Recent Progress in Solution Processed Aluminum and co-Doped ZnO for Transparent Conductive Oxide Applications
Abstract
1. Introduction
2. Synthesis of Al-Doped ZnO Precursor Solution and Thin Films
3. Finding an Optimal Doping Level of Al: Effect of Al Doping on Functional Properties of AZO
4. Aluminum and co-Doped ZnO
4.1. Aluminum Doped ZnO (AZO)
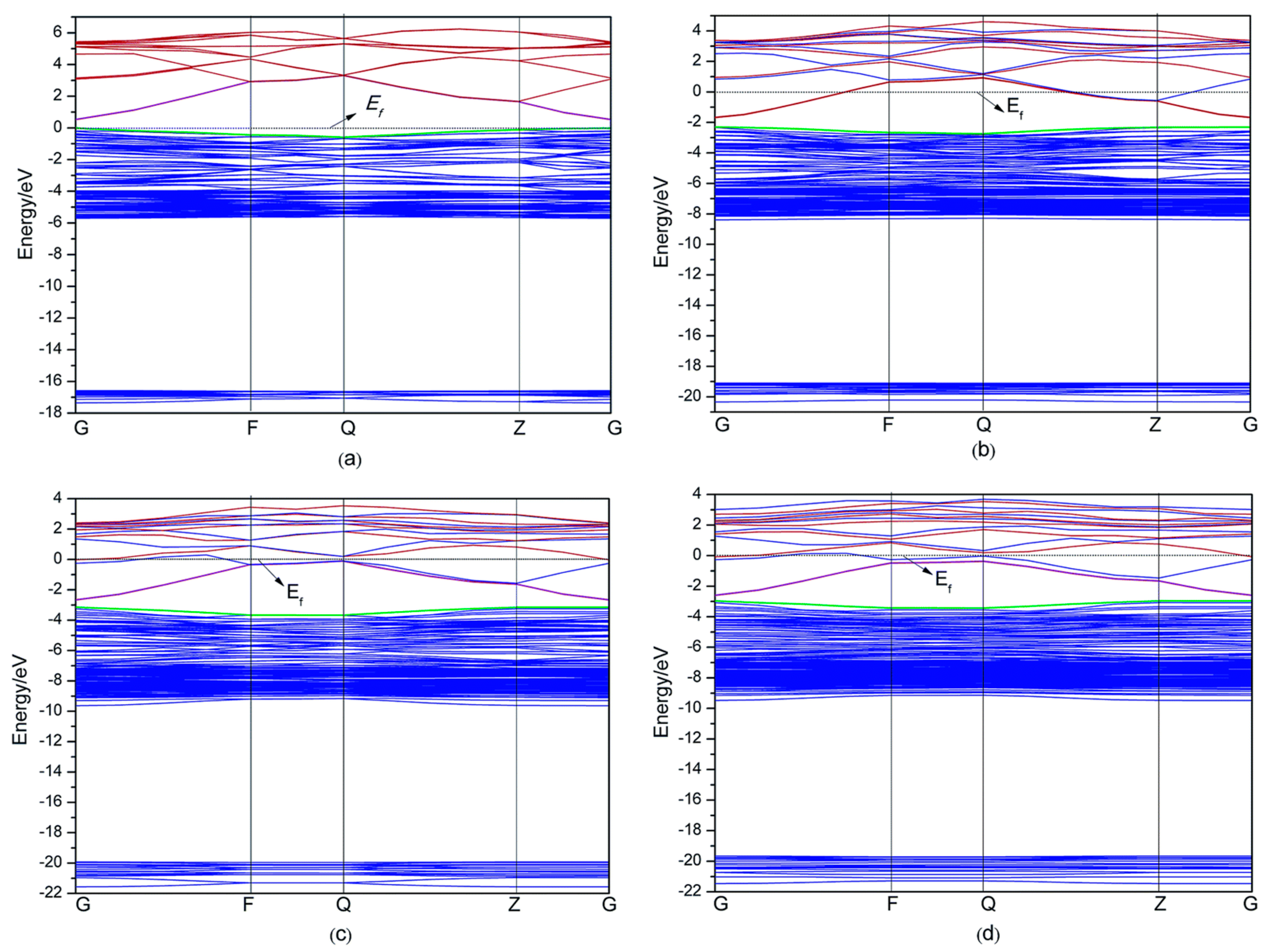
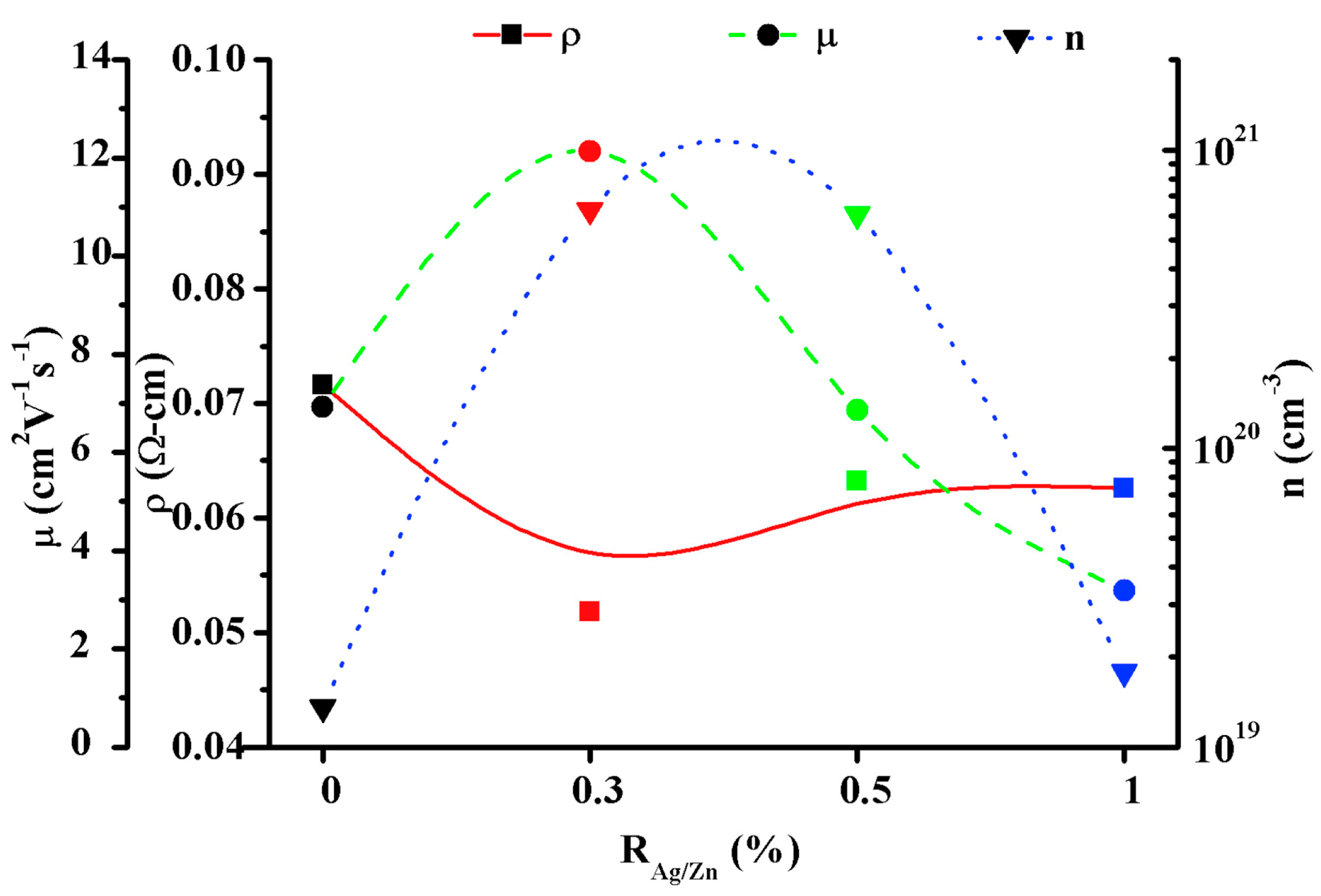
4.2. co-Doped ZnO (Al Doping with Other Elements)
5. Conclusions
Author Contributions
Funding
Data Availability Statement
Conflicts of Interest
References
- Özgür, Ü.; Hofstetter, D.; Morkoç, H. ZnO Devices and Applications: A Review of Current Status and Future Prospects. Proc. IEEE 2010, 98, 1255–1268. [Google Scholar] [CrossRef]
- Jo, G.H.; Kim, S.-H.; Koh, J.-H. Enhanced Electrical and Optical Properties Based on Stress Reduced Graded Structure of Al-Doped ZnO Thin Films. Ceram. Int. 2018, 44, 735–741. [Google Scholar] [CrossRef]
- Alexandrov, A.; Zvaigzne, M.; Lypenko, D.; Nabiev, I.; Samokhvalov, P. Al-, Ga-, Mg-, or Li-Doped Zinc Oxide Nanoparticles as Electron Transport Layers for Quantum Dot Light-Emitting Diodes. Sci. Rep. 2020, 10, 7496. [Google Scholar] [CrossRef]
- Singh, P.; Singh, R.K.; Kumar, R. Journey of ZnO Quantum Dots from Undoped to Rare-Earth and Transition Metal-Doped and Their Applications. RSC Adv. 2021, 11, 2512–2545. [Google Scholar] [CrossRef]
- Street, R.A. Thin-Film Transistors. Adv. Mater. 2009, 21, 2007–2022. [Google Scholar] [CrossRef]
- Singh, M.; Palazzo, G.; Romanazzi, G.; Suranna, G.P.; Ditaranto, N.; Di Franco, C.; Santacroce, M.V.; Mulla, M.Y.; Magliulo, M.; Manoli, K.; et al. Bio-Sorbable, Liquid Electrolyte Gated Thin-Film Transistor Based on a Solution-Processed Zinc Oxide Layer. Faraday Discuss. 2014, 174, 383–398. [Google Scholar] [CrossRef]
- Sarma, B.K.; Rajkumar, P. Al-Doped ZnO Transparent Conducting Oxide with Appealing Electro-Optical Properties—Realization of Indium Free Transparent Conductors from Sputtering Targets with Varying Dopant Concentrations. Mater. Today Commun. 2020, 23, 100870. [Google Scholar] [CrossRef]
- Singh, M.; Kaur, N.; Drera, G.; Casotto, A.; Ermenegildo, L.S.; Comini, E. SAM Functionalized ZnO Nanowires for Selective Acetone Detection: Optimized Surface Specific Interaction Using APTMS and GLYMO Monolayers. Adv. Funct. Mater. 2020, 30, 2003217. [Google Scholar] [CrossRef]
- Sowik, J.; Miodyńska, M.; Bajorowicz, B.; Mikolajczyk, A.; Lisowski, W.; Klimczuk, T.; Kaczor, D.; Zaleska Medynska, A.; Malankowska, A. Optical and Photocatalytic Properties of Rare Earth Metal-Modified ZnO Quantum Dots. Appl. Surf. Sci. 2019, 464, 651–663. [Google Scholar] [CrossRef]
- Crossay, A.; Buecheler, S.; Kranz, L.; Perrenoud, J.; Fella, C.M.; Romanyuk, Y.E.; Tiwari, A.N. Spray-Deposited Al-Doped ZnO Transparent Contacts for CdTe Solar Cells. Sol. Energy Mater. Sol. Cells 2012, 101, 283–288. [Google Scholar] [CrossRef]
- Kumar, K.D.A.; Thomas, R.; Valanarasu, S.; Ganesh, V.; Shkir, M.; AlFaify, S.; Thirumalai, J. Analysis of Pr Co-Doped Al:ZnO Thin Films Using Feasible Nebulizer Spray Technique for Optoelectronic Technology. Appl. Phys. A 2019, 125, 712. [Google Scholar] [CrossRef]
- Anand, V.; Sakthivelu, A.; Kumar, K.D.A.; Valanarasu, S.; Kathalingam, A.; Ganesh, V.; Shkir, M.; AlFaify, S.; Yahia, I.S. Rare Earth Sm3+ Co-Doped AZO Thin Films for Opto-Electronic Application Prepared by Spray Pyrolysis. Ceram. Int. 2018, 44, 6730–6738. [Google Scholar] [CrossRef]
- Minami, T.; Nanto, H.; Takata, S. Highly Conductive and Transparent Aluminum Doped Zinc Oxide Thin Films Prepared by RF Magnetron Sputtering. Jpn. J. Appl. Phys. 1984, 23, L280. [Google Scholar] [CrossRef]
- Martínez, M.A.; Herrero, J.; Gutiérrez, M.T. Deposition of Transparent and Conductive Al-Doped ZnO Thin Films for Photovoltaic Solar Cells. Sol. Energy Mater. Sol. Cells 1997, 45, 75–86. [Google Scholar] [CrossRef]
- Dong, J.; Zhao, Y.; Shi, J.; Wei, H.; Xiao, J.; Xu, X.; Luo, J.; Xu, J.; Li, D.; Luo, Y.; et al. Impressive Enhancement in the Cell Performance of ZnO Nanorod-Based Perovskite Solar Cells with Al-Doped ZnO Interfacial Modification. Chem. Commun. 2014, 50, 13381–13384. [Google Scholar] [CrossRef]
- Liu, X.; Li, X.; Li, Y.; Song, C.; Zhu, L.; Zhang, W.; Wang, H.-Q.; Fang, J. High-Performance Polymer Solar Cells with PCE of 10.42% via Al-Doped ZnO Cathode Interlayer. Adv. Mater. 2016, 28, 7405–7412. [Google Scholar] [CrossRef] [PubMed]
- Sun, Y.; Wang, W.; Zhang, H.; Su, Q.; Wei, J.; Liu, P.; Chen, S.; Zhang, S. High-Performance Quantum Dot Light-Emitting Diodes Based on Al-Doped ZnO Nanoparticles Electron Transport Layer. ACS Appl. Mater. Interfaces 2018, 10, 18902–18909. [Google Scholar] [CrossRef] [PubMed]
- Meyer, J.; Görrn, P.; Hamwi, S.; Johannes, H.-H.; Riedl, T.; Kowalsky, W. Indium-Free Transparent Organic Light Emitting Diodes with Al Doped ZnO Electrodes Grown by Atomic Layer and Pulsed Laser Deposition. Appl. Phys. Lett. 2008, 93, 73308. [Google Scholar] [CrossRef]
- Choi, Y.-J.; Gong, S.C.; Park, C.-S.; Lee, H.-S.; Jang, J.G.; Chang, H.J.; Yeom, G.Y.; Park, H.-H. Improved Performance of Organic Light-Emitting Diodes Fabricated on Al-Doped ZnO Anodes Incorporating a Homogeneous Al-Doped ZnO Buffer Layer Grown by Atomic Layer Deposition. ACS Appl. Mater. Interfaces 2013, 5, 3650–3655. [Google Scholar] [CrossRef]
- Ng, Z.-N.; Chan, K.-Y.; Low, C.-Y.; Kamaruddin, S.A.; Sahdan, M.Z. Al and Ga Doped ZnO Films Prepared by a Sol–Gel Spin Coating Technique. Ceram. Int. 2015, 41, S254–S258. [Google Scholar] [CrossRef]
- Raj Mohan, R.; Sambath, K.; Rajendran, K. Experimental Investigation on Structural and Optical Properties of ZnO: AZO Nano Particles by Hydrothermal Synthesis. J. Mater. Sci. Mater. Electron. 2015, 26, 1748–1755. [Google Scholar] [CrossRef]
- Bhattacharyya, S.R.; Mallick, Z.; Gayen, R.N. Vertically Aligned Al-Doped ZnO Nanowire Arrays as Efficient Photoanode for Dye-Sensitized Solar Cells. J. Electron. Mater. 2020, 49, 3860–3868. [Google Scholar] [CrossRef]
- Chen, J.; Zhang, Y.; Qiu, W.; Chen, S.; Liu, C.; Peng, Z.; Chen, J. Mechanism and Optimized Process Conditions of Forming One-Dimensional ZnO Nanorods with Al-Doping by Electrodeposition Method. Int. J. Photoenergy 2021, 2021, 8827911. [Google Scholar] [CrossRef]
- Hussin, R.; Husin, M.A. Nanostructure of Aluminium (Al)—Doped Zinc Oxide (AZO) Thin Films. AIP Conf. Proc. 2017, 1901, 20021. [Google Scholar] [CrossRef]
- Potter, D.B.; Powell, M.J.; Parkin, I.P.; Carmalt, C.J. Aluminium/Gallium, Indium/Gallium, and Aluminium/Indium Co-Doped ZnO Thin Films Deposited via Aerosol Assisted CVD. J. Mater. Chem. C 2018, 6, 588–597. [Google Scholar] [CrossRef]
- Devasia, S.; Athma, P.V.; Shaji, M.; Kumar, M.C.S.; Anila, E.I. Post-Deposition Thermal Treatment of Sprayed ZnO:Al Thin Films for Enhancing the Conductivity. Phys. B Condens. Matter 2018, 533, 83–89. [Google Scholar] [CrossRef]
- Fedoseev, A.G.; Lashkova, N.A.; Matyushkin, L.B. ZnO and Aluminium Doped ZnO Thin Films Synthesis by Ultrasonic Spray Pyrolysis Technique. In Proceedings of the 2017 IEEE Conference of Russian Young Researchers in Electrical and Electronic Engineering (EIConRus), St. Petersburg and Moscow, Russia, 1–3 February 2017; pp. 1391–1393. [Google Scholar]
- Mohamedi, M.; Challali, F.; Touam, T.; Chelouche, A.; Ouhenia, S.; Souici, A.H.; Djouadi, D. AZO Thin Films Grown by Confocal RF Sputtering: Role of Deposition Time on Microstructural, Optical, Luminescence and Electronic Properties. J. Mater. Sci. Mater. Electron. 2021, 32, 25288–25299. [Google Scholar] [CrossRef]
- Parashar, M.; Shukla, V.K.; Singh, R. Metal Oxides Nanoparticles via Sol–Gel Method: A Review on Synthesis, Characterization and Applications. J. Mater. Sci. Mater. Electron. 2020, 31, 3729–3749. [Google Scholar] [CrossRef]
- Sui, R.; Charpentier, P. Synthesis of Metal Oxide Nanostructures by Direct Sol–Gel Chemistry in Supercritical Fluids. Chem. Rev. 2012, 112, 3057–3082. [Google Scholar] [CrossRef]
- Livage, J.; Henry, M.; Sanchez, C. Sol-Gel Chemistry of Transition Metal Oxides. Prog. Solid State Chem. 1988, 18, 259–341. [Google Scholar] [CrossRef]
- Poul, L.; Ammar, S.; Jouini, N.; Fievet, F.; Villain, F. Synthesis of Inorganic Compounds (Metal, Oxide and Hydroxide) in Polyol Medium: A Versatile Route Related to the Sol-Gel Process. J. Sol-Gel Sci. Technol. 2003, 26, 261–265. [Google Scholar] [CrossRef]
- Roy, R. Ceramics by the Solution-Sol-Gel Route. Science 1987, 238, 1664–1669. [Google Scholar] [CrossRef] [PubMed]
- Livage, J.; Sanchez, C. Sol-Gel Chemistry. J. Non. Cryst. Solids 1992, 145, 11–19. [Google Scholar] [CrossRef]
- Roy, D.; Basu, M.; Paul, S. Synthesis of Al-Doped Zinc Oxide Nano Particle TCO Material by Simple Sol-Gel Method. J. Phys. Conf. Ser. 2020, 1579, 12007. [Google Scholar] [CrossRef]
- Asikuzun, E.; Ozturk, O.; Arda, L.; Akcan, D.; Senol, S.D.; Terzioglu, C. Preparation, Structural and Micromechanical Properties of (Al/Mg) Co-Doped ZnO Nanoparticles by Sol–Gel Process. J. Mater. Sci. Mater. Electron. 2015, 26, 8147–8159. [Google Scholar] [CrossRef]
- Wolf, N.; Stubhan, T.; Manara, J.; Dyakonov, V.; Brabec, C.J. Stabilization of Aluminum Doped Zinc Oxide Nanoparticle Suspensions and Their Application in Organic Solar Cells. Thin Solid Films 2014, 564, 213–217. [Google Scholar] [CrossRef]
- Kelchtermans, A.; Elen, K.; Schellens, K.; Conings, B.; Damm, H.; Boyen, H.-G.; D’Haen, J.; Adriaensens, P.; Hardy, A.; Van Bael, M.K. Relation between Synthesis Conditions, Dopant Position and Charge Carriers in Aluminium-Doped ZnO Nanoparticles. RSC Adv. 2013, 3, 15254–15262. [Google Scholar] [CrossRef]
- Li, J.; Wu, Q.; Wu, J. Synthesis of Nanoparticles via Solvothermal and Hydrothermal Methods BT. In Handbook of Nanoparticles; Aliofkhazraei, M., Ed.; Springer International Publishing: Cham, Switzerland, 2015; pp. 1–28. ISBN 978-3-319-13188-7. [Google Scholar]
- Mia, M.N.H.; Habiba, U.; Pervez, M.F.; Kabir, H.; Nur, S.; Hossen, M.F.; Sen, S.K.; Hossain, M.K.; Iftekhar, M.A.; Rahman, M.M. Investigation of Aluminum Doping on Structural and Optical Characteristics of Sol–Gel Assisted Spin-Coated Nano-Structured Zinc Oxide Thin Films. Appl. Phys. A 2020, 126, 162. [Google Scholar] [CrossRef]
- Ganesh, V.N.; Anila, K.R.; Jayarama, A.; Bhat, S.; Shantharama Rai, C.; Pinto, R. Spray Pyrolysis Deposited Aluminium-Indium Zinc Oxide Thin Films and Study of Their Electrical and Photoluminescence Properties. Mater. Today Proc. 2022, 55, 148–154. [Google Scholar] [CrossRef]
- Anandh, B.; Ganesh, A.S.; Thangarasu, R.; Rsakthivel; Kannusamy, R.; Tamilselvan, K. Structural, Morphological and Optical Properties o f Aluminium Doped ZnO Thin Film by Dip-Coating Method. Orient. J. Chem. 2018, 34, 1619–1624. [Google Scholar] [CrossRef]
- Kondratiev, V.I.; Kink, I.; Romanov, A.E.; Dolgov, L. Transparent Films from Aluminium-Doped Zinc Oxide Fibers Prepared by Electrospinning Method. Mater. Phys. Mech. 2016, 27, 133–141. [Google Scholar]
- Sahu, N.; Parija, B.; Panigrahi, S. Fundamental Understanding and Modeling of Spin Coating Process: A Review. Indian J. Phys. 2009, 83, 493–502. [Google Scholar] [CrossRef]
- Perednis, D.; Gauckler, L.J. Thin Film Deposition Using Spray Pyrolysis. J. Electroceramics 2005, 14, 103–111. [Google Scholar] [CrossRef]
- Grosso, D. How to Exploit the Full Potential of the Dip-Coating Process to Better Control Film Formation. J. Mater. Chem. 2011, 21, 17033–17038. [Google Scholar] [CrossRef]
- Hou, X.; Choy, K.-L. Processing and Applications of Aerosol-Assisted Chemical Vapor Deposition. Chem. Vap. Depos. 2006, 12, 583–596. [Google Scholar] [CrossRef]
- Teo, W.E.; Ramakrishna, S. A Review on Electrospinning Design and Nanofibre Assemblies. Nanotechnology 2006, 17, R89. [Google Scholar] [CrossRef]
- Lahiri, A.; Endres, F. Review—Electrodeposition of Nanostructured Materials from Aqueous, Organic and Ionic Liquid Electrolytes for Li-Ion and Na-Ion Batteries: A Comparative Review. J. Electrochem. Soc. 2017, 164, D597. [Google Scholar] [CrossRef]
- El Manouni, A.; Manjón, F.J.; Mollar, M.; Marí, B.; Gómez, R.; López, M.C.; Ramos-Barrado, J.R. Effect of Aluminium Doping on Zinc Oxide Thin Films Grown by Spray Pyrolysis. Superlattices Microstruct. 2006, 39, 185–192. [Google Scholar] [CrossRef]
- Sripianem, W.; Chuchuay, A.; Kiatthanabumrung, P.; Saengow, N.; Na Wichean, T.; Jongthammanurak, S.; Jantaratana, P.; Techapiesancharoenkij, R. Effect of Aluminium Doping Concentration on Microstructures, Optical and Electrical Properties of ZnO Thin Films by Spray Pyrolysis Technique. Mater. Today Proc. 2018, 5, 9519–9524. [Google Scholar] [CrossRef]
- Li, J.; Sathasivam, S.; Taylor, A.; Carmalt, C.J.; Parkin, I.P. Single Step Route to Highly Transparent, Conductive and Hazy Aluminium Doped Zinc Oxide Films. RSC Adv. 2018, 8, 42300–42307. [Google Scholar] [CrossRef] [PubMed]
- Mishra, P.N.; Mishra, P.K.; Pathak, D. The Influence of Al Doping on the Optical Characteristics of ZnO Nanopowders Obtained by the Low-Cost Sol-Gel Method. Chemistry (Easton) 2022, 4, 1136–1146. [Google Scholar] [CrossRef]
- Zhao, Y.; Liu, Z.; Yang, H.; Li, T.; Yang, P. Approach Using the Electrical Structure and Optical Properties of Aluminium-Doped Zinc Oxide for Solar Cells. RSC Adv. 2016, 6, 110943–110950. [Google Scholar] [CrossRef]
- Hu, J.; Gordon, R.G. Textured Aluminum-doped Zinc Oxide Thin Films from Atmospheric Pressure Chemical-vapor Deposition. J. Appl. Phys. 1992, 71, 880–890. [Google Scholar] [CrossRef]
- Aktaruzzaman, A.F.; Sharma, G.L.; Malhotra, L.K. Electrical, Optical and Annealing Characteristics of ZnO:Al Films Prepared by Spray Pyrolysis. Thin Solid Films 1991, 198, 67–74. [Google Scholar] [CrossRef]
- Efafi, B.; Mousavi, S.S.; Ara, M.H.M.; Ghafari, B.; Mazandarani, H.R. A Method for Optimizing the Electrical Conductivity of Al:ZnO TCO Films. Mater. Lett. 2017, 195, 52–54. [Google Scholar] [CrossRef]
- Jose, F.P.; Achary, S.R.; Sukumaran, A.A.; Jayaraj, M.K. Effects of Temperature and Doping on Aluminium Doped ZnO Thin Film Grown by Spray Pyrolysis. AIP Conf. Proc. 2020, 2244, 110005. [Google Scholar] [CrossRef]
- Buonsanti, R.; Llordes, A.; Aloni, S.; Helms, B.A.; Milliron, D.J. Tunable Infrared Absorption and Visible Transparency of Colloidal Aluminum-Doped Zinc Oxide Nanocrystals. Nano Lett. 2011, 11, 4706–4710. [Google Scholar] [CrossRef] [PubMed]
- Nian, Q.; Callahan, M.; Look, D.; Efstathiadis, H.; Bailey, J.; Cheng, G.J. Highly Transparent Conductive Electrode with Ultra-Low HAZE by Grain Boundary Modification of Aqueous Solution Fabricated Alumina-Doped Zinc Oxide Nanocrystals. APL Mater. 2015, 3, 062803. [Google Scholar] [CrossRef]
- Kaur, N.; Singh, M.; Comini, E. One-Dimensional Nanostructured Oxide Chemoresistive Sensors. Langmuir 2020, 36, 6326–6344. [Google Scholar] [CrossRef]
- Ganesh, T.; SivaKumar, M.; Kumar, R.; Kumar, R.M. Multi-Layer of Al-Doped ZnO Thin Film Photo Conductor: Fabrication, Dark-Photo Current Characteristics, Temperature Dependent Conductivity and Photo Response Studies. J. Mater. Sci. Mater. Electron. 2017, 28, 6685–6698. [Google Scholar] [CrossRef]
- Marouf, S.; Beniaiche, A.; Kardarian, K.; Mendes, M.J.; Sanchez-Sobrado, O.; Águas, H.; Fortunato, E.; Martins, R. Low-Temperature Spray-Coating of High-Performing ZnO:Al Films for Transparent Electronics. J. Anal. Appl. Pyrolysis 2017, 127, 299–308. [Google Scholar] [CrossRef]
- Potter, D.B.; Parkin, I.P.; Carmalt, C.J. The Effect of Solvent on Al-Doped ZnO Thin Films Deposited via Aerosol Assisted CVD. RSC Adv. 2018, 8, 33164–33173. [Google Scholar] [CrossRef] [PubMed]
- Jellal, I.; Ahmoum, H.; Khaaissa, Y.; Nouneh, K.; Boughrara, M.; Fahoume, M.; Chopra, S.; Naja, J. Experimental and Ab-Initio Investigation of the Microstructure and Optoelectronic Properties of FCM–CVD-Prepared Al-Doped ZnO Thin Films. Appl. Phys. A 2019, 125, 650. [Google Scholar] [CrossRef]
- Kumar, A.; Ahmad, M.I. Role of Defects in the Electronic Properties of Al Doped ZnO Films Deposited by Spray Pyrolysis. J. Mater. Sci. 2022, 57, 7877–7895. [Google Scholar] [CrossRef]
- Chabane, L.; Zebbar, N.; Kechouane, M.; Aida, M.S.; Trari, M. Al-Doped and in-Doped ZnO Thin Films in Heterojunctions with Silicon. Thin Solid Films 2016, 605, 57–63. [Google Scholar] [CrossRef]
- Manjakkal, L.; Packia Selvam, I.; Potty, S.N.; Shinde, R.S. Electrical and Optical Properties of Aluminium Doped Zinc Oxide Transparent Conducting Oxide Films Prepared by Dip Coating Technique. Microelectron. Int. 2017, 34, 1–8. [Google Scholar] [CrossRef]
- Ganesh, T.; Perumal, K.; Kumar, R.; Bhaskar, N. Effect of Thickness on Micro-Structural and Optical Properties of Al-Doped ZnO Films Prepared by Sol-Gel Spin Coating. Nano Hybrids Compos. 2017, 17, 171–178. [Google Scholar] [CrossRef]
- Van Toan, N.; Hien, N.T.T.; Tuan, P.A.; Huy, T.D.; Dung, D.V.A.; Phan, V.N.; Dung, N.H.; Tung, D.T.; Cuong, N.D. Effect of Aluminium Concentration and Reaction Temperature on the Structural and Optical Properties of Al-Doped ZnO Particles. Mater. Res. Express 2019, 6, 0950a7. [Google Scholar] [CrossRef]
- Jayaraman, V.K.; Álvarez, A.M.; Bizarro, M.; Koudriavtsev, Y.; Amador, M.d.l.L.O. Effect of Precursor Type and Doping Concentration on the Physical Properties of Ultrasonically Sprayed Aluminium and Indium Co-Doped Zinc Oxide Thin Films. Thin Solid Films 2017, 642, 14–19. [Google Scholar] [CrossRef]
- Jayaraman, V.K.; Maldonado-Álvarez, A.; Jimenez-Gonzalez, A.E.; Olvera-Amador, M.d.l.L. Influence of Precursor Ball Milling in Enhancing the Structural, Morphological, Optical and Electrical Properties of AIZO Thin Films. Mater. Lett. 2016, 181, 52–55. [Google Scholar] [CrossRef]
- Ng, Z.-N.; Chan, K.-Y.; Sin, Y.-K.; Yam, F.-K.; Knipp, D. Sol–Gel Derived Al–Ga Co-Doped ZnO Thin Films Embedded with Microrods. J. Nanosci. Nanotechnol. 2017, 17, 348–353. [Google Scholar] [CrossRef]
- Lee, M.-I.; Huang, M.-C.; Legrand, D.; Lerondel, G.; Lin, J.-C. Structure and Characterization of Sn, Al Co-Doped Zinc Oxide Thin Films Prepared by Sol–Gel Dip-Coating Process. Thin Solid Films 2014, 570, 516–526. [Google Scholar] [CrossRef]
- Khan, F.; Baek, S.-H.; Kim, J.H. Enhanced Charge Transport Properties of Ag and Al Co-Doped ZnO Nanostructures via Solution Process. J. Alloys Compd. 2016, 682, 232–237. [Google Scholar] [CrossRef]
- El Ghoul, J.; Alharbi, F.F. Simple Route Synthesis of (Al, Ni) Co-Doped ZnO Nanoparticles and Their Characterizations. Dig. J. Nanomater. Biostructures 2022, 17, 549–555. [Google Scholar] [CrossRef]












| AZO | Process | Morphology | ODL (at%) | T (%) | Eg (eV) | ρ (Ω cm) | Ref. |
|---|---|---|---|---|---|---|---|
| Thin film | Sol-gel, spin coating | Nanocrystals | 2 | 88–96 | 1 × 10−3 | [60] | |
| Thin film | Sol-gel, spin coating | Grains | 1 | 80–95 | 50 | [20] | |
| Nanofiber | Sol-gel, electrospinning | Nanofibers | 1 | 90 | - | [43] | |
| Thin film | Sol-gel, ultrasonic spray pyrolysis | Grains | 8 | 80 | 3.27 | 9 | [67] |
| Thin film | Sol-gel, dip coating | Nanoparticles | 3 | 99 | 3.25–3.32 | - | [24] |
| Thin film | Sol-gel, ultrasonic spray pyrolysis | Grains | 3 | >85 | 3.3 | - | [27] |
| Thin film | sol-gel, dip coating | Grains | 1.4 | >90 | 3.29 | 2.1 × 10−2 | [68] |
| Thin film | Sol-gel, spin coating | Grains | 2 | >75 | 3.25–3.30 | - | [69] |
| Thin film | Sol-gel, ultrasonic spray pyrolysis | Grains | 0.5 | 87 | 3.23–3.35 | 4 × 10−3 | [63] |
| Thin film | Aerosol-assisted CVD (AACVD) | Grains | 2.9 | 84 | 3.40 | 3.54 × 10−3 | [52] |
| Particles | Solvothermal method | Particles | 1–9 | ~80 | 2.84–3.36 | - | [70] |
| Thin film | Sol-gel, spin-coating | Nanostructures | 2 | 97 | 3.39–3.37 | [40] | |
| Nanowire | Hydrothermal method | Nanowires | 1–3 | >80 | 3.23–3.37 | - | [22] |
| Nanorods | Electrodeposition | Nanorods | 1–2 | 61–82 | - | - | [23] |
| co-Doped ZnO | Process | Morphology | ODL (at%) | T (%) | Eg (eV) | ρ (Ω cm) | Ref. |
|---|---|---|---|---|---|---|---|
| AIZO | Sol-gel, ultrasonic spray pyrolysis | Grains | Al, In = 2 | 89.10 | 3.41 | 3.44 × 10−3 | [71] |
| AIZO | Sol-gel, ultrasonic spray pyrolysis | Grains | Al, In = 1.5 | 79.62 | 3.53 | 2.74 × 10−3 | [72] |
| AGZO | Sol-gel, spin coating | Micro-rods | Al, Ga = 1 | 95 | 23 | [73] | |
| AGZO | Aerosol-assisted CVD (AACVD) | Grains | - | ~80 | 3.27–3.28 | 2.74 × 10−2 | [25] |
| Sm:AZO | Nebulizer spray pyrolysis | Grains | Al = 3, Sm = 1 | 90 | 3.30 | 4.31 × 10−4 | [12] |
| Pr:AZO | Nebulizer spray pyrolysis | Grains | Al = 3, Pr = 1.5 | 84–90 | 3.25 | 4.62 × 10−4 | [11] |
| Ni:AZO | sol-gel, dip coating | Grains | - | - | ~3.20–3.28 | - | [76] |
| TAZO | Sol-gel, dip coating | Grains | Al, Sn = 1 | 88 | ~ 3.28 | - | [74] |
| Ag:AZO | Sol-gel, spin-coating | Nanostructures | - | 85 | 3.14 | 5.18 × 10−2 | [75] |
Disclaimer/Publisher’s Note: The statements, opinions and data contained in all publications are solely those of the individual author(s) and contributor(s) and not of MDPI and/or the editor(s). MDPI and/or the editor(s) disclaim responsibility for any injury to people or property resulting from any ideas, methods, instructions or products referred to in the content. |
© 2023 by the authors. Licensee MDPI, Basel, Switzerland. This article is an open access article distributed under the terms and conditions of the Creative Commons Attribution (CC BY) license (https://creativecommons.org/licenses/by/4.0/).
Share and Cite
Singh, M.; Scotognella, F. Recent Progress in Solution Processed Aluminum and co-Doped ZnO for Transparent Conductive Oxide Applications. Micromachines 2023, 14, 536. https://doi.org/10.3390/mi14030536
Singh M, Scotognella F. Recent Progress in Solution Processed Aluminum and co-Doped ZnO for Transparent Conductive Oxide Applications. Micromachines. 2023; 14(3):536. https://doi.org/10.3390/mi14030536
Chicago/Turabian StyleSingh, Mandeep, and Francesco Scotognella. 2023. "Recent Progress in Solution Processed Aluminum and co-Doped ZnO for Transparent Conductive Oxide Applications" Micromachines 14, no. 3: 536. https://doi.org/10.3390/mi14030536
APA StyleSingh, M., & Scotognella, F. (2023). Recent Progress in Solution Processed Aluminum and co-Doped ZnO for Transparent Conductive Oxide Applications. Micromachines, 14(3), 536. https://doi.org/10.3390/mi14030536

