Theoretical Studies of the Spin-Dependent Electronic Transport Properties in Ethynyl-Terminated Ferrocene Molecular Junctions
Abstract
1. Introduction
2. Computational Models and Methods
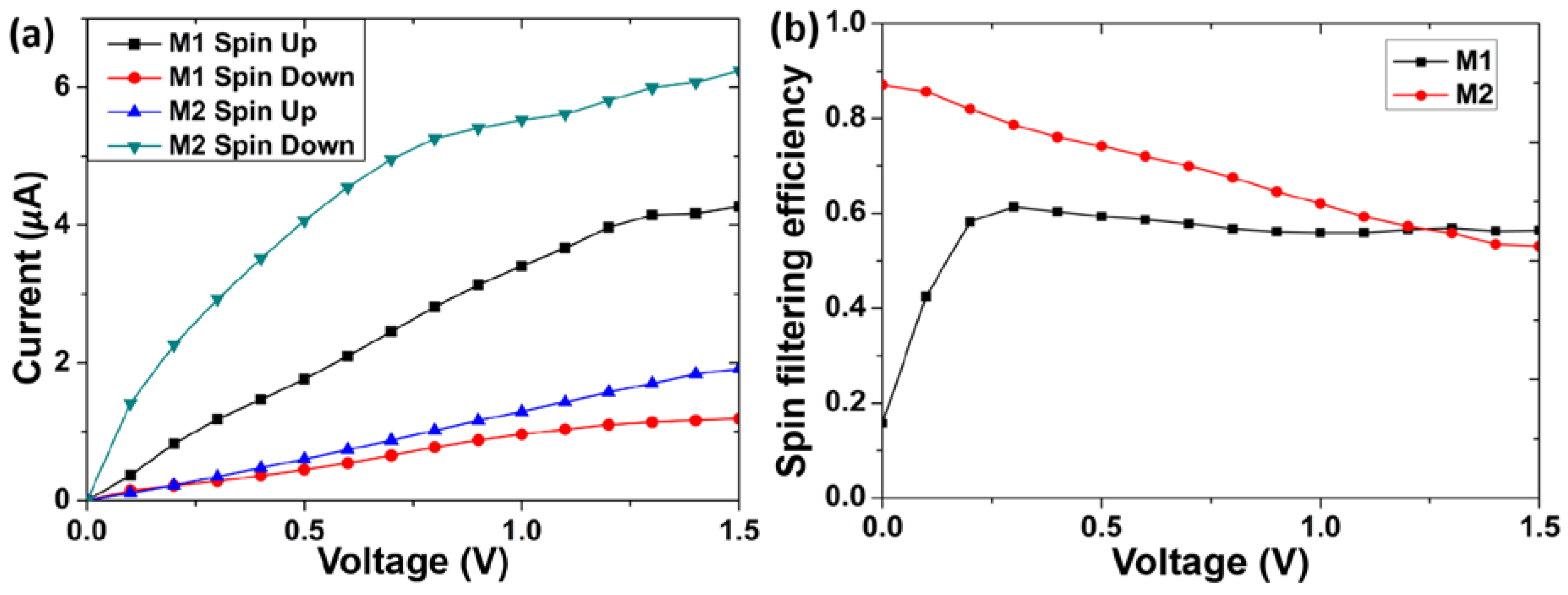
3. Results and Discussion
4. Conclusions
Supplementary Materials
Acknowledgments
Author Contributions
Conflicts of Interest
References
- Chen, J.; Reed, M.A.; Rawlett, A.M.; Tour, J.M. Large on-off ratios and negative differential resistance in a molecular electronic device. Science 1999, 286, 1550–1552. [Google Scholar] [CrossRef] [PubMed]
- Taylor, J.; Brandbyge, M.; Stokbro, K. Theory of rectification in tour wires: The role of electrode coupling. Phys. Rev. Lett. 2002, 89, 138301. [Google Scholar] [CrossRef] [PubMed]
- Tao, N.J. Electron transport in molecular junctions. Nat. Nanotechnol. 2006, 1, 173–181. [Google Scholar] [CrossRef] [PubMed]
- Aradhya, S.V.; Venkataraman, L. Single-molecule junctions beyond electronic transport. Nat. Nanotechnol. 2013, 8, 399–410. [Google Scholar] [CrossRef] [PubMed]
- Wolf, S.A.; Awschalom, D.D.; Buhrman, R.A.; Daughton, J.M.; von Molnar, S.; Roukes, M.L.; Chtchelkanova, A.Y.; Treger, D.M. Spintronics: A spin-based electronics vision for the future. Science 2001, 294, 1488–1495. [Google Scholar] [CrossRef] [PubMed]
- Cornia, A.; Seneor, P. SPINTRONICS: The molecular way. Nat. Mater. 2017, 16, 505–506. [Google Scholar] [CrossRef] [PubMed]
- Sanvito, S. Molecular spintronics. Chem. Soc. Rev. 2011, 40, 3336–3355. [Google Scholar] [CrossRef] [PubMed]
- Shiraishi, M.; Ikoma, T. Molecular spintronics. Physica E 2011, 43, 1295–1317. [Google Scholar] [CrossRef]
- Rocha, A.R.; Garcia-Suarez, V.M.; Bailey, S.W.; Lambert, C.J.; Ferrer, J.; Sanvito, S. Towards molecular spintronics. Nat. Mater. 2005, 4, 335–339. [Google Scholar] [CrossRef] [PubMed]
- Mas-Torrent, M.; Crivillers, N.; Mugnaini, V.; Ratera, I.; Rovira, C.; Veciana, J. Organic radicals on surfaces: Towards molecular spintronics. J. Mater. Chem. 2009, 19, 1691–1695. [Google Scholar] [CrossRef]
- Emberly, E.G.; Kirczenow, G. Molecular spintronics: Spin-dependent electron transport in molecular wires. Chem. Phys. 2002, 281, 311–324. [Google Scholar] [CrossRef]
- Camarero, J.; Coronado, E. Molecular vs. inorganic spintronics: The role of molecular materials and single molecules. J. Mater. Chem. 2009, 19, 1678–1684. [Google Scholar] [CrossRef]
- Coronado, E.; Yamashita, M. Molecular spintronics: The role of coordination chemistry. Dalton T. 2016, 45, 16553–16555. [Google Scholar] [CrossRef] [PubMed]
- Shultz, D.A.; Kirk, M.L. Molecular spintronics: A web themed issue. Chem. Commun. 2014, 50, 7401–7402. [Google Scholar] [CrossRef] [PubMed]
- Wu, Q.; Zhao, P.; Liu, D.; Li, S.; Chen, G. Rectifying, giant magnetoresistance, spin-filtering, newgative differential resistance, and switching effects in single-molecule magnet Mn(dmit)2-based molecular device with graphene nanoribbon electrodes. Org. Electron. 2014, 15, 3615–3623. [Google Scholar] [CrossRef]
- Deng, X.Q.; Zhang, Z.H.; Tang, G.P.; Fan, Z.Q.; Sun, L.; Li, C.X. Modulation of the spin transport properties of the iron-phthalocyanine molecular junction by carbon chains with different connection sites. Org. Electron. 2016, 35, 1–5. [Google Scholar] [CrossRef]
- Deng, Y.; Chen, S.; Zeng, Y.; Zhou, W.; Chen, K. Large spin rectifying and high-efficiency spin-filtering in superior molecular junction. Org. Electron. 2017, 50, 184–190. [Google Scholar] [CrossRef]
- Taylor, J.; Guo, H.; Wang, J. Ab initio modeling of quantum transport properties of molecular electronic devices. Phys. Rev. B 2001, 63, 245407. [Google Scholar] [CrossRef]
- Brandbyge, M.; Mozos, J.-L.; Ordejón, P.; Taylor, J.; Stokbro, K. Density-functional method for nonequilibrium electron transport. Phys. Rev. B 2002, 65, 165401. [Google Scholar] [CrossRef]
- Engtrakul, C.; Sita, L.R. Ferrocene-based nanoelectronics: Regioselective syntheses and electrochemical characterization of α-monothiol and α,ω-dithiol, phenylethynyl-conjugated, 2,5-diethynylpyridyl- and pyridinium-linked diferrocene frameworks having an end-to-end distance of ~4 nm. Organometallics 2008, 27, 927–937. [Google Scholar]
- Liu, R.; Ke, S.H.; Baranger, H.U.; Yang, W.T. Organometallic spintronics: Dicobaltocene switch. Nano Lett. 2005, 5, 1959–1962. [Google Scholar] [CrossRef] [PubMed]
- Liu, R.; Ke, S.; Baranger, H.U.; Yang, W. Negative differential resistance and hysteresis through an organometallic molecule from molecular-level crossing. J. Am. Chem. Soc. 2006, 128, 6274–6275. [Google Scholar] [CrossRef] [PubMed]
- Liu, R.; Ke, S.H.; Yang, W.T.; Baranger, H.U. Organometallic molecular rectification. J. Chem. Phys. 2006, 124, 024718. [Google Scholar] [CrossRef] [PubMed]
- Liu, R.; Ke, S.; Yang, W.; Baranger, H.U. Cobaltocene as a spin filter. J. Chem. Phys. 2007, 127, 141104. [Google Scholar] [CrossRef] [PubMed]
- Zhou, L.; Yang, S.; Ng, M.; Sullivan, M.B.; Tan, V.B.C.; Shen, L. One-dimensional iron-cyclopentadienyl sandwich molecular wire with half metallic, negative differential resistance and high-spin filter efficiency properties. J. Am. Chem. Soc. 2008, 130, 4023–4027. [Google Scholar] [CrossRef] [PubMed]
- Morari, C.; Rungger, I.; Rocha, A.R.; Sanvito, S.; Melinte, S.; Rignanese, G. Electronic transport properties of 1,1′-ferrocene dicarboxylic acid linked to Al(111) electrodes. ACS Nano 2009, 3, 4137–4143. [Google Scholar] [CrossRef] [PubMed]
- Zhang, G.; Qin, Y.; Zhang, H.; Shang, Y.; Sun, M.; Liu, B.; Li, Z. Electronic structure-transport property relationships of polyferrocenylene, polyferrocenylacetylene, and polyferrocenylsilane. J. Phys. Chem. C. 2010, 114, 9469–9477. [Google Scholar] [CrossRef]
- Matsuura, Y. Current rectification in nickelocenylferrocene sandwiched between two gold electrodes. J. Chem. Phys. 2013, 138, 014311. [Google Scholar] [CrossRef] [PubMed]
- Matsuura, Y. Spin transport in bimetallocene. J. Appl. Phys. 2013, 114, 103707. [Google Scholar] [CrossRef]
- Nemnes, G.A.; Nicolaev, A. Transport in ferrocene single molecules for terahertz applications. Phys. Chem. Chem. Phys. 2014, 16, 18478–18482. [Google Scholar] [CrossRef] [PubMed]
- Abufager, P.N.; Robles, R.; Lorente, N. FeCoCp3 molecular magnets as spin filters. J. Phys. Chem. C. 2015, 119, 12119–12129. [Google Scholar] [CrossRef]
- Coriani, S.; Haaland, A.; Helgaker, T.; Jorgensen, P. The equilibrium structure of ferrocene. ChemPhysChem 2006, 7, 245–249. [Google Scholar] [CrossRef] [PubMed]
- Butler, I.R.; Boyes, A.L.; Kelly, G.; Quayle, S.C.; Herzig, T.; Szewczyk, J. Precursors towards poly-1,1′-ferrocenylacetylene: A simple synthesis of hetero-disubstituted ferrocenylethynes. Inorg. Chem. Commun. 1999, 2, 403–406. [Google Scholar] [CrossRef]
- Plenio, H.; Hermann, J.; Sehring, A. Optically and redox-active ferroceneacetylene polymers and oligomers. Chem. Eur. J. 2000, 6, 1820–1829. [Google Scholar] [CrossRef]
- Yuan, S.; Wang, S.; Wang, Y.; Ling, Q. Effect of molecular structure on spin-dependent electron transport in biferrocene-based molecular junctions: A first-principles study. J. Comput. Electron. 2017, 16, 340–346. [Google Scholar] [CrossRef]
- Shen, X.; Yi, Z.; Shen, Z.; Zhao, X.; Wu, J.; Hou, S.; Sanvito, S. The spin filter effect of iron-cyclopentadienyl multidecker clusters: The role of the electrode band structure and the coupling strength. Nanotechnology 2009, 20, 385401. [Google Scholar] [CrossRef] [PubMed]
- Matsuura, Y. Tunnel magnetoresistance of ferrocene molecules. Chem. Phys. Lett. 2018, 692, 174–177. [Google Scholar] [CrossRef]
- Yuan, S.; Dai, C.; Weng, J.; Mei, Q.; Ling, Q.; Wang, L.; Huang, W. Theoretical studies of electron transport in thiophene dimer: Effects of substituent group and heteroatom. J. Phys. Chem. A 2011, 115, 4535–4546. [Google Scholar] [CrossRef] [PubMed]
- Frisch, M.J.; Trucks, G.W.; Schlegel, H.B.; Scuseria, G.E.; Robb, M.A.; Cheeseman, J.R.; Montgomery, J.A., Jr.; Vreven, T.; Kudin, K.N.; Burant, J.C.; et al. Gaussian 03; Gaussian, Inc.: Wallingford, CT, USA, 2004. [Google Scholar]
- Becke, A.D. A new mixing of Hartree–Fock and local density-functional theories. J. Chem. Phys. 1993, 98, 1372–1377. [Google Scholar] [CrossRef]
- Lee, C.; Yang, W.; Parr, R.G. Development of the Colle-Salvetti correlation-energy formula into a functional of the electron density. Phys. Rev. B 1988, 37, 785–789. [Google Scholar] [CrossRef]
- Yuan, S.; Wang, S.; Wang, Y.; Xu, Z.; Ling, Q. Theoretical study of electron transport properties of bimolecular junctions: Effect of molecular arrangement and species. Comp. Mater. Sci. 2016, 113, 53–59. [Google Scholar] [CrossRef]
- Ceperley, D.M.; Alder, B.J. Ground state of the electron gas by a stochastic method. Phys. Rev. Lett. 1980, 45, 566–569. [Google Scholar] [CrossRef]
- Perdew, J.; Zunger, A. Self-interaction correction to density-functional approximations for many-electron systems. Phys. Rev. B 1981, 23, 5048–5079. [Google Scholar] [CrossRef]
- Atomistix ToolKit, version 2008.10, QuantumWise A/S. Available online: www.quantumwise.com (accessed on 10 January 2018).
- Büttiker, M.; Imry, Y.; Landauer, R.; Pinhas, S. Generalized many-channel conductance formula with application to small rings. Phys. Rev. B 1985, 31, 6207–6215. [Google Scholar] [CrossRef]
- Stokbro, K.; Taylor, J.; Brandbyge, M.; Mozos, J.-L.; Ordejón, P. Theoretical study of the nonlinear conductance of Di-thiol benzene coupled to Au(1 1 1) surfaces via thiol and thiolate bonds. Comput. Mater. Sci. 2003, 27, 151–160. [Google Scholar] [CrossRef]
- Yuan, S.; Wang, S.; Mei, Q.; Ling, Q.; Wang, L.; Huang, W. Effects of electrodes and nitrogen-atom locations on electron transport in C59N molecular junctions: A first-principles study. J. Phys Chem C. 2014, 118, 617–626. [Google Scholar] [CrossRef]








© 2018 by the authors. Licensee MDPI, Basel, Switzerland. This article is an open access article distributed under the terms and conditions of the Creative Commons Attribution (CC BY) license (http://creativecommons.org/licenses/by/4.0/).
Share and Cite
Yuan, S.; Wang, S.; Kong, Z.; Xu, Z.; Yang, L.; Wang, D.; Ling, Q.; Wang, Y. Theoretical Studies of the Spin-Dependent Electronic Transport Properties in Ethynyl-Terminated Ferrocene Molecular Junctions. Micromachines 2018, 9, 95. https://doi.org/10.3390/mi9030095
Yuan S, Wang S, Kong Z, Xu Z, Yang L, Wang D, Ling Q, Wang Y. Theoretical Studies of the Spin-Dependent Electronic Transport Properties in Ethynyl-Terminated Ferrocene Molecular Junctions. Micromachines. 2018; 9(3):95. https://doi.org/10.3390/mi9030095
Chicago/Turabian StyleYuan, Shundong, Shiyan Wang, Zhaoyang Kong, Zhijie Xu, Long Yang, Diansheng Wang, Qidan Ling, and Yudou Wang. 2018. "Theoretical Studies of the Spin-Dependent Electronic Transport Properties in Ethynyl-Terminated Ferrocene Molecular Junctions" Micromachines 9, no. 3: 95. https://doi.org/10.3390/mi9030095
APA StyleYuan, S., Wang, S., Kong, Z., Xu, Z., Yang, L., Wang, D., Ling, Q., & Wang, Y. (2018). Theoretical Studies of the Spin-Dependent Electronic Transport Properties in Ethynyl-Terminated Ferrocene Molecular Junctions. Micromachines, 9(3), 95. https://doi.org/10.3390/mi9030095
