Modeling the Effects of Threading Dislocations on Current in AlGaN/GaN HEMT
Abstract
1. Introduction
2. Description and Parameter Extraction Methods
2.1. Modeling the Effects of Threading Dislocations on Drain Current
2.2. Modeling the Effects of Threading Dislocations on Gate Current
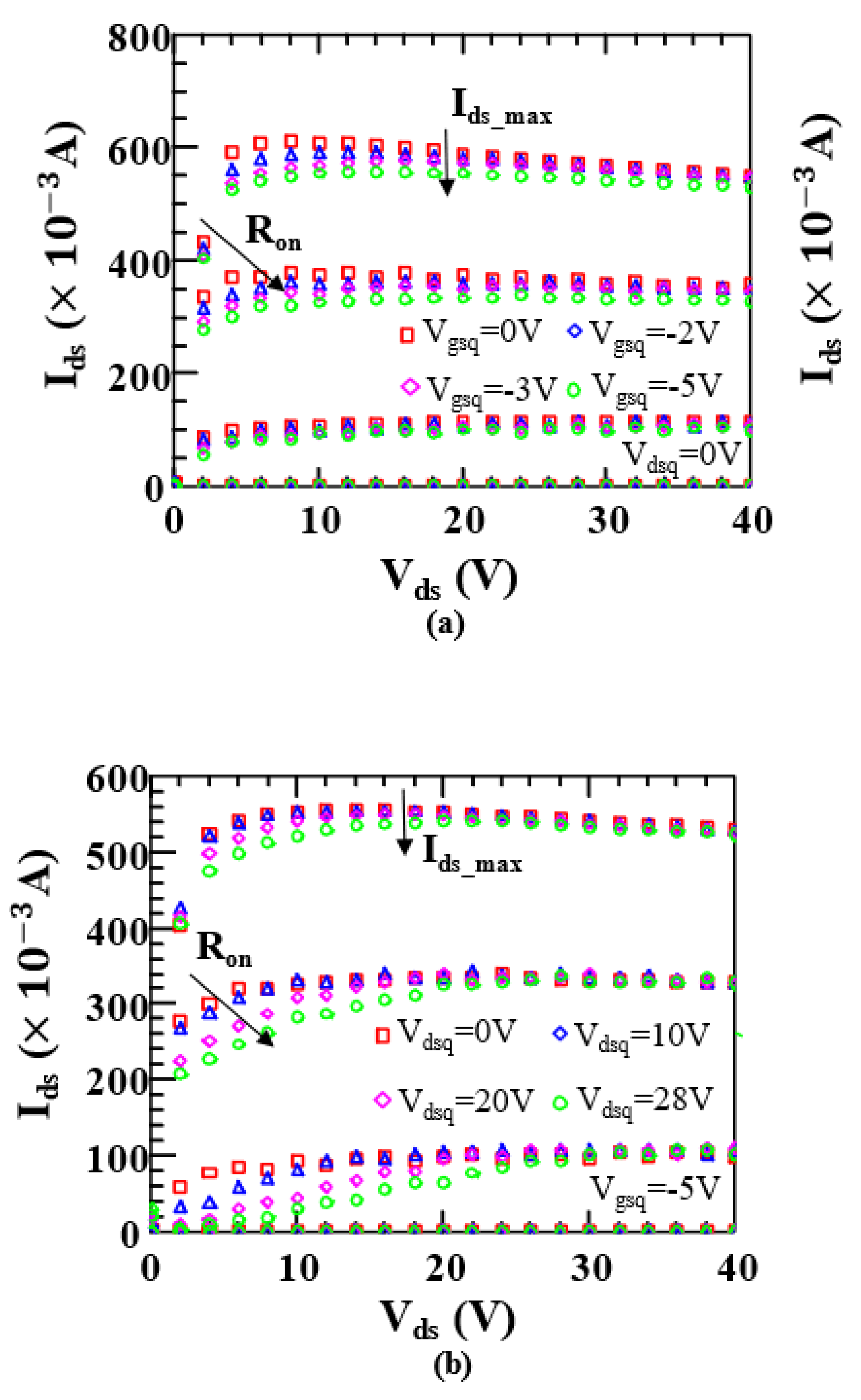
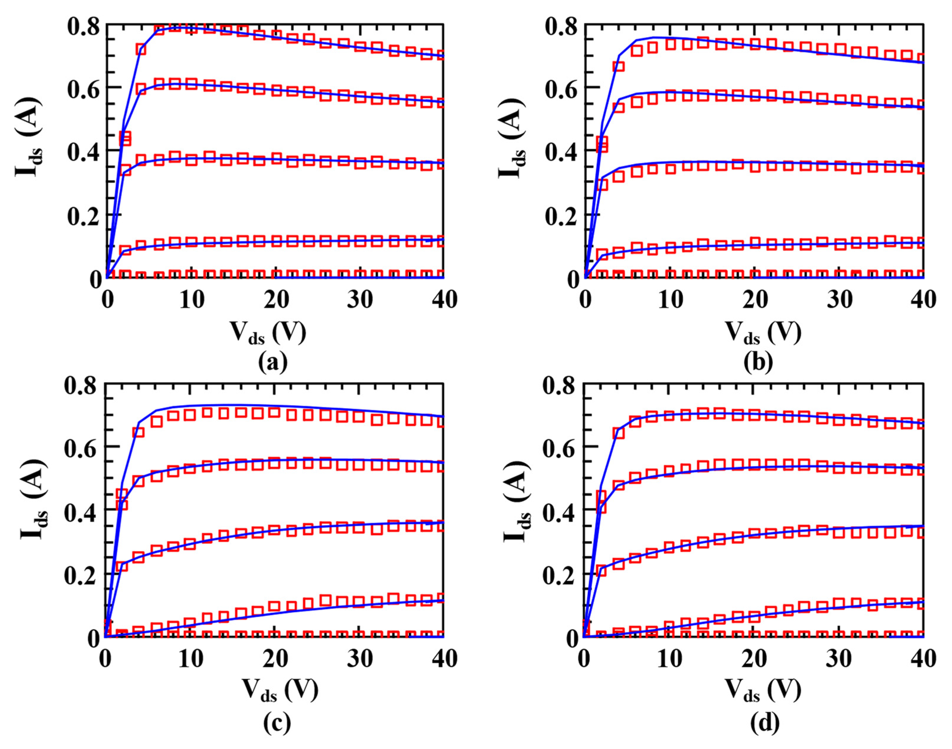
3. Model Validation and Analysis
4. Conclusions
Author Contributions
Funding
Data Availability Statement
Conflicts of Interest
References
- Mishra, U.K.; Parikh, P.; Wu, Y.-F. AlGaN/GaN HEMTs-an overview of device operation and applications. Proc. IEEE 2002, 90, 1022–1031. [Google Scholar] [CrossRef]
- Quay, R. Gallium Nitride Electronics. Semicond. Sci. Technol. 2013, 28, 70301. [Google Scholar]
- Shen, L.; Heikman, S.; Moran, B.; Coffie, R.; Zhang, N.-Q.; Buttari, D.; Smorchkova, I.; Keller, S.; DenBaars, S.; Mishra, U. AlGaN/AlN/GaN high-power microwave HEMT. IEEE Electron Device Lett. 2001, 22, 457–459. [Google Scholar] [CrossRef]
- Eastman, L.; Tilak, V.; Kaper, V.; Smart, J.; Thompson, R.; Green, B.; Shealy, J.; Prunty, T. Progress in High-Power, High Frequency AlGaN/GaN HEMTs. Phys. Status. Solidi. A 2002, 194, 433–438. [Google Scholar] [CrossRef]
- Belabbas, I.; Béré, A.; Chen, J.; Petit, S.; Belkhir, M.A.; Ruterana, P.; Nouet, G. Atomistic modeling of the (a+c)-mixed dislocation core in wurtzite GaN. Phys. Rev. B 2007, 75, 115201. [Google Scholar] [CrossRef]
- Marino, F.A.; Faralli, N.; Palacios, T.; Ferry, D.K.; Goodnick, S.M.; Saraniti, M. Effects of threading dislocations on Al-GaN/GaN high-electron mobility transistors. IEEE Trans. Electron Devices. 2009, 57, 353–360. [Google Scholar] [CrossRef]
- Meneghini, M.; Ronchi, N.; Stocco, A.; Meneghesso, G.; Mishra, U.K.; Pei, Y.; Zanoni, E. Investigation of Trapping and Hot-Electron Effects in GaN HEMTs by Means of a Combined Electrooptical Method. IEEE Trans. Electron Devices 2011, 58, 2996–3003. [Google Scholar] [CrossRef]
- Meneghini, M.; Stocco, A.; Bertin, M.; Marcon, D.; Chini, A.; Meneghesso, G.; Zanoni, E. Time-dependent degradation of AlGaN/GaN high electron mobility transistors under reverse bias. Appl. Phys. Lett. 2012, 100, 033505. [Google Scholar] [CrossRef]
- Joh, J.; del Alamo, J.A. Time Evolution of Electrical Degradation under High-Voltage Stress in GaN high Electron Mobility Tran-sistors. In Proceedings of the 2011 International Reliability Physics Symposium, Monterey, CA, USA, 10–14 April 2011; pp. 4E.3.1–4E.3.4. [Google Scholar]
- Wang, M.; Yan, D.; Zhang, C.; Xie, B.; Wen, C.P.; Wang, J.; Hao, Y.; Wu, W.; Shen, B. Investigation of Surface- and Buffer-Induced Current Collapse in GaN High-Electron Mobility Transistors Using a Soft Switched Pulsed I − V Measurement. IEEE Electron Device Lett. 2014, 35, 1094–1096. [Google Scholar] [CrossRef]
- Xin, Y.; Pennycook, S.J.; Browning, N.D.; Nellist, P.D.; Sivananthan, S.; Omnès, F.; Beaumont, B.; Faurie, J.P.; Gibart, P. Direct observation of the core structures of threading dislocations in GaN. Appl. Phys. Lett. 1998, 72, 2680–2682. [Google Scholar] [CrossRef]
- Saito, W.; Kuraguchi, M.; Takada, Y.; Tsuda, K.; Omura, I.; Ogura, T. Influence of surface defect charge at AlGaN-GaN-HEMT upon Schottky gate leakage current and breakdown voltage. IEEE Trans. Electron Devices 2005, 52, 159–164. [Google Scholar] [CrossRef]
- Meneghini, M.; Bertin, M.; Stocco, A.; Santo, G.D.; Marcon, D.; Malinowski, P.E.; Chini, A.; Meneghesso, G.; Zanoni, E. Degradation of AlGaN/GaN Schottky diodes on silicon: Role of defects at the AlGaN/GaN interface. Appl. Phys. Lett. 2013, 102, 163501. [Google Scholar] [CrossRef]
- Yan, D.; Lu, H.; Cao, D.; Chen, D.; Zhang, R.; Zheng, Y. On the reverse gate leakage current of AlGaN/GaN high electron mobility transistors. Appl. Phys. Lett. 2010, 97, 153503. [Google Scholar] [CrossRef]
- Chikhaoui, W.; Bluet, J.-M.; Poisson, M.-A.; Sarazin, N.; Dua, C.; Bru-Chevallier, C. Current deep level transient spectroscopy analysis of AlInN/GaN high electron mobility transistors: Mechanism of gate leakage. Appl. Phys. Lett. 2010, 96, 072107. [Google Scholar] [CrossRef]
- Ye, P.D.; Yang, B.; Ng, K.K.; Bude, J.; Wilk, G.D.; Halder, S.; Hwang, J.C.M. GaN metal-oxide-semiconductor high-electron-mobility-transistor with atomic layer deposited Al2O3 as gate dielectric. Appl. Phys. Lett. 2005, 86, 063501. [Google Scholar] [CrossRef]
- Usami, S.; Ando, Y.; Tanaka, A.; Nagamatsu, K.; Deki, M.; Kushimoto, M.; Nitta, S.; Honda, Y.; Amano, H.; Sugawara, Y.; et al. Correlation between dislocations and leakage current of p-n diodes on a free-standing GaN substrate. Appl. Phys. Lett. 2018, 112, 182106. [Google Scholar] [CrossRef]
- Brazel, E.G.; Chin, M.A.; Narayanamurti, V. Direct observation of localized high current densities in GaN films. Appl. Phys. Lett. 1999, 74, 2367–2369. [Google Scholar] [CrossRef]
- Ghosh, S.; Ahsan, S.A.; Dasgupta, A.; Khandelwal, S.; Chauhan, Y.S. GaN HEMT Modeling for Power and RF Applications Using ASM-HEMT. In Proceedings of the 2016 3rd International Conference on Emerging Electronics (ICEE), Mumbai, India, 27–30 December 2016; IEEE: Piscataway, NJ, USA; pp. 1–4. [Google Scholar] [CrossRef]
- Radhakrishna, U. Modeling Gallium-Nitride Based High Electron Mobility Transistors: Linking Device Physics to High Voltage and High Frequency Circuit Design. Ph.D. Thesis, Massachusetts Institute Of Technology, Cambridge, MA, USA, 2016. [Google Scholar]
- Leoni, R.E.; Shirokov, M.S.; Bao, J.; Hwang, J.C.M. A phenomenologically based transient SPICE model for digitally modulated RF perfor-mance characteristics of GaAs MESFETs. IEEE Trans. Microw. Theory Tech. 2001, 49, 1180–1186. [Google Scholar] [CrossRef]
- Jardel, O.; De Groote, F.; Reveyrand, T.; Jacquet, J.-C.; Charbonniaud, C.; Teyssier, J.-P.; Floriot, D.; Quere, R. An Electrothermal Model for AlGaN/GaN Power HEMTs Including Trapping Effects to Improve Large-Signal Simulation Results on High VSWR. IEEE Trans. Microw. Theory Tech. 2007, 55, 2660–2669. [Google Scholar] [CrossRef]
- Khandelwal, S.; Chauhan, Y.S.; Fjeldly, T.A.; Ghosh, S.; Pampori, A.; Mahajan, D.; Dangi, R.; Ahsan, S.A. ASM GaN: Industry standard model for GaN RF and power devices—Part 1: DC, CV, and RF model. IEEE Trans. Electron Devices 2018, 66, 80–86. [Google Scholar] [CrossRef]
- Prasad, A.; Thorsell, M.; Zirath, H.; Fager, C. Accurate modeling of GaN HEMT RF behavior using an effective trapping po-tential. IEEE Trans. Microw. Theory Tech. 2017, 66, 845–857. [Google Scholar] [CrossRef]
- Turuvekere, S.; Karumuri, N.; Rahman, A.A.; Bhattacharya, A.; DasGupta, A.; DasGupta, N. Gate Leakage Mechanisms in AlGaN/GaN and AlInN/GaN HEMTs: Comparison and Modeling. IEEE Trans. Electron Devices 2013, 60, 3157–3165. [Google Scholar] [CrossRef]
- Ghosh, S.; Dasgupta, A.; Khandelwal, S.; Agnihotri, S.; Chauhan, Y.S. Surface-Potential-Based Compact Modeling of Gate Current in AlGaN/GaN HEMTs. IEEE Trans. Electron Devices 2014, 62, 443–448. [Google Scholar] [CrossRef]
- Kim, K.-S.; Kim, J.-H.; Cho, S.N. Leakage current characteristics of nitride-based InGaN light-emitting diode. IEEE Photon. Tech. Lett. 2011, 23, 483–485. [Google Scholar] [CrossRef]
- Zhang, H.; Miller, E.J.; Yu, E.T. Analysis of leakage current mechanisms in Schottky contacts to GaN and Al 0.25 Ga 0.75 N/Ga N grown by molecular-beam epitaxy. J. Appl. Phys. 2006, 99, 023703. [Google Scholar] [CrossRef]
- Agnihotri, S.; Ghosh, S.; Dasgupta, A.; Chauhan, Y.S.; Khandelwal, S. A Surface Potential Based Model for GaN HEMTs. In Proceedings of the 2013 IEEE Asia Pacific Conference on Postgraduate Research in Microelectronics and Electronics (PrimeAsia), Visakhapatnam, India, 19–21 December 2013; pp. 175–179. [Google Scholar] [CrossRef]
- Horio, K.; Yonemoto, K.; Takayanagi, H.; Nakano, H. Physics-based simulation of buffer-trapping effects on slow current transients and current collapse in GaN field effect transistors. J. Appl. Phys. 2005, 98, 124502. [Google Scholar] [CrossRef]
- Lanford, W.; Kumar, V.; Schwindt, R.; Kuliev, A.; Adesida, I.; Dabiran, A.M.; Wowchak, A.M.; Chow, P.P.; Lee, J.-W. Al-GaN/InGaN HEMTs for RF current collapse suppression. Electron. Lett. 2004, 40, 771–772. [Google Scholar] [CrossRef]
- Wang, R.; Tong, X.; Xu, J.; Dong, C.; Cheng, Z.; Zhang, L.; Zhang, S.; Zheng, P.; Chen, F.-X.; Zhang, Y.; et al. Acceptor Decoration of Threading Dislocations in (Al, Ga) N/Ga N Heterostructures. Phys. Rev. Appl. 2020, 14, 024039. [Google Scholar] [CrossRef]
- Arslan, E.; Butun, S.; Ozbay, E. Leakage current by Frenkel–Poole emission in Ni/Au Schottky contacts on Al 0.83 In 0.17 N/AlN/GaN heterostructures. Appl. Phys. Lett. 2009, 94, 142106. [Google Scholar] [CrossRef]
- Wang, J.; Sun, L.; Liu, J.; Zhou, M. A surface-potential-based model for AlGaN/AlN/GaN HEMT. J. Semicond. 2013, 34, 094002. [Google Scholar] [CrossRef]







| Parameters | Values |
|---|---|
| 100 | |
| 2 | |
| 200 | |
| ] | 120 |
| 2 | |
| 200 |
| Parameters | ||
|---|---|---|
| −40.42 m | 26.67 m | |
| −1.197 n | 90 p | |
| −100 m | 10 m | |
| −991.2 m | 1.413 |
Disclaimer/Publisher’s Note: The statements, opinions and data contained in all publications are solely those of the individual author(s) and contributor(s) and not of MDPI and/or the editor(s). MDPI and/or the editor(s) disclaim responsibility for any injury to people or property resulting from any ideas, methods, instructions or products referred to in the content. |
© 2023 by the authors. Licensee MDPI, Basel, Switzerland. This article is an open access article distributed under the terms and conditions of the Creative Commons Attribution (CC BY) license (https://creativecommons.org/licenses/by/4.0/).
Share and Cite
Liu, C.; Wang, J.; Chen, Z.; Liu, J.; Su, J. Modeling the Effects of Threading Dislocations on Current in AlGaN/GaN HEMT. Micromachines 2023, 14, 305. https://doi.org/10.3390/mi14020305
Liu C, Wang J, Chen Z, Liu J, Su J. Modeling the Effects of Threading Dislocations on Current in AlGaN/GaN HEMT. Micromachines. 2023; 14(2):305. https://doi.org/10.3390/mi14020305
Chicago/Turabian StyleLiu, Censong, Jie Wang, Zhanfei Chen, Jun Liu, and Jiangtao Su. 2023. "Modeling the Effects of Threading Dislocations on Current in AlGaN/GaN HEMT" Micromachines 14, no. 2: 305. https://doi.org/10.3390/mi14020305
APA StyleLiu, C., Wang, J., Chen, Z., Liu, J., & Su, J. (2023). Modeling the Effects of Threading Dislocations on Current in AlGaN/GaN HEMT. Micromachines, 14(2), 305. https://doi.org/10.3390/mi14020305

