Association of TGF-β1 Polymorphisms with Breast Cancer Risk: A Meta-Analysis of Case–Control Studies †
Abstract
1. Introduction
2. Results
2.1. Characteristics of Studies Included in the Meta-Analysis
2.2. Assessment of Heterogeneity among the Studies and Publication Bias
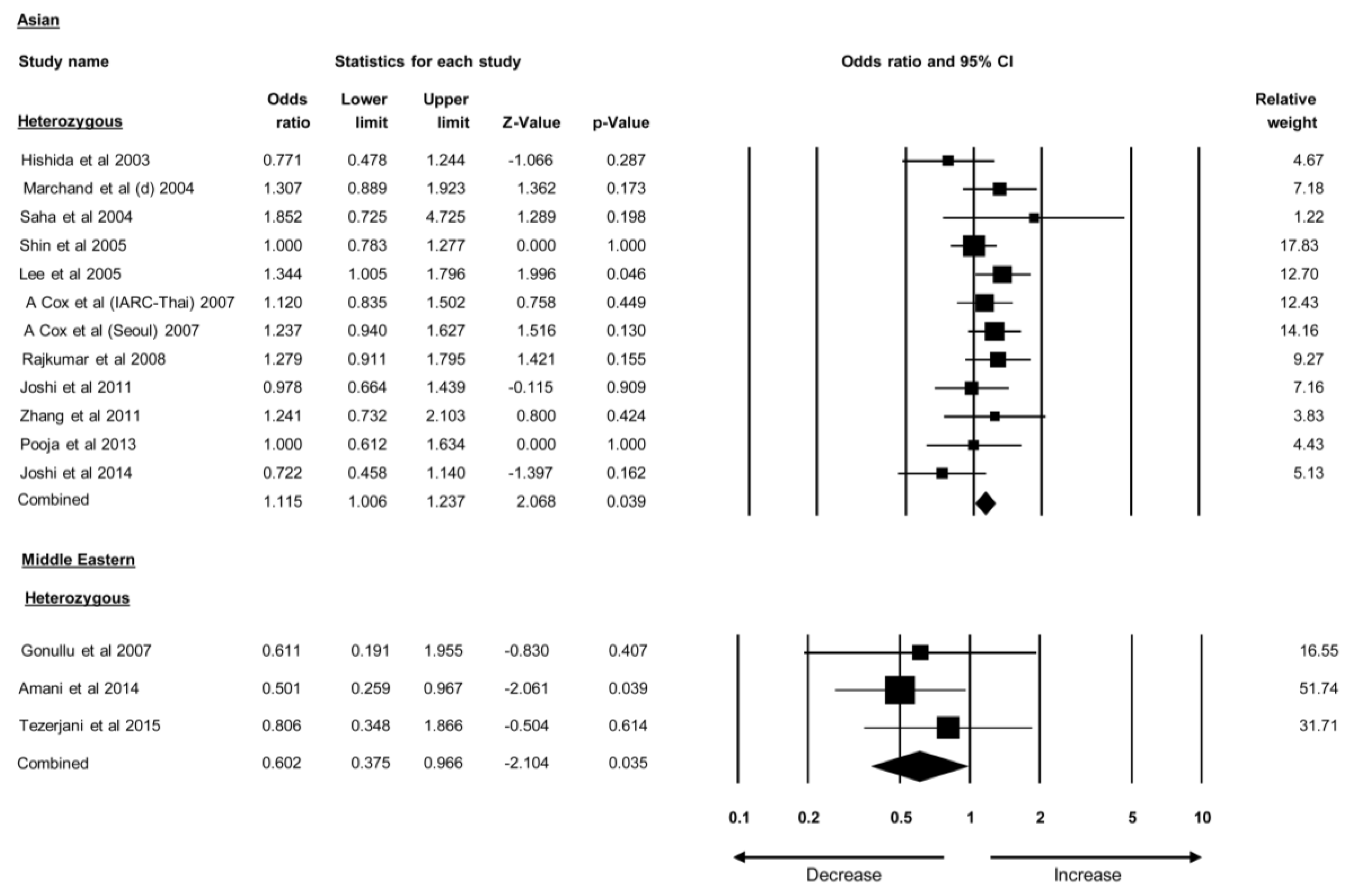
2.3. TGF-β1 29T>C, or T869C, Polymorphism
2.4. TGF-β1-509 C/T, or -1349C>T, Polymorphism
2.5. TGF-β1*6A polymorphism
2.6. Stratified Analysis
2.7. Sensitivity Analysis
2.8. Trial Sequential Analysis (TSA)
3. Discussion
4. Materials and Methods
4.1. Literature Search Strategy and Selection of Relevant Studies
4.2. Criteria for the Inclusion and Exclusion of Studies
4.3. Data Extraction
4.4. Statistical Analysis
4.5. Trial Sequential Analysis (TSA)
5. Conclusions
Supplementary Materials
Author Contributions
Funding
Acknowledgments
Conflicts of Interest
References
- Morikawa, M.; Derynck, R.; Miyazono, K. TGF-beta and the TGF-beta Family: Context-Dependent Roles in Cell and Tissue Physiology. Cold Spring Harb. Perspect. Biol. 2016, 8, a021873. [Google Scholar] [CrossRef] [PubMed]
- Massague, J. TGFbeta signalling in context. Nat. Rev. Mol. Cell Biol. 2012, 13, 616–630. [Google Scholar] [CrossRef] [PubMed]
- Moses, H.; Barcellos-Hoff, M.H. TGF-beta biology in mammary development and breast cancer. Cold Spring Harb. Perspect. Biol. 2011, 3, a003277. [Google Scholar] [CrossRef] [PubMed]
- Syed, V. TGF-beta Signaling in Cancer. J. Cell. Biochem. 2016, 117, 1279–1287. [Google Scholar] [CrossRef]
- Massague, J. TGFbeta in Cancer. Cell 2008, 134, 215–230. [Google Scholar] [CrossRef]
- Heldin, C.H.; Vanlandewijck, M.; Moustakas, A. Regulation of EMT by TGFbeta in cancer. FEBS Lett. 2012, 586, 1959–1970. [Google Scholar] [CrossRef]
- Katsuno, Y.; Lamouille, S.; Derynck, R. TGF-beta signaling and epithelial-mesenchymal transition in cancer progression. Curr. Opin. Oncol. 2013, 25, 76–84. [Google Scholar] [CrossRef]
- Syrris, P.; Carter, N.D.; Metcalfe, J.C.; Kemp, P.R.; Grainger, D.J.; Kaski, J.C.; Crossman, D.C.; Francis, S.E.; Gunn, J.; Jeffery, S.; et al. Transforming growth factor-beta1 gene polymorphisms and coronary artery disease. Clin. Sci. 1998, 95, 659–667. [Google Scholar] [CrossRef]
- Dunning, A.M.; Ellis, P.D.; McBride, S.; Kirschenlohr, H.L.; Healey, C.S.; Kemp, P.R.; Luben, R.N.; Chang-Claude, J.; Mannermaa, A.; Kataja, V.; et al. A transforming growth factorbeta1 signal peptide variant increases secretion in vitro and is associated with increased incidence of invasive breast cancer. Cancer Res. 2003, 63, 2610–2615. [Google Scholar]
- Pasche, B.; Luo, Y.; Rao, P.H.; Nimer, S.D.; Dmitrovsky, E.; Caron, P.; Luzzatto, L.; Offit, K.; Cordon-Cardo, C.; Renault, B.; et al. Type I transforming growth factor beta receptor maps to 9q22 and exhibits a polymorphism and a rare variant within a polyalanine tract. Cancer Res. 1998, 58, 2727–2732. [Google Scholar]
- Martelossi Cebinelli, G.C.; Paiva Trugilo, K.; Badaro Garcia, S.; Brajao de Oliveira, K. TGF-beta1 functional polymorphisms: A review. Eur. Cytokine Netw. 2016, 27, 81–89. [Google Scholar] [CrossRef]
- Ziv, E.; Cauley, J.; Morin, P.A.; Saiz, R.; Browner, W.S. Association between the T29→C polymorphism in the transforming growth factor beta1 gene and breast cancer among elderly white women: The Study of Osteoporotic Fractures. JAMA 2001, 285, 2859–2863. [Google Scholar] [CrossRef]
- Le Marchand, L.; Haiman, C.A.; van den Berg, D.; Wilkens, L.R.; Kolonel, L.N.; Henderson, B.E. T29C polymorphism in the transforming growth factor beta1 gene and postmenopausal breast cancer risk: The Multiethnic Cohort Study. Cancer Epidemiol. Biomarkers Prev. 2004, 13, 412–415. [Google Scholar]
- Qi, X.; Zhang, F.; Yang, X.; Fan, L.; Zhang, Y.; Chen, L.; Zhou, Y.; Chen, X.; Zhong, L.; Jiang, J. Transforming growth factor-beta1 polymorphisms and breast cancer risk: A meta-analysis based on 27 case-control studies. Breast Cancer Res. Treat. 2010, 122, 273–279. [Google Scholar] [CrossRef]
- Guo, W.; Dong, Z.; Guo, Y.; Chen, Z.; Yang, Z.; Kuang, G.; Shan, B. Polymorphisms of transforming growth factor-beta1 associated with increased risk of gastric cardia adenocarcinoma in north China. Int. J. Immunogenet. 2011, 38, 215–224. [Google Scholar] [CrossRef]
- Cao, H.; Zhou, Q.; Lan, R.; Roe, O.D.; Chen, X.; Chen, Y.; Wang, D. A functional polymorphism C-509T in TGFbeta-1 promoter contributes to susceptibility and prognosis of lone atrial fibrillation in Chinese population. PLoS ONE 2014, 9, e112912. [Google Scholar] [CrossRef][Green Version]
- Woo, S.U.; Park, K.H.; Woo, O.H.; Yang, D.S.; Kim, A.R.; Lee, E.S.; Lee, J.B.; Kim, Y.H.; Kim, J.S.; Seo, J.H. Association of a TGF-beta1 gene -509 C/T polymorphism with breast cancer risk: A meta-analysis. Breast Cancer Res. Treat. 2010, 124, 481–485. [Google Scholar] [CrossRef]
- Grossberg, A.J.; Lei, X.; Xu, T.; Shaitelman, S.F.; Hoffman, K.E.; Bloom, E.S.; Stauder, M.C.; Tereffe, W.; Schlembach, P.J.; Woodward, W.A.; et al. Association of Transforming Growth Factor beta Polymorphism C-509T With Radiation-Induced Fibrosis Among Patients With Early-Stage Breast Cancer: A Secondary Analysis of a Randomized Clinical Trial. JAMA Oncol. 2018, 4, 1751–1757. [Google Scholar] [CrossRef]
- Pasche, B.; Kolachana, P.; Nafa, K.; Satagopan, J.; Chen, Y.G.; Lo, R.S.; Brener, D.; Yang, D.; Kirstein, L.; Oddoux, C.; et al. TbetaR-I(6A) is a candidate tumor susceptibility allele. Cancer Res. 1999, 59, 5678–5682. [Google Scholar]
- Wang, Y.Q.; Qi, X.W.; Wang, F.; Jiang, J.; Guo, Q.N. Association between TGFBR1 polymorphisms and cancer risk: A meta-analysis of 35 case-control studies. PLoS ONE 2012, 7, e42899. [Google Scholar] [CrossRef]
- Baxter, S.W.; Choong, D.Y.; Eccles, D.M.; Campbell, I.G. Transforming growth factor beta receptor 1 polyalanine polymorphism and exon 5 mutation analysis in breast and ovarian cancer. Cancer Epidemiol. Biomarkers Prev. 2002, 11, 211–214. [Google Scholar] [PubMed]
- Krishna, B.M.; Chaudhary, S.; Panda, A.K.; Mishra, D.R.; Mishra, S.K. Her2 [1]655(Val) polymorphism and its association with breast cancer risk: An updated meta-analysis of case-control studies. Sci. Rep. 2018, 8, 7427. [Google Scholar] [CrossRef]
- Chaudhary, S.; Panda, A.K.; Mishra, D.R.; Mishra, S.K. Association of +331G/A PgR polymorphism with susceptibility to female reproductive cancer: Evidence from a meta-analysis. PLoS ONE 2013, 8, e53308. [Google Scholar] [CrossRef] [PubMed]
- Mantel, N.; Haenszel, W. Statistical aspects of the analysis of data from retrospective studies of disease. J. Natl. Cancer Inst. 1959, 22, 719–748. [Google Scholar] [PubMed]
- DerSimonian, R.; Laird, N. Meta-analysis in clinical trials. Control. Clin. Trials 1986, 7, 177–188. [Google Scholar] [CrossRef]
- Krippl, P.; Langsenlehner, U.; Renner, W.; Yazdani-Biuki, B.; Wolf, G.; Wascher, T.C.; Paulweber, B.; Bahadori, B.; Samonigg, H. The L10P polymorphism of the transforming growth factor-beta 1 gene is not associated with breast cancer risk. Cancer Lett. 2003, 201, 181–184. [Google Scholar] [CrossRef]
- Hishida, A.; Iwata, H.; Hamajima, N.; Matsuo, K.; Mizutani, M.; Iwase, T.; Miura, S.; Emi, N.; Hirose, K.; Tajima, K. Transforming growth factor B1 T29C polymorphism and breast cancer risk in Japanese women. Breast Cancer 2003, 10, 63–69. [Google Scholar] [CrossRef]
- Jin, Q.; Hemminki, K.; Grzybowska, E.; Klaes, R.; Soderberg, M.; Zientek, H.; Rogozinska-Szczepka, J.; Utracka-Hutka, B.; Pamula, J.; Pekala, W.; et al. Polymorphisms and haplotype structures in genes for transforming growth factor beta1 and its receptors in familial and unselected breast cancers. Int. J. Cancer 2004, 112, 94–99. [Google Scholar] [CrossRef]
- Saha, A.; Gupta, V.; Bairwa, N.K.; Malhotra, D.; Bamezai, R. Transforming growth factor-beta1 genotype in sporadic breast cancer patients from India: Status of enhancer, promoter, 5′-untranslated-region and exon-1 polymorphisms. Eur. J. Immunogenet. 2004, 31, 37–42. [Google Scholar] [CrossRef]
- Shin, A.; Shu, X.O.; Cai, Q.; Gao, Y.T.; Zheng, W. Genetic polymorphisms of the transforming growth factor-beta1 gene and breast cancer risk: A possible dual role at different cancer stages. Cancer Epidemiol. Biomarkers Prev. 2005, 14, 1567–1570. [Google Scholar] [CrossRef]
- Kaklamani, V.G.; Baddi, L.; Liu, J.; Rosman, D.; Phukan, S.; Bradley, C.; Hegarty, C.; McDaniel, B.; Rademaker, A.; Oddoux, C.; et al. Combined genetic assessment of transforming growth factor-beta signaling pathway variants may predict breast cancer risk. Cancer Res. 2005, 65, 3454–3461. [Google Scholar] [CrossRef]
- Lee, K.M.; Park, S.K.; Hamajima, N.; Tajima, K.; Yoo, K.Y.; Shin, A.; Noh, D.Y.; Ahn, S.H.; Hirvonen, A.; Kang, D. Genetic polymorphisms of TGF-beta1 & TNF-beta and breast cancer risk. Breast Cancer Res. Treat. 2005, 90, 149–155. [Google Scholar] [CrossRef]
- Feigelson, H.S.; Patel, A.V.; Diver, W.R.; Stevens, V.L.; Thun, M.J.; Calle, E.E. Transforming growth factor beta receptor type I and transforming growth factor beta1 polymorphisms are not associated with postmenopausal breast cancer. Cancer Epidemiol. Biomarkers Prev. 2006, 15, 1236–1237. [Google Scholar] [CrossRef]
- Scola, L.; Vaglica, M.; Crivello, A.; Palmeri, L.; Forte, G.I.; Macaluso, M.C.; Giacalone, A.; Di Noto, L.; Bongiovanni, A.; Raimondi, C.; et al. Cytokine gene polymorphisms and breast cancer susceptibility. Ann. N. Y. Acad. Sci. 2006, 1089, 104–109. [Google Scholar] [CrossRef]
- Cox, D.G.; Penney, K.; Guo, Q.; Hankinson, S.E.; Hunter, D.J. TGFB1 and TGFBR1 polymorphisms and breast cancer risk in the Nurses’ Health Study. BMC Cancer 2007, 7, 175. [Google Scholar] [CrossRef]
- Gonullu, G.; Basturk, B.; Evrensel, T.; Oral, B.; Gozkaman, A.; Manavoglu, O. Association of breast cancer and cytokine gene polymorphism in Turkish women. Saudi Med. J. 2007, 28, 1728–1733. [Google Scholar]
- Cox, A.; Dunning, A.M.; Garcia-Closas, M.; Balasubramanian, S.; Reed, M.W.; Pooley, K.A.; Scollen, S.; Baynes, C.; Ponder, B.A.; Chanock, S.; et al. A common coding variant in CASP8 is associated with breast cancer risk. Nat. Genet. 2007, 39, 352–358. [Google Scholar] [CrossRef]
- Rajkumar, T.; Samson, M.; Rama, R.; Sridevi, V.; Mahji, U.; Swaminathan, R.; Nancy, N.K. TGFbeta1 (Leu10Pro), p53 (Arg72Pro) can predict for increased risk for breast cancer in south Indian women and TGFbeta1 Pro (Leu10Pro) allele predicts response to neo-adjuvant chemo-radiotherapy. Breast Cancer Res. Treat. 2008, 112, 81–87. [Google Scholar] [CrossRef]
- Joshi, N.N.; Kale, M.D.; Hake, S.S.; Kannan, S. Transforming growth factor beta signaling pathway associated gene polymorphisms may explain lower breast cancer risk in western Indian women. PLoS ONE 2011, 6, e21866. [Google Scholar] [CrossRef][Green Version]
- Zhang, M.; Guo, L.L.; Cheng, Z.; Liu, R.Y.; Lu, Y.; Qian, Q.; Lei, Z.; Zhang, H.T. A functional polymorphism of TGFBR2 is associated with risk of breast cancer with ER(+), PR(+), ER(+)PR(+) and HER2(-) expression in women. Oncol. Lett. 2011, 2, 653–658. [Google Scholar] [CrossRef]
- Pooja, S.; Francis, A.; Rajender, S.; Tamang, R.; Rajkumar, R.; Saini, K.S.; Megu, K.; Goel, M.M.; Surekha, D.; Rao, D.R.; et al. Strong impact of TGF-beta1 gene polymorphisms on breast cancer risk in Indian women: A case-control and population-based study. PLoS ONE 2013, 8, e75979. [Google Scholar] [CrossRef] [PubMed][Green Version]
- Taubenschuss, E.; Marton, E.; Mogg, M.; Frech, B.; Ehart, L.; Muin, D.; Schreiber, M. The L10P polymorphism and serum levels of transforming growth factor beta1 in human breast cancer. Int. J. Mol. Sci. 2013, 14, 15376–15385. [Google Scholar] [CrossRef] [PubMed]
- Amani, D.; Khalilnezhad, A.; Ghaderi, A.; Niikawa, N.; Yoshiura, K. Transforming growth factor beta1 (TGFbeta1) polymorphisms and breast cancer risk. Tumour Biol. 2014, 35, 4757–4764. [Google Scholar] [CrossRef] [PubMed]
- Joshi, N.N.; Bhat, S.; Hake, S.; Kale, M.; Kannan, S. Opposing effects of pro- and anti-inflammatory cytokine gene polymorphisms on the risk for breast cancer in western Indian women: A pilot study. Int. J. Immunogenet. 2014, 41, 242–249. [Google Scholar] [CrossRef] [PubMed]
- Dehghan Tezerjani, M.; Beik, M.; Kalantar, S.M.; Rasti, A.; Kalantar, S.M.; Shiryazdi, S.M. Transforming growth factor Beta leucine10 proline variation and breast cancer risk in Iranian women. Iran. J. Public Health 2015, 44, 427–429. [Google Scholar]
- Jakubowska, A.; Jaworska, K.; Cybulski, C.; Janicka, A.; Szymanska-Pasternak, J.; Lener, M.; Narod, S.A.; Lubinski, J.; IHCC-Breast Cancer Study Group. Do BRCA1 modifiers also affect the risk of breast cancer in non-carriers? Eur. J. Cancer 2009, 45, 837–842. [Google Scholar] [CrossRef]
- Jakubowska, A.; Gronwald, J.; Menkiszak, J.; Gorski, B.; Huzarski, T.; Byrski, T.; Toloczko-Grabarek, A.; Gilbert, M.; Edler, L.; Zapatka, M.; et al. BRCA1-associated breast and ovarian cancer risks in Poland: No association with commonly studied polymorphisms. Breast Cancer Res. Treat. 2010, 119, 201–211. [Google Scholar] [CrossRef]
- MARIE-GENICA Consortium on Genetic Susceptibility for Menopausal Hormone Therapy Related Breast Cancer Risk. Genetic polymorphisms in phase I and phase II enzymes and breast cancer risk associated with menopausal hormone therapy in postmenopausal women. Breast Cancer Res. Treat. 2010, 119, 463–474. [Google Scholar] [CrossRef]
- Babyshkina, N.; Malinovskaya, E.; Stakheyeva, M.; Volkomorov, V.; Slonimskaya, E.; Maximov, V.; Cherdyntseva, N. Association of functional -509C>T polymorphism in the TGF-beta1 gene with infiltrating ductal breast carcinoma risk in a Russian Western Siberian population. Cancer Epidemiol. 2011, 35, 560–563. [Google Scholar] [CrossRef]
- Quan, L.; Gong, Z.; Yao, S.; Bandera, E.V.; Zirpoli, G.; Hwang, H.; Roberts, M.; Ciupak, G.; Davis, W.; Sucheston, L.; et al. Cytokine and cytokine receptor genes of the adaptive immune response are differentially associated with breast cancer risk in American women of African and European ancestry. Int. J. Cancer 2014, 134, 1408–1421. [Google Scholar] [CrossRef]
- Vinod, C.; Jyothy, A.; Vijay Kumar, M.; Raghu Raman, R.; Nallari, P.; Venkateshwari, A. Heterozygosity for TGF beta1 -509C/T Polymorphism is associated with risk for breast cancer in South Indian population. Tumour Biol. 2013, 34, 99–105. [Google Scholar] [CrossRef] [PubMed]
- Parvizi, S.; Mohammadzadeh, G.; Karimi, M.; Noorbehbahani, M.; Jafary, A. Effects of Two Common Promoter Polymorphisms of Transforming Growth Factor-beta1 on Breast Cancer Risks in Ahvaz, West South of Iran. Iran. J. Cancer Prev. 2016, 9, e5266. [Google Scholar] [CrossRef] [PubMed]
- Pasche, B.; Kaklamani, V.; Hou, N.; Young, T.; Rademaker, A.; Peterlongo, P.; Ellis, N.; Offit, K.; Caldes, T.; Reiss, M.; et al. TGFBR1*6A and cancer: A meta-analysis of 12 case-control studies. J. Clin. Oncol. 2004, 22, 756–758. [Google Scholar] [CrossRef] [PubMed][Green Version]
- Chen, T.; Jackson, C.R.; Link, A.; Markey, M.P.; Colligan, B.M.; Douglass, L.E.; Pemberton, J.O.; Deddens, J.A.; Graff, J.R.; Carter, J.H. Int7G24A variant of transforming growth factor-beta receptor type I is associated with invasive breast cancer. Clin. Cancer Res. 2006, 12, 392–397. [Google Scholar] [CrossRef]
- Song, B.; Margolin, S.; Skoglund, J.; Zhou, X.; Rantala, J.; Picelli, S.; Werelius, B.; Lindblom, A. TGFBR1(*)6A and Int7G24A variants of transforming growth factor-beta receptor 1 in Swedish familial and sporadic breast cancer. Br. J. Cancer 2007, 97, 1175–1179. [Google Scholar] [CrossRef]
- Colleran, G.; McInerney, N.; Rowan, A.; Barclay, E.; Jones, A.M.; Curran, C.; Miller, N.; Kerin, M.; Tomlinson, I.; Sawyer, E. The TGFBR1*6A/9A polymorphism is not associated with differential risk of breast cancer. Breast Cancer Res. Treat. 2010, 119, 437–442. [Google Scholar] [CrossRef]
- Kamali, E.; Hemmati, S.; Safari, F.; Tavassoli, M. TGFBR1 polymorphism and risk of breast cancer in Iranian women. Int. J. Biol. Markers 2015, 30, e414–e417. [Google Scholar] [CrossRef]
- Huang, Y.; Hao, Y.; Li, B.; Xie, J.; Qian, J.; Chao, C.; Yu, L. Lack of significant association between TGF-beta1-590C/T polymorphism and breast cancer risk: A meta-analysis. Med. Oncol. 2011, 28, 424–428. [Google Scholar] [CrossRef]
- Liao, R.Y.; Mao, C.; Qiu, L.X.; Ding, H.; Chen, Q.; Pan, H.F. TGFBR1*6A/9A polymorphism and cancer risk: A meta-analysis of 13,662 cases and 14,147 controls. Mol. Biol. Rep. 2010, 37, 3227–3232. [Google Scholar] [CrossRef]
- Alqumber, M.; Sajad, A.D.; Haque, S.; Wahid, M.; Singh, R.; Akhter, N. No Association of the TGF-β129T/C polymorphism with breast cancer risk in caucasian and asian populations: Evidence from a Meta-Analysis Involving 55, 841 Subjects. Asian Pac. J Cancer Prev. 2014, 15, 8725–8734. [Google Scholar] [CrossRef]





| S.No. | First Author | Year | Ethnicity | Case | Control | Genotype Distribution | Allele Distribution (%) | Genotyping method | ||||||||
| TGFβ1 29C>T (Pro10Leu) or T869C or rs1982073 or rs1800470 | Breast cancer | Control | Breast Cancer | Control | ||||||||||||
| TT | TC | CC | TT | TC | CC | T | C | T | C | |||||||
| 1 | Ziv et al [12] | 2001 | Caucasian | 146 | 2929 | 56 | 80 | 10 | 1068 | 1413 | 448 | 192 (65.75) | 100 (34.25) | 3549 (60.58) | 2309 (39.42) | PCR-RFLP |
| 2 | Krippl et al [26] | 2003 | Caucasian | 495 | 499 | 196 | 219 | 80 | 182 | 229 | 88 | 611 (61.71) | 379 (38.29) | 593 (59.42) | 405 (40.58) | PCR |
| 3 | Dunning et al a [9] | 2003 | UK | 1,752 | 1877 | 99 | 1228 | 425 | 735 | 889 | 253 | 1426 (40.7) | 2078 (59.3) | 2359 (62.84) | 1395 (37.16) | Taqman |
| 4 | Dunning et al b [9] | 2003 | European | 415 | 574 | 116 | 220 | 79 | 202 | 274 | 98 | 452 (54.45) | 378 (45.54) | 678 (59.06) | 470 (40.94) | Taqman |
| 5 | Dunning et al c [9] | 2003 | Finnland | 481 | 451 | 255 | 191 | 35 | 232 | 191 | 28 | 701 (72.90) | 261 (27.1) | 655 (72.62) | 247 (27.38) | Taqman |
| 6 | Hishida et al [27] | 2003 | Asian | 232 | 177 | 67 | 107 | 58 | 42 | 87 | 48 | 241 (51.9) | 223 (48.1) | 171 (48.30) | 183 (51.7) | PCR-CTPP |
| 7 | Marchand et al a [13] | 2004 | Afro-American | 233 | 612 | 76 | 112 | 45 | 205 | 289 | 118 | 264 (56.65) | 202 (43.35) | 699 (57.11) | 525 (42.89) | Taqman |
| 8 | Marchand et al b [13] | 2004 | Latina | 225 | 647 | 67 | 111 | 47 | 179 | 308 | 160 | 245 (54.44) | 205 (45.56) | 666 (51.47) | 628 (48.53) | Taqman |
| 9 | Marchand et al c [13] | 2004 | White | 299 | 402 | 114 | 137 | 48 | 141 | 183 | 78 | 365 (61.0) | 233 (39) | 465 (57.84) | 339 (42.16) | Taqman |
| 10 | Marchand et al d [13] | 2004 | Japanese | 303 | 385 | 62 | 163 | 78 | 91 | 183 | 111 | 287 (47.36) | 319 (52.64) | 365 (47.40) | 405 (52.6) | Taqman |
| 11 | Marchand et al e [13] | 2004 | Hawaiian | 63 | 268 | 19 | 27 | 17 | 74 | 140 | 54 | 65 (51.6) | 61 (48.4) | 288 (53.73) | 248 (46.27) | Taqman |
| 12 | jin et al a [28] | 2004 | Finnland | 223 | 234 | 119 | 93 | 11 | 123 | 91 | 20 | 331 (74.2) | 115 (25.8) | 337 (72.0) | 131 (28.0) | PCR-RFLP, PCR-ALF |
| 13 | jin et al b [28] | 2004 | Polish | 415 | 205 | 151 | 189 | 75 | 66 | 105 | 34 | 491 (59.15) | 339 (40.85) | 237 (57.8) | 173 (42.2) | PCR-RFLP, PCR-ALF |
| 14 | jin et al c [28] | 2004 | German | 160 | 162 | 63 | 72 | 25 | 46 | 96 | 20 | 198 (61.87) | 122 (38.13) | 188 (58.02) | 136 (41.98) | PCR-RFLP, PCR-ALF |
| 15 | jin et al d [28] | 2004 | Swedish | 84 | 173 | 31 | 38 | 15 | 70 | 77 | 26 | 100 (59.5) | 68 (40.5) | 217 (62.72) | 129 (37.28) | PCR-RFLP, PCR-ALF |
| 16 | Saha et al [29] | 2004 | Asian | 23 | 84 | 10 | 13 | 0 | 47 | 33 | 4 | 33 (71.7) | 13 (28.3) | 127 (75.6) | 41 (24.4) | PCR-SSCP |
| 17 | Shin et al [30] | 2005 | Asian | 1,114 | 1189 | 258 | 554 | 302 | 255 | 615 | 319 | 1070 (48.1) | 1158 (51.9) | 1125 (47.31) | 1253 (52.69) | PCR-RFLP |
| 18 | Kaklamani et al [31] | 2005 | Caucasian | 658 | 841 | 200 | 339 | 119 | 240 | 419 | 182 | 739 (56.1) | 577 (43.9) | 899 (53.45) | 783 (46.55) | PCR-seq |
| 19 | Lee et al [32] | 2005 | Asian | 558 | 501 | 135 | 288 | 135 | 148 | 235 | 118 | 558 (50) | 558 (50) | 531 (53.0) | 471 (47.0) | PCR-CTPP |
| 20 | Feigelson et al [33] | 2006 | Caucasian | 485 | 481 | 182 | 233 | 70 | 181 | 221 | 79 | 597 (61.55) | 373 (38.45) | 583 (60.60) | 379 (39.40) | Taqman |
| 21 | Scola et al [34] | 2006 | Caucasian | 84 | 106 | 41 | 27 | 16 | 35 | 52 | 19 | 109 (64.88) | 59 (35.12) | 122 (57.55) | 90 (42.45) | PCR-RFLP |
| 22 | D Cox et al [35] | 2007 | Caucasian | 1,185 | 1651 | 469 | 548 | 168 | 613 | 797 | 241 | 1486 (62.7) | 884 (37.3) | 2023 (61.27) | 1279 (38.73) | Taqman |
| 23 | Gonullu et al [36] | 2007 | Turkey | 38 | 24 | 20 | 10 | 8 | 11 | 9 | 4 | 50 (65.8) | 26 (34.2) | 31 (64.58) | 17 (35.42) | PCR |
| 24 | A Cox et al (GESBC) [37] | 2007 | Caucasian | 556 | 713 | 169 | 284 | 103 | 255 | 338 | 120 | 622 (55.9) | 490 (44.1) | 848 (59.47) | 578 (40.53) | Taqman |
| 25 | A Cox et al (HBCS) [37] | 2007 | Caucasian | 1,073 | 1013 | 386 | 506 | 181 | 388 | 471 | 154 | 1278 (59.55) | 868 (40.45) | 1247 (61.55) | 779 (38.45) | Taqman |
| 26 | A Cox et al (IARC-Thai) [37] | 2007 | Asian | 453 | 356 | 189 | 213 | 51 | 161 | 162 | 33 | 591 (65.23) | 315 (34.77) | 484 (67.98) | 228 (32.02) | Taqman |
| 27 | A Cox et al (Kuopio) [37] | 2007 | Caucasian | 435 | 442 | 229 | 175 | 31 | 225 | 189 | 28 | 633 (72.76) | 237 (27.24) | 639 (72.29) | 245 (27.71) | Taqman |
| 28 | A Cox et al (Mayo Clinic) [37] | 2007 | Caucasian | 793 | 837 | 296 | 404 | 93 | 307 | 409 | 121 | 996 (62.8) | 590 (37.2) | 1023 (61.1) | 651 (38.89) | Taqman |
| 29 | A Cox et al (PBCS) [37] | 2007 | Caucasian | 1,841 | 2254 | 617 | 890 | 334 | 797 | 1104 | 353 | 2124 (57.67) | 1558 (42.33) | 2698 (59.85) | 1810 (40.15) | Taqman |
| 30 | A Cox et al (SEARCH) [37] | 2007 | Caucasian | 4,504 | 5689 | 1670 | 2138 | 696 | 2200 | 2716 | 773 | 5478 (60.8) | 3530 (39.2) | 7116 (62.54) | 4262 (37.46) | Taqman |
| 31 | A Cox et al (Seoul) [37] | 2007 | Asian | 643 | 529 | 162 | 327 | 154 | 155 | 253 | 121 | 651 (50.62) | 635 (49.38) | 563 (53.21) | 495 (46.79) | Taqman |
| 32 | A Cox et al (SASBAC) [37] | 2007 | Caucasian | 1,303 | 1494 | 539 | 596 | 168 | 657 | 637 | 200 | 1674 (64.2) | 932 (35.8) | 1951 (65.3) | 1037 (34.7) | Taqman |
| 33 | A Cox et al (CNIO) [37] | 2007 | Caucasian | 640 | 739 | 160 | 313 | 167 | 217 | 355 | 167 | 633 (49.45) | 647 (50.55) | 789 (53.38) | 689 (46.62) | Taqman |
| 34 | A Cox et al (USRT) [37] | 2007 | Caucasian | 705 | 1043 | 243 | 339 | 123 | 382 | 494 | 167 | 825 (58.51) | 585 (41.49) | 1258 (60.31) | 828 (39.69) | Taqman |
| 35 | Rajkumar et al [38] | 2008 | Asian | 250 | 500 | 80 | 126 | 44 | 190 | 234 | 76 | 286 (57.2) | 214 (42.8) | 614 (61.4) | 386 (38.6) | PCR-CTPP |
| 36 | Joshi et al [39] | 2011 | Asian | 203 | 384 | 67 | 104 | 32 | 114 | 181 | 89 | 238 (58.62) | 168 (41.38) | 409 (53.25) | 359 (46.75) | PCR-SSP |
| 37 | Zhang et al [40] | 2011 | Asian | 170 | 178 | 38 | 76 | 56 | 49 | 79 | 50 | 152 (44.7) | 188 (55.3) | 177 (49.72) | 179 (50.28) | PCR-RFLP |
| 38 | Pooja et al [41] | 2013 | Asian | 465 | 239 | 85 | 165 | 214 | 51 | 123 | 64 | 335 (36.1) | 593 (63.9) | 225 (47.27) | 251 (52.73) | PCR-seq |
| 39 | Eva et al [42] | 2013 | Caucasian | 274 | 252 | 99 | 131 | 44 | 87 | 117 | 48 | 329 (60.0) | 219 (40) | 291 (57.74) | 213 (42.26) | Taqman |
| 40 | Amani et al [43] | 2014 | Iranian | 100 | 104 | 45 | 28 | 27 | 33 | 41 | 30 | 118 (59) | 82 (41) | 107 (51.44) | 101 (48.56) | PCR-seq |
| 41 | Joshi et al [44] | 2014 | Asian | 172 | 229 | 60 | 81 | 31 | 61 | 114 | 54 | 201 (58.43) | 143 (41.57) | 236 (51.53) | 222 (48.47) | PCR-SSP |
| 42 | Tezerjani et al [45] | 2015 | Iranian | 60 | 60 | 18 | 29 | 13 | 16 | 32 | 12 | 65 (54.17) | 55 (45.83) | 64 (53.33) | 56 (46.67) | PCR-ARMS |
| S.No | First Author | Year | Ethnicity | Case | Control | Genotype Distribution | Allele Distribution (%) | Genotyping method | ||||||||
| TGFβ1 -509 C/T or -1349C>T or rs1800469 | Breast Cancer | Control | Breast Cancer | Control | ||||||||||||
| CC | CT | TT | CC | CT | TT | C | T | C | T | |||||||
| 1 | Dunning et al a [9] | 2003 | UK | 2439 | 2366 | 1181 | 1014 | 244 | 1194 | 977 | 195 | 3376 (69.21) | 1502 (30.79) | 3365 (71.11) | 1367 (28.89) | Taqman |
| 2 | Dunning et al b [9] | 2003 | European | 417 | 634 | 159 | 201 | 57 | 281 | 287 | 66 | 519 (62.23) | 315 (37.77) | 849 (66.96) | 419 (33.04) | Taqman |
| 3 | Dunning et al c [9] | 2003 | Finnland | 480 | 452 | 277 | 176 | 27 | 252 | 177 | 23 | 730 (76.04) | 230 (23.96) | 681 (75.33) | 223 (24.67) | Taqman |
| 4 | jin et al a [28] | 2004 | Finnland | 221 | 320 | 133 | 80 | 8 | 182 | 119 | 19 | 346 (78.28) | 96 (21.72) | 483 (75.47) | 157 (24.53) | PCR-RFLP, PCR-ALF |
| 5 | jin et al b [28] | 2004 | Polish | 170 | 188 | 71 | 81 | 18 | 74 | 95 | 19 | 223 (65.59) | 117 (34.41) | 243 (64.63) | 133 (35.37) | PCR-RFLP, PCR-ALF |
| 6 | Saha et al [29] | 2004 | Asian | 26 | 97 | 3 | 22 | 1 | 35 | 53 | 9 | 28 (53.85) | 24 (46.15) | 123 (63.4) | 71 (36.6) | PCR-SSCP |
| 7 | Shin et al [30] | 2005 | Asian | 1118 | 1206 | 260 | 559 | 299 | 260 | 628 | 318 | 1049 (48.26) | 1157 (51.74) | 1148 (47.6) | 1264 (52.4) | PCR-RFLP |
| 8 | D Cox et al [35] | 2007 | Caucasian | 1195 | 1663 | 600 | 506 | 89 | 786 | 723 | 154 | 1706 (71.38) | 684 (28.62) | 2295 (69) | 1031 (31) | Taqman |
| 9 | Jakubowska et al [46] | 2009 | Caucasian | 1011 | 1068 | 454 | 451 | 106 | 465 | 476 | 127 | 1359 (67.21) | 663 (32.79) | 1406 (65.82) | 730 (34.18) | PCR-RFLP |
| 10 | Jakubowska et al [47] | 2010 | Caucasian | 319 | 290 | 127 | 144 | 48 | 115 | 145 | 30 | 398 (62.38) | 240 (37.62) | 375 (64.66) | 205 (35.34) | PCR-RFLP |
| 11 | MARIE-GENICA [48] | 2010 | Caucasian | 3146 | 5485 | 1529 | 1315 | 302 | 2616 | 2313 | 556 | 4373 (69.5) | 1919 (30.5) | 7545 (68.78) | 3425 (31.22) | MALDI-TOF Msa and PCR-RFLP |
| 12 | Babyshkina et al [49] | 2011 | Russian | 218 | 290 | 89 | 108 | 21 | 103 | 133 | 54 | 286 (65.6) | 150 (34.4) | 339 (58.45) | 241 (41.55) | PCR-RFLP |
| 13 | Zhang et al [40] | 2011 | Asian | 170 | 178 | 28 | 93 | 49 | 41 | 84 | 53 | 149 (43.82) | 191 (56.18) | 166 (46.63) | 190 (53.37) | PCR-RFLP |
| 14 | Quan et al a [50] | 2013 | Afro-American | 454 | 405 | 268 | 164 | 22 | 215 | 165 | 25 | 700 (77.09) | 208 (22.91) | 595 (73.46) | 215 (26.54) | MassArray IPLEX Gold Assay |
| 15 | Quan et al b [50] | 2013 | European | 327 | 312 | 124 | 147 | 56 | 134 | 135 | 43 | 395 (60.4) | 259 (39.6) | 403 (64.58) | 221 (35.42) | MassArray IPLEX Gold Assay |
| 16 | Vinod et al [51] | 2013 | Asian | 153 | 128 | 64 | 66 | 23 | 70 | 36 | 22 | 194 (63.4) | 112 (36.6) | 176 (68.75) | 80 (31.25) | PCR-ARMS |
| 17 | Parvizi et al [52] | 2016 | Iranian | 100 | 100 | 31 | 50 | 19 | 21 | 48 | 31 | 112 (56) | 88 (44) | 90 (45) | 110 (55) | PCR-RFLP |
| S.No | First Author | Year | Ethinic group | Case | Control | Genotype Distribution | Allele Distribution (%) | Genotyping method | ||||||||
| TGFβ1* 6A or rs11466445 | Case | Control | Case | Control | ||||||||||||
| 9A/9A | 9A/6A | 6A/6A | 9A/9A | 9A/6A | 6A/6A | 9A | 6A | 9A | 6A | |||||||
| 1 | Pasche et al [19] | 1999 | USA | 152 | 732 | 128 | 24 | 0 | 654 | 78 | 0 | 280 (92.11) | 24 (7.89) | 1386 (94.67) | 78 (5.33) | PCR-RFLP |
| 2 | Baxter et al [21] | 2002 | United Kingdom | 355 | 248 | 268 | 83 | 4 | 207 | 39 | 2 | 619 (87.18) | 91 (12.82) | 453 (91.33) | 43 (8.67) | PCR-SSCP |
| 3 | Reiss et al [53] | 2004 | USA | 98 | 91 | 87 | 11 | 0 | 77 | 14 | 0 | 185 (94.39) | 11 (5.61) | 168 (92.31) | 14 (7.69) | PCR-RFLP |
| 4 | Caldes et al [53] | 2004 | USA | 506 | 292 | 397 | 106 | 3 | 250 | 42 | 0 | 900 (88.93) | 112 (11.07) | 542 (92.81) | 42 (7.19) | PCR-RFLP |
| 5 | Offit et al [53] | 2004 | USA | 462 | 330 | 391 | 67 | 4 | 291 | 38 | 1 | 849 (91.88) | 75 (8.12) | 620 (93.94) | 40 (6.06) | PCR-RFLP |
| 6 | jin et al a [28] | 2004 | Finnish | 221 | 234 | 177 | 38 | 6 | 171 | 60 | 3 | 392 (88.69) | 50 (11.31) | 402 (85.9) | 66 (14.1) | PCR-RFLP |
| 7 | jin et al b [28] | 2004 | Polish | 170 | 202 | 140 | 28 | 2 | 176 | 26 | 0 | 308 (90.59) | 32 (9.41) | 378 (93.56) | 26 (6.44) | PCR-RFLP |
| 8 | Kaklamani et al [31] | 2005 | USA | 611 | 690 | 515 | 92 | 4 | 612 | 77 | 1 | 1122 (91.82) | 100 (8.18) | 1301 (94.28) | 79 (5.72) | PCR-seq |
| 9 | Chen et al [54] | 2006 | USA | 115 | 130 | 92 | 23 | 0 | 111 | 18 | 1 | 207 (90) | 23 (10) | 240 (92.31) | 20 (7.69) | PCR-SSCP |
| 10 | Figelson et al [33] | 2006 | USA | 387 | 384 | 387 | 384 | PCR | ||||||||
| 11 | D Cox et al [35] | 2007 | USA | 1,187 | 1673 | 968 | 207 | 12 | 1352 | 302 | 19 | 2143 (90.27) | 231 (9.73) | 3006 (89.84) | 340 (10.16) | Taqman |
| 12 | Song et al [55] | 2007 | Sweden | 763 | 852 | 598 | 152 | 13 | 682 | 160 | 10 | 1348 (88.34) | 178 (11.66) | 1524 (89.44) | 180 (10.56) | PCR |
| 13 | Colleran et al [56] | 2010 | Ireland | 960 | 958 | 796 | 154 | 10 | 785 | 160 | 13 | 1746 (90.94) | 174 (9.06) | 1730 (90.29) | 186 (9.71) | PCR |
| 14 | Jakubowska et al [47] | 2010 | Poland | 282 | 252 | 282 | 252 | PCR-RFLP | ||||||||
| 15 | Joshi et al [39] | 2011 | Asian | 209 | 391 | 196 | 12 | 1 | 361 | 28 | 2 | 404 (96.65) | 14 (3.35) | 750 (95.91) | 782 (4.09) | PCR-SSP |
| 16 | kamali et al [57] | 2015 | Iranian | 280 | 280 | 251 | 25 | 4 | 241 | 27 | 12 | 525 (94.09) | 33 (5.91) | 509 (90.89) | 560 (9.11) | PCR |
| Model | Odds Ratio (OR) | 95% CI | p-Value | |
|---|---|---|---|---|
| TGF-β1 29C>T (Pro10Leu) or T869C or rs1982073 or rs1800470 | ||||
| Caucasian | ||||
| 1 | Overall allele C vs. T | 1.008 | 0.961–1.057 | 0.749 |
| 2 | Homozygous CC vs. TT | 1.007 | 0.907–1.120 | 0.891 |
| 3 | Heterozygous TC vs. TT | 1.038 | 0.990–1.088 | 0.123 |
| 4 | Recessive CC vs. TT + TC | 0.997 | 0.910–1.093 | 0.947 |
| 5 | Dominant CC + TC vs. TT | 1.039 | 0.994–1.086 | 0.093 |
| Asian | ||||
| 6 | Overall allele C vs. T | 1.058 | 0.952–1.176 | 0.298 |
| 7 | Homozygous CC vs. TT | 1.084 | 0.894–1.314 | 0.413 |
| 8 | Heterozygous TC vs. TT | 1.115 | 1.006–1.237 | 0.039 |
| 9 | Recessive CC vs. TT + TC | 1.055 | 0.875–1.271 | 0.576 |
| 10 | Dominant CC + TC vs. TT | 1.077 | 0.980–1.182 | 0.123 |
| European | ||||
| 11 | Overall allele C vs. T | 1.142 | 0.761–1.715 | 0.521 |
| 12 | Homozygous CC vs. TT | 1.466 | 0.516–4.116 | 0.473 |
| 13 | Heterozygous TC vs. TT | 1.319 | 0.536–3.247 | 0.547 |
| 14 | Recessive CC vs. TT + TC | 1.227 | 0.882–1.707 | 0.224 |
| 15 | Dominant CC + TC vs. TT | 1.355 | 0.552–3.312 | 0.505 |
| Middle Eastern | ||||
| 16 | Overall allele C vs. T | 0.833 | 0.625–1.110 | 0.212 |
| 17 | Homozygous CC vs. TT | 0.784 | 0.461–1.332 | 0.367 |
| 18 | Heterozygous TC vs. TT | 0.602 | 0.375–0.966 | 0.035 |
| 19 | Recessive CC vs. TT + TC | 1.011 | 0.632–1.618 | 0.964 |
| 20 | Dominant CC + TC vs. TT | 0.669 | 0.438–1.020 | 0.062 |
| TGFβ-1-509 C/T or -1349C>T or rs1800469 | ||||
| Caucasian | ||||
| 21 | Overall allele T vs. C | 0.953 | 0.905–1.004 | 0.068 |
| 22 | Homozygous TT vs. CC | 0.904 | 0.803–1.018 | 0.096 |
| 23 | Heterozygous CT vs. CC | 0.957 | 0.891–1.028 | 0.228 |
| 24 | Recessive TT vs. CC + CT | 0.924 | 0.825–1.036 | 0.175 |
| 25 | Dominant TT + CT vs. CC | 0.947 | 0.885–1.031 | 0.112 |
| European | ||||
| 26 | Overall allele T vs. C | 1.016 | 0.900–1.148 | 0.795 |
| 27 | Homozygous TT vs. CC | 1.039 | 0.770–1.401 | 0.804 |
| 28 | Heterozygous CT vs. CC | 1.038 | 0.950–1.135 | 0.405 |
| 29 | Recessive TT vs. CC + CT | 1.026 | 0.782–1.346 | 0.853 |
| 30 | Dominant TT + CT vs. CC | 1.058 | 0.972–1.151 | 0.190 |
| Asian | ||||
| 31 | Overall allele T vs. C | 1.023 | 0.925–1.132 | 0.657 |
| 32 | Homozygous TT vs. CC | 1.000 | 0.813–1.230 | 0.990 |
| 33 | Heterozygous CT vs. CC | 1.633 | 0.894–2.986 | 0.111 |
| 34 | Recessive TT vs. CC + CT | 0.993 | 0.842–1.171 | 0.936 |
| 35 | Dominant TT + CT vs. CC | 1.460 | 0.886–2.408 | 0.138 |
| TGF-β *6A or rs11466445 | ||||
| European | ||||
| 36 | Overall allele 6A vs. 9A | 1.095 | 0.878–1.364 | 0.421 |
| 37 | Homozygous 6A/6A vs. 9A/9A | 1.247 | 0.749–2.075 | 0.396 |
| 38 | Heterozygous 6A/9A vs. 9A/9A | 1.056 | 0.809–1.378 | 0.690 |
| 39 | Recessive 6A/6A vs. 9A/9A + 9A/6A | 1.249 | 0.751–2.077 | 0.391 |
| 40 | Dominant 6A/6A + 9A/6A vs. 9A/9A | 1.049 | 0.839–1.311 | 0.675 |
© 2020 by the authors. Licensee MDPI, Basel, Switzerland. This article is an open access article distributed under the terms and conditions of the Creative Commons Attribution (CC BY) license (http://creativecommons.org/licenses/by/4.0/).
Share and Cite
Krishna, B.M.; Jana, S.; Panda, A.K.; Horne, D.; Awasthi, S.; Salgia, R.; Singhal, S.S. Association of TGF-β1 Polymorphisms with Breast Cancer Risk: A Meta-Analysis of Case–Control Studies. Cancers 2020, 12, 471. https://doi.org/10.3390/cancers12020471
Krishna BM, Jana S, Panda AK, Horne D, Awasthi S, Salgia R, Singhal SS. Association of TGF-β1 Polymorphisms with Breast Cancer Risk: A Meta-Analysis of Case–Control Studies. Cancers. 2020; 12(2):471. https://doi.org/10.3390/cancers12020471
Chicago/Turabian StyleKrishna, B. Madhu, Samir Jana, Aditya K. Panda, David Horne, Sanjay Awasthi, Ravi Salgia, and Sharad S Singhal. 2020. "Association of TGF-β1 Polymorphisms with Breast Cancer Risk: A Meta-Analysis of Case–Control Studies" Cancers 12, no. 2: 471. https://doi.org/10.3390/cancers12020471
APA StyleKrishna, B. M., Jana, S., Panda, A. K., Horne, D., Awasthi, S., Salgia, R., & Singhal, S. S. (2020). Association of TGF-β1 Polymorphisms with Breast Cancer Risk: A Meta-Analysis of Case–Control Studies. Cancers, 12(2), 471. https://doi.org/10.3390/cancers12020471

