida-Prado, F.; Granda-Díaz, R.; Montoro-Jiménez, I.; Allonca, E.; Pozo-Agundo, E.; Álvarez-Fernández, M.; Álvarez-Marcos, C.; García-Pedrero, J.M.; Rodrigo, J.P. Prognostic Significance of the Pluripotency Factors NANOG, SOX2, and OCT4 in Head and Neck Squamous Cell Carcinomas. Cancers 2020, 12, 1794. https://doi.org/10.3390/cancers12071794
Pedregal-Mallo D, Hermida-Prado F, Granda-Díaz R, Montoro-Jiménez I, Allonca E, Pozo-Agundo E, Álvarez-Fernández M, Álvarez-Marcos C, García-Pedrero JM, Rodrigo JP. Prognostic Significance of the Pluripotency Factors NANOG, SOX2, and OCT4 in Head and Neck Squamous Cell Carcinomas. Cancers. 2020; 12(7):1794. https://doi.org/10.3390/cancers12071794
Chicago/Turabian StylePedregal-Mallo, Daniel, Francisco Hermida-Prado, Rocío Granda-Díaz, Irene Montoro-Jiménez, Eva Allonca, Esperanza Pozo-Agundo, Mónica Álvarez-Fernández, César Álvarez-Marcos, Juana M. García-Pedrero, and Juan Pablo Rodrigo. 2020. "Prognostic Significance of the Pluripotency Factors NANOG, SOX2, and OCT4 in Head and Neck Squamous Cell Carcinomas" Cancers 12, no. 7: 1794. https://doi.org/10.3390/cancers12071794
APA StylePedregal-Mallo, D., Hermida-Prado, F., Granda-Díaz, R., Montoro-Jiménez, I., Allonca, E., Pozo-Agundo, E., Álvarez-Fernández, M., Álvarez-Marcos, C., García-Pedrero, J. M., & Rodrigo, J. P. (2020). Prognostic Significance of the Pluripotency Factors NANOG, SOX2, and OCT4 in Head and Neck Squamous Cell Carcinomas. Cancers, 12(7), 1794. https://doi.org/10.3390/cancers12071794

