Dual-Tunable Broadband Terahertz Absorber Based on a Hybrid Graphene-Dirac Semimetal Structure
Abstract
1. Introduction
2. Materials and Design
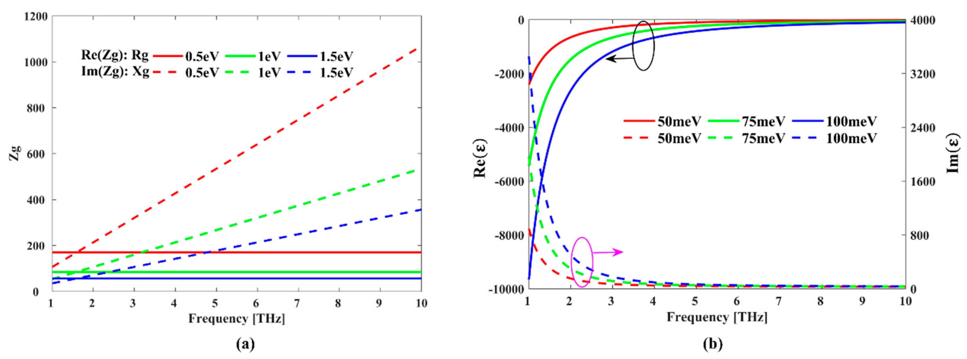
2.1. Graphene Material
2.2. BDS Material
2.3. Design Method
3. Results and Discussions
4. Conclusions
Author Contributions
Funding
Conflicts of Interest
References
- Federici, J.; Moeller, L. Review of terahertz and subterahertz wireless communications. J. Appl. Phys. 2010, 107, 111101. [Google Scholar] [CrossRef]
 - Guo, C.; Zhang, J.; Xu, W.; Liu, K.; Yuan, X.; Qin, S.; Zhu, Z. Graphene-based perfect absorption structures in the visible to terahertz band and their optoelectronics applications. Nanomaterials 2018, 8, 1033. [Google Scholar] [CrossRef] [PubMed]
 - Jepsen, P.U.; Cooke, D.G.; Koch, M. Terahertz spectroscopy and imaging-Modern techniques and applications. Laser Photonics Rev. 2011, 5, 125–159. [Google Scholar] [CrossRef]
 - Xu, Z.; Wu, D.; Liu, Y.; Liu, C.; Yu, Z.; Yu, L.; Ye, H. Design of a tunable ultra-broadband terahertz absorber based on multiple layers of graphene ribbons. Nanoscale Res. Lett. 2018, 13, 143. [Google Scholar] [CrossRef] [PubMed]
 - Zhang, Y.; Feng, Y.; Zhu, B.; Zhao, J.; Jiang, T. Graphene based tunable metamaterial absorber and polarization modulation in terahertz frequency. Opt. Express 2014, 22, 22743–22752. [Google Scholar] [CrossRef] [PubMed]
 - Xiong, H.; Yang, F. Ultra-broadband and tunable saline water-based absorber in microwave regime. Opt. Express 2020, 28, 5306–5316. [Google Scholar] [CrossRef] [PubMed]
 - Geim, A.K. Graphene: Status and prospects. Science 2009, 324, 1530–1534. [Google Scholar] [CrossRef] [PubMed]
 - Xiang, J.; Hu, S.; Lyu, M.; Zhu, W.; Ma, C.; Chen, Z.; Steglich, F.; Chen, G.; Sun, P. Large transverse thermoelectric figure of merit in a topological Dirac semimetal. Sci. China Phys. Mech. 2019, 63, 237011. [Google Scholar] [CrossRef]
 - Wieder, B.J.; Wang, Z.; Cano, J.; Dai, X.; Schoop, L.M.; Bradlyn, B.; Bernevig, B.A. Strong and fragile topological Dirac semimetals with higher-order Fermi arcs. Nat. Commun. 2020, 11, 627. [Google Scholar] [CrossRef]
 - Jiang, Y.; Wan, X.; Wang, J.; Wang, J. Tunable terahertz absorber based on bulk-Dirac-semimetal metasurface. IEEE Photonics J. 2018, 10, 4600607. [Google Scholar] [CrossRef]
 - Xiong, H.; Shen, Q.; Ji, Q. Broadband dynamically tunable terahertz absorber based on a Dirac semimetal. Appl. Opt. 2020, 59, 4970–4976. [Google Scholar] [CrossRef] [PubMed]
 - Wu, P.; Chen, Z.; Zhang, C.; Jian, R. A narrow dual-band monolayer unpatterned graphene-based perfect absorber with critical coupling in the near infrared. Micromachines 2020, 11, 58. [Google Scholar] [CrossRef] [PubMed]
 - Raad, S.H.; Atlasbaf, Z. Broadband continuous/discrete spectrum optical absorber using graphene-wrapped fractal oligomers. Opt. Express 2020, 28, 18049–18058. [Google Scholar] [CrossRef] [PubMed]
 - Yi, Z.; Chen, J.; Cen, C.; Chen, X.; Zhou, Z.; Tang, Y.; Ye, X.; Xiao, S.; Luo, W.; Wu, P. Tunable graphene-based plasmonic perfect metamaterial absorber in the THz region. Micromachines 2019, 10, 194. [Google Scholar] [CrossRef]
 - Chen, M.; Chen, C.; Deng, S.; Liu, H.; Teng, C.; Cheng, Y.; Yang, H.; Xu, R.; Deng, H.; Yuan, L. Dynamically tunable polarization-independent terahertz absorber based on bulk Dirac semimetals. OSA Contin. 2019, 2, 2477–2486. [Google Scholar] [CrossRef]
 - Meng, H.; Shang, X.; Xue, X.; Tang, K.; Xia, X.; Zhai, X.; Liu, Z.; Chen, J.; Li, H.; Wang, L. Bidirectional and dynamically tunable THz absorber with Dirac semimetal. Opt. Express 2019, 27, 31062–31074. [Google Scholar] [CrossRef]
 - Fang, P.; Shi, X.; Liu, C.; Zhai, X.; Li, H.; Wang, L. Single- and dual-band convertible terahertz absorber based on bulk Dirac semimetal. Opt. Commun. 2020, 462, 125333. [Google Scholar] [CrossRef]
 - Li, Y.; Zhai, X.; Xia, S.; Li, H.; Wang, L. Active control of narrowband total absorption based on terahertz hybrid Dirac semimetal-graphene metamaterials. J. Phys. D Appl. Phys. 2020, 53, 205106. [Google Scholar] [CrossRef]
 - Hanson, G.W. Dyadic Green’s functions and guided surface waves for a surface conductivity model of graphene. J. Appl. Phys. 2008, 103, 064302. [Google Scholar] [CrossRef]
 - Bolotin, K.I.; Sikes, K.J.; Jiang, Z.; Klima, M.; Fudenberg, G.; Hone, J.; Kim, P.; Stormer, H.L. Ultrahigh electron mobility in suspended graphene. Solid State Commun. 2008, 146, 351–355. [Google Scholar] [CrossRef]
 - Kotov, O.V.; Lozovik, Y.E. Dielectric response and novel electromagnetic modes in three-dimensional Dirac semimetal films. Phys. Rev. B 2016, 93, 235417. [Google Scholar] [CrossRef]
 - Wikipedia. Available online: https://en.wikipedia.org/wiki/Riemann%E2%80%93Siegel_theta_function (accessed on 20 August 2020).
 - Fu, P.; Liu, F.; Ren, G.J.; Su, F.; Li, D.; Yao, J.Q. A broadband metamaterial absorber based on multi-layer graphene in the terahertz region. Opt. Commun. 2018, 417, 62–66. [Google Scholar] [CrossRef]
 - Wang, T.; Zhang, Y.; Zhang, H.; Cao, M. Dual-controlled switchable broadband terahertz absorber based on a graphene-vanadium dioxide metamaterial. Opt. Mater. Express 2020, 10, 369–386. [Google Scholar] [CrossRef]
 









| Parameter | Size (μm) | Parameter | Size (μm) | Parameter | Size (μm) | 
|---|---|---|---|---|---|
| 0.2 | 6 | 1.4 | |||
| 0.2 | 2.9 | (a – 2 × )/2 | |||
| 4 | 1.8 | 0.1 | |||
| 2.8 | 0.5 | 0.9 | 
| References | Absorption Band (THz) | Fractional BW | Layers | Tunable Material | Polarization-Insensitivity | Angle-Insensitivity | 
|---|---|---|---|---|---|---|
| [4] | 3–7.8 | 88.8% | 8 | Graphene | insensitive | 50° | 
| [23] | 5.50–9.10 | 8.2% | 3 | Graphene | insensitive | 60° | 
| [17] | <0.1 | <5% | 1 | BDS | insensitive | 60° | 
| [24] | 1.05–1.6 | 42.5% | 2 | Graphene and vanadium dioxide | insensitive | 50° | 
| This paper | 4.06–10.7 | 89.97% | 2 | Graphene and BDS | insensitive | 60° | 
| Frequency (THz) | Real Part of Zr | Imaginary Part of Zr | 
|---|---|---|
| Peak I 4.49 | 1.027 | −0.01 | 
| Peak II 6.73 | 1.021 | −0.1673 | 
| Peak III 9.66 | 0.9495 | −0.02 | 
Publisher’s Note: MDPI stays neutral with regard to jurisdictional claims in published maps and institutional affiliations.  | 
© 2020 by the authors. Licensee MDPI, Basel, Switzerland. This article is an open access article distributed under the terms and conditions of the Creative Commons Attribution (CC BY) license (http://creativecommons.org/licenses/by/4.0/).
Share and Cite
Wu, J.; Yuan, X.; Zhang, Y.; Yan, X.; Zhang, X. Dual-Tunable Broadband Terahertz Absorber Based on a Hybrid Graphene-Dirac Semimetal Structure. Micromachines 2020, 11, 1096. https://doi.org/10.3390/mi11121096
Wu J, Yuan X, Zhang Y, Yan X, Zhang X. Dual-Tunable Broadband Terahertz Absorber Based on a Hybrid Graphene-Dirac Semimetal Structure. Micromachines. 2020; 11(12):1096. https://doi.org/10.3390/mi11121096
Chicago/Turabian StyleWu, Jiali, Xueguang Yuan, Yangan Zhang, Xin Yan, and Xia Zhang. 2020. "Dual-Tunable Broadband Terahertz Absorber Based on a Hybrid Graphene-Dirac Semimetal Structure" Micromachines 11, no. 12: 1096. https://doi.org/10.3390/mi11121096
APA StyleWu, J., Yuan, X., Zhang, Y., Yan, X., & Zhang, X. (2020). Dual-Tunable Broadband Terahertz Absorber Based on a Hybrid Graphene-Dirac Semimetal Structure. Micromachines, 11(12), 1096. https://doi.org/10.3390/mi11121096
        
