Quantifying Discretization Errors in Electrophoretically-Guided Micro Additive Manufacturing
Abstract
1. Introduction
1.1. Electrophoretically-Guided Micro Additive Manufacturing (EPµAM) Process
1.2. EPµAM Control Algorithm
1.3. Numerical Studies
2. Methods
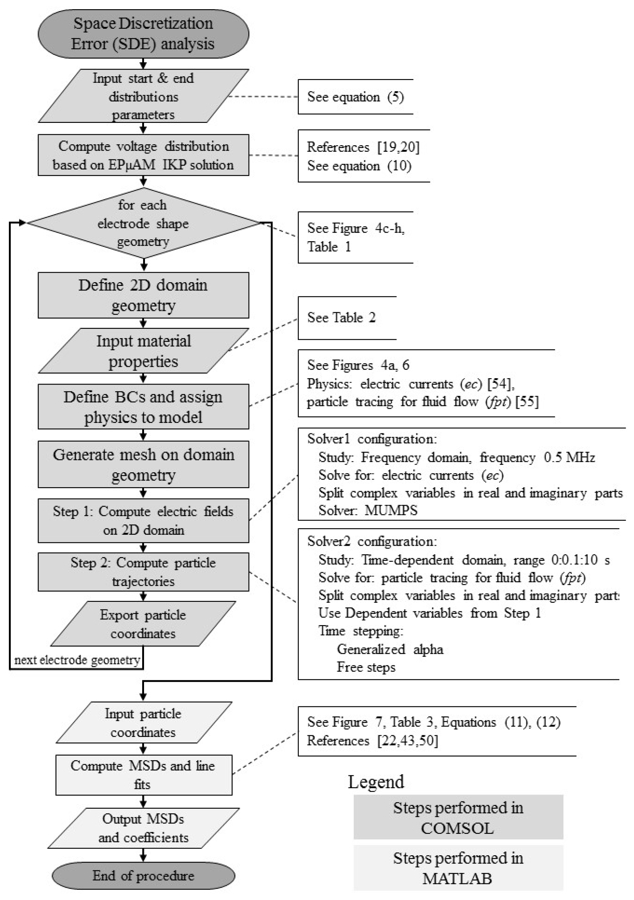
2.1. Space Discretization Error Studies
2.2. Analysis of Time Discretization Errors
3. Results and Discussion
3.1. Space-Discretization Error Results
3.2. Comparative Evaluation Matrix
3.3. Parametric Sweeps of Pin and Parabolic Notch Electrode Geometries—Case Studies
3.4. Time-Discretization Error
3.5. Discussion
4. Conclusions and Future Work
- The space discretization study assessed the computed particle trajectories using the MSD technique. The obtained MSD curves allowed the selection of the top microelectrode geometry candidate for the EPμAM process. Partial geometric sweep FEM studies of the top two (out of six) electrode geometries demonstrated the nonlinear influence of the electrode geometry on particle mobilities.
- The time discretization study computed the time series of the electromechanical force (for three given actuating waveforms) acting on spherical particles in the middle of the EPμAM device’s workspace. The Pulse and PWM waveforms outperformed the Sinusoidal waveform with a 27% and 37% increase, respectively, in particle mobility.
Supplementary Files
Supplementary File 1Author Contributions
Funding
Conflicts of Interest
References
- Velev, O.D.; Bhatt, K.H. On-chip micromanipulation and assembly of colloidal particles by electric fields. Soft Matter 2006, 2, 738–750. [Google Scholar] [CrossRef]
- Corni, I.; Ryan, M.P.; Boccaccini, A.R. Electrophoretic deposition: From traditional ceramics to nanotechnology. J. Eur. Ceram. Soc. 2008, 28, 1353–1367. [Google Scholar] [CrossRef]
- Khoshmanesh, K.; Nahavandi, S.; Baratchi, S.; Mitchell, A.; Kalantar-zadeh, K. Dielectrophoretic platforms for bio-microfluidic systems. Biosens. Bioelectr. 2011, 26, 1800–1814. [Google Scholar] [CrossRef] [PubMed]
- Ammam, M. Electrophoretic deposition under modulated electric fields: A review. RSC Adv. 2012, 20, 7633–7646. [Google Scholar] [CrossRef]
- Wereley, S.T.; Meinhart, C.D. Recent advances in micro-particle image velocimetry. Annu. Rev. Fluid Mech. 2010, 42, 557–576. [Google Scholar] [CrossRef]
- Lee, S.J.; Kim, S. Advanced particle-based velocimetry techniques for microscale flows. Microfluid. Nanofluid. 2009, 6, 577. [Google Scholar] [CrossRef]
- Peterson, S.D.; Chuang, H.S.; Wereley, S.T. Three-dimensional particle tracking using micro-particle image velocimetry hardware. Meas. Sci. Technol. 2008, 19, 115406. [Google Scholar] [CrossRef]
- Virant, M.; Dracos, T. 3D PTV and its application on Lagrangian motion. Meas. Sci. Technol. 1997, 8, 1539. [Google Scholar] [CrossRef]
- Oddy, M.H.; Santiago, J.G. A method for determining electrophoretic and electroosmotic mobilities using AC and DC electric field particle displacements. J. Colloid Interface Sci. 2004, 269, 192–204. [Google Scholar] [CrossRef]
- Meinhart, C.D.; Wereley, S.T.; Gray, M.H.B. Volume illumination for two-dimensional particle image velocimetry. Meas. Sci. Technol. 2000, 11, 809. [Google Scholar] [CrossRef]
- Lindken, R.; Rossi, M.; Große, S.; Westerweel, J. Micro-particle image velocimetry (µPIV): Recent developments, applications, and guidelines. Lab Chip 2009, 9, 2551–2567. [Google Scholar] [CrossRef] [PubMed]
- Westerweel, J. Fundamentals of digital particle image velocimetry. Meas. Sci. Technol. 1997, 8, 1379. [Google Scholar] [CrossRef]
- Huang, H.; Dabiri, D.; Gharib, M. On errors of digital particle image velocimetry. Meas. Sci. Technol. 1997, 8, 1427. [Google Scholar] [CrossRef]
- Paprotny, I.; Doering, F.; White, R.M. MEMS particulate matter (PM) monitor for cellular deployment. In Proceedings of the 2010 IEEE Sensors, Kona, HI, USA, 1–4 November 2010; pp. 2435–2440. [Google Scholar]
- Chakrabarty, K.; Zeng, J. Design automation for microfluidics-based biochips. ACM J. Emerg. Technol. Comput. Syst. (JETC) 2005, 1, 186–223. [Google Scholar] [CrossRef]
- Wang, X.; Chen, S.; Kong, M.; Wang, Z.; Costa, K.D.; Li, R.A.; Sun, D. Enhanced cell sorting and manipulation with combined optical tweezer and microfluidic chip technologies. Lab Chip 2011, 11, 3656–3662. [Google Scholar] [CrossRef] [PubMed]
- Prakash, P.; Deng, G.; Converse, M.C.; Webster, J.G.; Mahvi, D.M.; Ferris, M.C. Design optimization of a robust sleeve antenna for hepatic microwave ablation. Phys. Med. Biol. 2008, 53, 1057. [Google Scholar] [CrossRef] [PubMed]
- Kataja, J.; Nikoskinen, K. The parametric optimization of wire dipole antennas. IEEE Trans. Antennas Propag. 2011, 59, 350–356. [Google Scholar] [CrossRef]
- Pritchet, D.; Ehmann, K.; Cao, J.; Huang, J. Additive Micro Manufacturing with Modulated Electric Fields: Design Challenges and Application Potential. In Proceedings of the 11th International Conference on Micro Manufacturing, Orange County, CA, USA, 29–31 March 2016. [Google Scholar]
- Pritchet, D.; Ehmann, K.; Cao, J.; Huang, J. Boltzmann law-based control of localized electrophoretic particle deposition and manipulation. In Proceedings of the 1st International Conference on Manipulation, Automation and Robotics at Small Scales (MARSS 2016), Paris, France, 18–22 July 2016. [Google Scholar]
- Trau, M.D.A.S.; Saville, D.A.; Aksay, I.A. Field-induced layering of colloidal crystals. Science 1996, 272, 706–709. [Google Scholar] [CrossRef] [PubMed]
- Michalet, X. Mean square displacement analysis of single-particle trajectories with localization error: Brownian motion in an isotropic medium. Phys. Rev. E 2010, 82, 041914. [Google Scholar] [CrossRef] [PubMed]
- Duan, W.; Ibele, M.; Liu, R.; Sen, A. Motion analysis of light-powered autonomous silver chloride nanomotors. Eur. Phys. J. E 2012, 35, 77. [Google Scholar] [CrossRef] [PubMed]
- Lucena, D.; Tkachenko, D.V.; Nelissen, K.; Misko, V.R.; Ferreira, W.P.; Farias, G.A.; Peeters, F.M. Transition from single-file to two-dimensional diffusion of interacting particles in a quasi-one-dimensional channel. Phys. Rev. E 2012, 85, 031147. [Google Scholar] [CrossRef] [PubMed]
- Mojarad, N.; Krishnan, M. Measuring the size and charge of single nanoscale objects in solution using an electrostatic fluidic trap. Nat. Nanotechnol. 2012, 7, 448. [Google Scholar] [CrossRef] [PubMed]
- Schmidle, H.; Jäger, S.; Hall, C.K.; Velev, O.D.; Klapp, S.H.L. Two-dimensional colloidal networks induced by a uni-axial external field. Soft Matter 2013, 9, 2518–2524. [Google Scholar] [CrossRef]
- Dunderdale, G.; Ebbens, S.; Fairclough, P.; Howse, J. Importance of particle tracking and calculating the mean-squared displacement in distinguishing nanopropulsion from other processes. Langmuir 2012, 28, 10997–11006. [Google Scholar] [CrossRef] [PubMed]
- Lavrentovich, O.D. Transport of particles in liquid crystals. Soft Matter 2014, 10, 1264–1283. [Google Scholar] [CrossRef] [PubMed]
- Pohl, H.A.; Crane, J.S. Dielectrophoresis of cells. Biophys. J. 1971, 11, 711–727. [Google Scholar] [CrossRef]
- Wang, X.-B.; Huang, Y.; Gascoyne, P.R.C.; Becker, F.F. Dielectrophoretic manipulation of particles. IEEE Trans. Ind. Appl. 1997, 33, 660–669. [Google Scholar] [CrossRef]
- Kua, C.H.; Lam, Y.C.; Yang, C.; Youcef-Toumi, K. Review of Bio-Particle Manipulation Using Dielectrophoresis. Available online: https://dspace.mit.edu/handle/1721.1/7464 (accessed on 5 September 2018).
- Cummings, E.B.; Singh, A.K. Dielectrophoretic trapping without embedded electrodes. In Microfluidic Devices and Systems III; International Society for Optics and Photonics: Santa Clara, CA, USA, 2000; Volume 4177, pp. 151–161. [Google Scholar]
- Wang, X.-B.; Huang, Y.; Becker, F.F.; Gascoyne, P.R.C. A unified theory of dielectrophoresis and travelling wave dielectrophoresis. J. Phys. D Appl. Phys. 1994, 27, 1571. [Google Scholar] [CrossRef]
- Lei, U.; Lo, Y.J. Review of the theory of generalised dielectrophoresis. IET Nanobiotechnol. 2011, 5, 86–106. [Google Scholar] [CrossRef] [PubMed]
- Sarkar, P.; Nicholson, P.S. Electrophoretic deposition (EPD): Mechanisms, kinetics, and application to ceramics. J. Am. Ceram. Soc. 1996, 79, 1987–2002. [Google Scholar] [CrossRef]
- Besra, L.; Liu, M. A review on fundamentals and applications of electrophoretic deposition (EPD). Prog. Mater. Sci. 2007, 52, 1–61. [Google Scholar] [CrossRef]
- Van der Biest, O.O.; Vandeperre, L.J. Electrophoretic deposition of materials. Annu. Rev. Mater. Sci. 1999, 29, 327–352. [Google Scholar] [CrossRef]
- Neirinck, B.; Van der Biest, O.; Vleugels, J. A current opinion on electrophoretic deposition in pulsed and alternating fields. J. Phys. Chem. B 2013, 117, 1516–1526. [Google Scholar] [CrossRef] [PubMed]
- Markx, G.H.; Huang, Y.; Zhou, X.F.; Pethig, R. Dielectrophoretic characterization and separation of micro-organisms. Microbiology 1994, 140, 585–591. [Google Scholar] [CrossRef]
- Fan, S.-K.; Huang, P.-W.; Wang, T.-T.; Peng, Y.-H. Cross-scale electric manipulations of cells and droplets by frequency-modulated dielectrophoresis and electrowetting. Lab Chip 2008, 8, 1325–1331. [Google Scholar] [CrossRef] [PubMed]
- Braschler, T.; Demierre, N.; Nascimento, E.; Silva, T.; Oliva, A.G.; Renaud, P. Continuous separation of cells by balanced dielectrophoretic forces at multiple frequencies. Lab Chip 2008, 8, 280–286. [Google Scholar] [CrossRef] [PubMed]
- Kirby, B.J. Micro-and Nanoscale Fluid Mechanics: Transport in Microfluidic Devices; Cambridge University Press: Cambridge, UK, 2010. [Google Scholar]
- Brady, J.F. Particle motion driven by solute gradients with application to autonomous motion: Continuum and colloidal perspectives. J. Fluid Mech. 2011, 667, 216–259. [Google Scholar] [CrossRef]
- Feynman, R.P.; Leighton, R.B.; Sands, M. The Feynman Lectures on Physics, Vol. I: The New Millennium Edition: Mainly Mechanics, Radiation, and Heat; Addison-Wesley: Reading, MA, USA, 2011; Volume 1. [Google Scholar]
- Landau, L.D.; Bell, J.S.; Kearsley, M.J.; Pitaevskii, L.P.; Lifshitz, E.M.; Sykes, J.B. Electrodynamics of Continuous Media; Elsevier: Amsterdam, The Netherlands, 2013; Volume 8. [Google Scholar]
- Sun, J. Pulse-width modulation. In Dynamics and Control of Switched Electronic Systems; Springer: London, UK, 2012; pp. 25–61. [Google Scholar]
- COMSOL Multiphysics® v. 5.3; COMSOL AB: Stockholm, Sweden; Available online: www.comsol.com (accessed on 5 September 2018).
- Cicuta, P.; Donald, A.M. Microrheology: A review of the method and applications. Soft Matter 2007, 3, 1449–1455. [Google Scholar] [CrossRef]
- Gal, N.; Lechtman-Goldstein, D.; Weihs, D. Particle tracking in living cells: A review of the mean square displacement method and beyond. Rheol. Acta 2013, 52, 425–443. [Google Scholar] [CrossRef]
- Dopico, A. (Ed.) Methods in Membrane Lipids; Springer Science & Business Media: Berlin/Heidelberg, Germany, 2007; Volume 400. [Google Scholar]
- Pethig, R. Dielectrophoresis: Status of the theory, technology, and applications. Biomicrofluidics 2010, 4, 022811. [Google Scholar] [CrossRef] [PubMed]
- Jones, T.B.; Jones, T.B. Electromechanics of Particles; Cambridge University Press: Cambridge, UK, 2005. [Google Scholar]
- Programming Reference Manual, COMSOL Multiphysics® v. 5.3; COMSOL AB: Stockholm, Sweden, 2017; p. 305.
- COMSOL AC/DC Module User’s Guide, COMSOL Multiphysics® v. 5.3; COMSOL AB: Stockholm, Sweden, 2017; pp. 65, 140.
- COMSOL Particle Tracing Module User’s Guide, COMSOL Multiphysics® v. 5.3; COMSOL AB: Stockholm, Sweden, 2017; p. 188.
- COMSOL Multiphysics Reference Manual, COMSOL Multiphysics® v. 5.3; COMSOL AB: Stockholm, Sweden, 2017; p. 305.
- Einstein, A. Investigations on the Theory of the Brownian Movement. Available online: http://www.citeulike.org/group/8865/article/4036262 (accessed on 5 September 2018).
- Jones, T.B.; Washizu, M. Equilibria and dynamics of DEP-levitated particles: Multipolar theory. J. Electrost. 1994, 33, 199–212. [Google Scholar] [CrossRef]
- Washizu, M.; Jones, T.B. Multipolar dielectrophoretic force calculation. J. Electrost. 1994, 33, 187–198. [Google Scholar] [CrossRef]
- MATLAB, The MathWorks, Inc.: Natick, MA, USA, 2016.
- Hibbeler, R.C. Engineering Mechanics; Pearson Education: London, UK, 2001. [Google Scholar]























| Electrode Geometry | Width, w (µm) | Height, h (µm) |
|---|---|---|
| Step | 40 | 10 |
| Channel | 40 | 10 |
| Pin | 10 | 20 |
| Notch | 10 | 20 |
| Parabolic pin | 40 | 10 |
| Parabolic notch | 40 | 10 |
| Material domain | Ω1: Water (H2O) | Ω2: Alumina (Al2O3) |
|---|---|---|
| Relative permittivity (-/-) | 80.1 | 9.9 |
| Electrical conductivity (S/m) | 2.5 × 10−2 | 1 × 10−13 |
| Density (kg/m3) | 1000 | 2000 |
| Dynamic viscosity (Pa·s) | 1 × 10−3 | Not Applicable |
| Coefficient | Confidence Bounds (95%) | ||
|---|---|---|---|
| Name | Value | Lower | Upper |
| DLL | 0.607 | 0.582 | 0.632 |
| DLM | 0.159 | 0.152 | 0.165 |
| DLR | 4.472 | 4.082 | 4.865 |
| DQL | 0.436 | 0.365 | 0.507 |
| DQM | 0.106 | 0.092 | 0.120 |
| DQR | 0.806 | 0.666 | 0.946 |
| vQL | 0.598 | 0.462 | 0.708 |
| vQM | 0.332 | 0.287 | 0.371 |
| vQR | 2.770 | 2.718 | 2.821 |
| Electrode Shapes | Metric | Scores | ||||||
|---|---|---|---|---|---|---|---|---|
| Importance (1–4) 4—Highest 1—Lowest | MSD > MSDideal | dt > dtideal | Between Fits | Closest to Ideal | Subgroup Scores | Average Score | Weighted Average | |
| Importance → | 3 | 4 | 2 | 1 | ||||
| Step | L | 4 | 2 | 0 | 3 | 23 | 14.00 | 13.50 |
| M | 1 | 0 | 2 | 5 | 12 | |||
| R | 0 | 0 | 1 | 5 | 7 | |||
| Channel | L | 3 | 2 | 0 | 4 | 21 | 14.67 | 14.50 |
| M | 2 | 0 | 2 | 4 | 14 | |||
| R | 0 | 0 | 2 | 5 | 9 | |||
| Notch | L | 1 | 2 | 0 | 6 | 17 | 14.33 | 17.00 |
| M | 6 | 1 | 1 | 1 | 25 | |||
| R | 0 | 0 | 0 | 1 | 1 | |||
| Pin | L | 6 | 2 | 0 | 1 | 27 | 26.67 | 26.75 |
| M | 5 | 2 | 1 | 2 | 27 | |||
| R | 6 | 1 | 1 | 2 | 26 | |||
| Parabolic pin | L | 3 | 2 | 0 | 4 | 21 | 14.67 | 14.75 |
| M | 2 | 1 | 1 | 3 | 15 | |||
| R | 0 | 0 | 2 | 4 | 8 | |||
| Parabolic notch | L | 5 | 2 | 0 | 2 | 25 | 19.00 | 18.00 |
| M | 1 | 1 | 1 | 6 | 15 | |||
| R | 3 | 0 | 1 | 6 | 17 | |||
© 2018 by the authors. Licensee MDPI, Basel, Switzerland. This article is an open access article distributed under the terms and conditions of the Creative Commons Attribution (CC BY) license (http://creativecommons.org/licenses/by/4.0/).
Share and Cite
Pritchet, D.; Moser, N.; Ehmann, K.; Cao, J.; Huang, J. Quantifying Discretization Errors in Electrophoretically-Guided Micro Additive Manufacturing. Micromachines 2018, 9, 447. https://doi.org/10.3390/mi9090447
Pritchet D, Moser N, Ehmann K, Cao J, Huang J. Quantifying Discretization Errors in Electrophoretically-Guided Micro Additive Manufacturing. Micromachines. 2018; 9(9):447. https://doi.org/10.3390/mi9090447
Chicago/Turabian StylePritchet, David, Newell Moser, Kornel Ehmann, Jian Cao, and Jiaxing Huang. 2018. "Quantifying Discretization Errors in Electrophoretically-Guided Micro Additive Manufacturing" Micromachines 9, no. 9: 447. https://doi.org/10.3390/mi9090447
APA StylePritchet, D., Moser, N., Ehmann, K., Cao, J., & Huang, J. (2018). Quantifying Discretization Errors in Electrophoretically-Guided Micro Additive Manufacturing. Micromachines, 9(9), 447. https://doi.org/10.3390/mi9090447

