Calculation and AFM Experimental Research on Slip Friction for Unlubricated Spherical Contact with Roughness Effect
Abstract
:1. Introduction
2. Modeling
2.1. Contact Model of Sphere and Nominal Rough Flat
- The rough surface is isotropic.
- All asperity summits are spherical and have the same radius, , whereas their heights vary randomly.
- There is no interaction and bulk deformation of the asperities.
2.2. Friction Model of Single Asperity Based on Potential Barrier Theory
2.3. Slip Friction of Rough Surface Contact
3. Experiments
- Sample preparation
- 2.
- Sample topography parameter measurement
- 3.
- Surface energy measurement
- 4.
- Friction experiment
4. Results and Discussion
4.1. Sample Surface Characterization
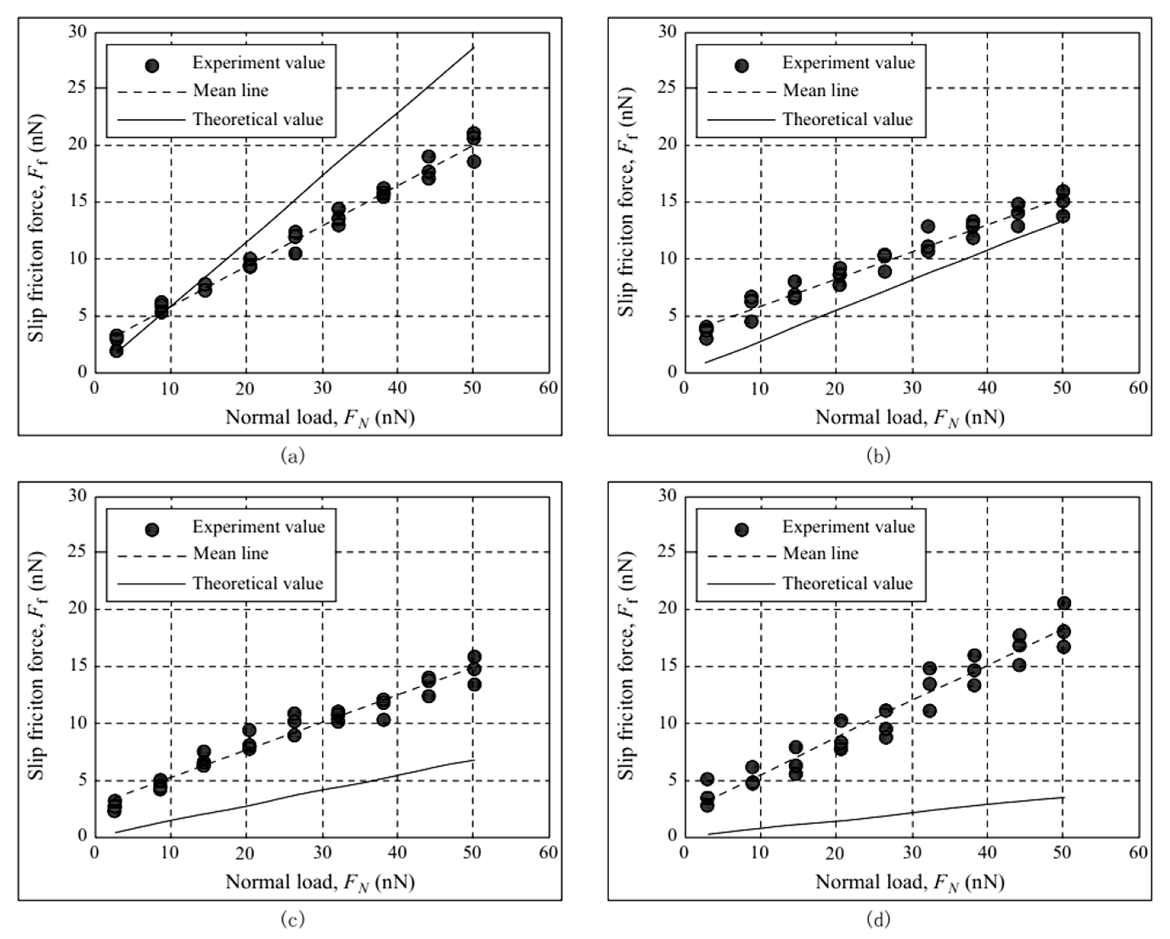
4.2. Friction Experimental Results
5. Conclusions
Author Contributions
Funding
Acknowledgments
Conflicts of Interest
Nomenclature
| lattice constant | |
| real contact area | |
| sliding friction force | |
| external normal force | |
| temperature coefficient | |
| separation based on surface heights | |
| position commensurate coefficient | |
| hardness factor, | |
| external normal force | |
| radius of the sphere | |
| height of an asperity measured from the mean of the asperity heights | |
| surface roughness parameter, | |
| energy of adhesion | |
| interfacial potential difference | |
| adhesion energy of the contact interface | |
| distribution function of the asperity heights | |
| area density of the asperities | |
| asperity tip radius of curvature | |
| static friction coefficient | |
| Poisson’s ratio of the softer material | |
| standard deviation of the surface heights | |
| standard deviation of the asperity heights | |
| interference | |
| critical interference at the inception of plastic deformation | |
| plasticity index |
References
- Krim, J. Friction and energy dissipation mechanisms in adsorbed molecules and molecularly thin films. Adv. Phys. 2012, 61, 155–323. [Google Scholar] [CrossRef]
- Ramírez, J.S.; Gallego, F.B.; Nicolás, J.A.; García, F.M. Analysis of Chaotic Response of Frenkel-Kontorova-Tomlinson Model. Symmetry 2020, 12, 1413. [Google Scholar] [CrossRef]
- Schwarz, U.D.; Hendrik, H. Exploring and Explaining Friction with the Prandtl–Tomlinson Model. ACS Nano 2016, 10, 38–41. [Google Scholar] [CrossRef] [PubMed]
- Xu, Z.; Huang, P. Study on the energy dissipation mechanism of atomic-scale friction with composite oscillator model—ScienceDirect. Wear 2007, 262, 972–977. [Google Scholar] [CrossRef]
- Bowden, F.P.; Tabor, D. Friciton and Lubrication of Solids; Oxford university Press: Oxford, UK, 1954. [Google Scholar]
- Kogut, L.; Etsion, I. A finite element based elastic-plastic model for the contact of rough surfaces. Tribol. Trans. 2003, 46, 383–390. [Google Scholar] [CrossRef]
- Kogut, L.; Etsion, I. A semi-analytical solution for the sliding inception of a spherical contact. J. Tribol. 2003, 125, 499–506. [Google Scholar] [CrossRef]
- Brizmer, V.; Kligerman, Y.; Etsion, I. Elastic–plastic spherical contact under combined normal and tangential loading in full stick. Tribol. Lett. 2007, 25, 61–70. [Google Scholar] [CrossRef]
- Greenwood, J.A.; Williamson, J.B.P. Contact of nominally flat surfaces. Proc. R. Soc. A Math. Phys. Eng. Sci. 1966, 295, 300–319. [Google Scholar] [CrossRef]
- Kogut, L.; Etsion, I. A static friction model for elastic-plastic contacting rough surfaces. J. Tribol. 2004, 126, 34–40. [Google Scholar] [CrossRef]
- Cohen, D.; Kligerman, Y.; Etsion, I. A model for contact and static friction of nominally flat rough surfaces under full stick contact condition. J. Tribol. 2008, 130, 031401. [Google Scholar] [CrossRef]
- Li, L.; Etsion, I.; Talke, F.E. Contact area and static friction of rough surfaces with high plasticity index. J. Tribol. 2010, 132, 031401. [Google Scholar] [CrossRef]
- Wang, X.; Xu, Y.; Jackson, R.L. Elastic–plastic sinusoidal waviness contact under combined normal and tangential loading. Tribol. Lett. 2017, 65, 8–15. [Google Scholar] [CrossRef]
- Eriten, M.; Polycarpou, A.A.; Bergman, L.A. Physics-based modeling for partial slip behavior of spherical contacts. Solids Struct. 2010, 47, 18–19. [Google Scholar] [CrossRef] [Green Version]
- Xu, Z.; Ding, L.; Huang, P. Interfacial potential barrier theory of friction and wear. Front. Mech. Eng. China 2008, 3, 276–282. [Google Scholar] [CrossRef]
- Zhu, S.; Ni, L. A static friction model for unlubricated contact of random rough surfaces at micro/nano scale. Micromachines 2021, 12, 368. [Google Scholar] [CrossRef]
- Zhou, X.; Guo, Y.; Wang, D.; Xu, Q. Nano friction and adhesion properties on Ti3C2 and Nb2C MXene studied by AFM. Tribol. Int. 2021, 153, 106646. [Google Scholar] [CrossRef]
- Mate, C.M.; McClelland, G.M.; Erlandsson, R. Atomic-scale friction of a tungsten tip on a graphite surface. Phys. Rev. Lett. 1987, 59, 1942–1945. [Google Scholar] [CrossRef] [PubMed]
- Zhu, S.; Huang, P. Calculation model of friction force of nano-scale rough surface on the basis of LJ potential and stochastic processes. South China Univ. Technol. Nat. Sci. Ed. 2016, 44, 55–60. [Google Scholar] [CrossRef]
- Greenwood, J.A.; Tripp, J.H. The contact of two nominally flat rough surfaces. Proc. Inst. Mech. Eng. 1970, 185, 625–634. [Google Scholar] [CrossRef]
- Li, L.; Etsion, I.; Talke, F.E. Elastic-Plastic Spherical Contact Modeling Including Roughness Effects. Tribol. Lett. 2010, 40, 357–363. [Google Scholar] [CrossRef] [Green Version]
- Cohen, D.; Kligerman, Y.; Etsion, I. The Effect of Surface Roughness on Static Friction and Junction Growth of an Elastic-Plastic Spherical contact. J. Tribol. 2009, 131, 021404. [Google Scholar] [CrossRef]
- James, H.R.; Smith, J.R.; Ferrante, J. Universal features of bonding in metals. Phys. Rev. B 1983, 28, 1835–1845. [Google Scholar]
- Abbas, I.A.; Marin, M. Analytical solutions of a two-dimensional generalized thermoelastic diffusions problem due to laser pulse. Iran. J. Sci. Technol. Trans. Mech. Eng. 2017, 42, 57–71. [Google Scholar] [CrossRef]
- Marin, M.; Othman, M.I.A.; Seadawy, A.R.; Carstea, C. A domain of influence in the Moore–Gibson–Thompson theory of dipolar bodies. J. Taibah Univ. Sci. 2020, 14, 653–660. [Google Scholar] [CrossRef]
- Smith, J.R.; Perry, T.; Banerjea, A.; Ferrante, J.; Bozzolo, G. Equivalent crystal theory of metal and semiconductor surface and defects. Phys. Rev. B 1991, 44, 6444–6465. [Google Scholar] [CrossRef]
- Groza, G.; Pop, N. Approximate solution of multipoint boundary value problems for linear differential equations by polynomial functions. J. Diff. Equ. Appl. 2008, 14, 1289–1309. [Google Scholar] [CrossRef]
- Pérez-Ràfols, F.; Almqvist, A. On the stiffness of surfaces with non-Gaussian height distribution. Sci. Rep.-UK 2021, 11, 1. [Google Scholar] [CrossRef]
- Brizmer, V.; Zait, Y.; Kligerman, Y.; Etsion, I. The effect of contact conditions and material properties on elastic-plastic spherical contact. J. Mech. Mater. Struct. 2006, 1, 865–879. [Google Scholar] [CrossRef] [Green Version]
- Okamoto, Y.; Tohyama, Y.; Inagaki, S.; Takiguchi, M.; Ono, T.; Lebrasseur, E.; Mita, Y. High-uniformity centimeter-wide Si etching method for MEMS devices with large opening elements. Jpn. J. Appl. Phys. 2018, 57, 04FC03. [Google Scholar] [CrossRef] [Green Version]
- Rongyu, C.; Ping, H. Experiment Study on Adhesion between Rough Surfaces. Tribol 2016, 36, 269–275. [Google Scholar]
- Yan, W.; Jianhua, W. Friction determination by atomic force microscopy in Field of biochemical science. Micromachines 2018, 9, 313. [Google Scholar] [CrossRef] [Green Version]
- Adeline, R.; Alae, E.H.; Odile, F.; Sophie, C. Surface free-energy determination of copper wire using a large range of model liquids. SN Appl. Sci. 2020, 2, 1–9. [Google Scholar] [CrossRef] [Green Version]
- Barnat-Hunek, D.; Smarzewski, P. Influence of hydrophobisation on surface free energy of hybrid fiber reinforced ultra-high performance concrete. Constr. Build. Mater. 2016, 102, 367–377. [Google Scholar] [CrossRef]
- Song, H.; Vakis, A.I.; Liu, X.; Giessen, E. Statistical model of rough surface contact accounting for size-dependent plasticity and asperity interaction. J. Mech. Phys. Solids 2017, 106, 1–14. [Google Scholar] [CrossRef] [Green Version]
- Qingpeng, W.; Li, Z.; Bin, C.; Yangtao, G.; Zhang, L. A deterministic contact model considering the interaction between asperities. J. Xi’an Jiaotong Univ. 2018, 52, 91–97. [Google Scholar] [CrossRef]
- Tianmao, L.; Shengguang, Z.; Ping, H. Adhesion behavior of a grating at a single location by using an AFM flat tip under different conditions. J. Adhes. 2015, 159, 558–573. [Google Scholar] [CrossRef]











| Symbol | Function |
|---|---|
| Measuring Liquid | |||
|---|---|---|---|
| Distilled Water | 72.8 | 21.8 | 51.0 |
| Diiodomethane | 50.8 | 48.5 | 2.3 |
| No | Distilled Water (°) | Diiodomethane (°) | |||
|---|---|---|---|---|---|
| Sample 1 | 41.9 ± 2.8 | 36.5 ± 3.3 | 37.43 | 27.23 | 64.66 |
| Sample 2 | 39.4 ± 2.2 | 32.5 ± 1.4 | 39.01 | 27.95 | 66.96 |
| Sample 3 | 45.0 ± 3.5 | 35.6 ± 4.2 | 37.80 | 25.53 | 63.35 |
| Sample 4 | 43.6 ± 1.9 | 32.7 ± 2.7 | 38.96 | 25.88 | 64.84 |
| Name | R (µm) | w (µm) | b (µm) | l (µm) | h (µm) | E (N/m2) | G (N/m2) | kn (Nm−1) | kl (Nm−1) |
|---|---|---|---|---|---|---|---|---|---|
| silicon probe | 9.55 | 40.05 | 3.51 | 240.20 | 54.40 | 1.69 × 1011 | 0.5 × 1011 | 5.28 | 40.61 |
| No. | Etching Time | Sa (nm) | Sq (nm) | Ssk | Sku | η (nm−2) | (nm) | |
|---|---|---|---|---|---|---|---|---|
| Sample 1 | 5 min | 8.9 ± 0.6 | 11.4 ± 0.5 | 0.048 ± 0.008 | 3.14 ± 0.03 | 7.604 × 10−7 | 4.614 | 0.4553 |
| Sample 2 | 10 min | 18.8 ± 1.3 | 24.1 ± 0.8 | 0.316 ± 0.037 | 3.75 ± 0.17 | 7.488 × 10−7 | 2.216 | 0.9551 |
| Sample 3 | 15 min | 43.1 ± 2.8 | 55.6 ± 1.9 | 0.205 ± 0.103 | 3.49 ± 0.07 | 5.192 × 10−7 | 1.385 | 1.8348 |
| Sample 4 | 20 min | 125 ± 4.3 | 168 ± 8.1 | −0.046 ± 0.015 | 3.26 ± 0.62 | 1.224 × 10−7 | 0.958 | 3.8347 |
Publisher’s Note: MDPI stays neutral with regard to jurisdictional claims in published maps and institutional affiliations. |
© 2021 by the authors. Licensee MDPI, Basel, Switzerland. This article is an open access article distributed under the terms and conditions of the Creative Commons Attribution (CC BY) license (https://creativecommons.org/licenses/by/4.0/).
Share and Cite
Zhu, S.; Ni, L. Calculation and AFM Experimental Research on Slip Friction for Unlubricated Spherical Contact with Roughness Effect. Micromachines 2021, 12, 1428. https://doi.org/10.3390/mi12111428
Zhu S, Ni L. Calculation and AFM Experimental Research on Slip Friction for Unlubricated Spherical Contact with Roughness Effect. Micromachines. 2021; 12(11):1428. https://doi.org/10.3390/mi12111428
Chicago/Turabian StyleZhu, Shengguang, and Liyong Ni. 2021. "Calculation and AFM Experimental Research on Slip Friction for Unlubricated Spherical Contact with Roughness Effect" Micromachines 12, no. 11: 1428. https://doi.org/10.3390/mi12111428
APA StyleZhu, S., & Ni, L. (2021). Calculation and AFM Experimental Research on Slip Friction for Unlubricated Spherical Contact with Roughness Effect. Micromachines, 12(11), 1428. https://doi.org/10.3390/mi12111428
